纺织学报 ›› 2020, Vol. 41 ›› Issue (04): 117-122.doi: 10.13475/j.fzxb.20190302907

• 服装工程 • 上一篇    下一篇

石墨烯气凝胶复合防火织物的热防护性能

高珊1, 卢业虎1,2,3(), 张德锁1, 吴雷1, 王来力2   

  1. 1.苏州大学 纺织与服装工程学院, 江苏 苏州 215006
    2.浙江理工大学 浙江省服装工程技术研究中心, 浙江 杭州 310018
    3.南通纺织丝绸产业技术研究院, 江苏 南通 226300
  • 收稿日期:2019-03-12 修回日期:2019-12-30 出版日期:2020-04-15 发布日期:2020-04-27
  • 通讯作者: 卢业虎
  • 作者简介:高珊(1995—),女,硕士生。主要研究方向为热防护服材料。
  • 基金资助:
    浙江省服装工程技术研究中心开放基金项目(2018FZKF03);苏州市科技计划重点产业技术专项(SYG201812);南通市科技计划项目(JC2018039)

Thermal protective performance of composite flame retardant fabrics treated by graphene aerogel

GAO Shan1, LU Yehu1,2,3(), ZHANG Desuo1, WU Lei1, WANG Laili2   

  1. 1. College of Textile and Clothing Engineering, Soochow University, Suzhou, Jiangsu 215006, China
    2. Clothing Engineering Research Center of Zhejiang Province, Zhejiang Sci-Tech University, Hangzhou, Zhejiang 310018, China
    3. Nantong Textile and Silk Industrial Technology Research Institute, Nantong, Jiangsu 226300, China
  • Received:2019-03-12 Revised:2019-12-30 Online:2020-04-15 Published:2020-04-27
  • Contact: LU Yehu

摘要:

为进一步提高热防护服的综合性能,使其满足高防护性兼具低热蓄积的需求,利用改进的Hummers法制备了一种密度小、导热率低、隔热效果好的石墨烯气凝胶材料,并研发复合防火织物系统,在低辐射热环境下探讨不同厚度的石墨烯气凝胶的隔热效果。结果表明:加入石墨烯气凝胶的复合防火织物具有较好的热防护性能,可将人体产生热损伤的时间延长约203%,将人体产生二度烧伤的防护时间延长约218%,防火织物的防护性能与石墨烯气凝胶的厚度呈非线性关系;石墨烯气凝胶复合防火织物的平均透湿率保持在10.4 g/(m2·24 h),与复合防火织物的透湿性没有显著差异,石墨烯气凝胶的加入不影响防火织物整体的透湿性。

关键词: 石墨烯气凝胶, 防火织物, 热防护性能, 空气层, 改进的Hummers法

Abstract:

To further improve the comprehensive performance of thermal protective clothing and meet the needs of increasing thermal protection with reduced heat storage, a type of graphene aerogel material with low density, low thermal conductivity and good heat insulating property was prepared by the modified Hummers method, and a composite flame retardant fabric system was constructed. The thermal protective performance of graphene aerogel with different thickness was measured in a low radiation condition. The results show that the flame retardant composite fabrics with graphene aerogel block provides better thermal protective performance, with the time required to cause skin damage extending about 203% and the time required to generate skin burn extending about 218%. It is found that the relationship between the thermal protective performance and the graphene aerogel thickness is not linear. The water vapor transfer of the flame retardant composite fabrics with graphene aerogel block is around 10.4 g/(m2·24 h), presenting no significant difference compared to fabrics untreated by graphene aerogel.

Key words: graphene aerogel, flame retardant fabric, thermal protective performance, air layer, modified Hummers method

中图分类号: 

  • TS941.73

图1

3组不同厚度的石墨烯气凝胶样品"

表1

实验对照组织物的基本性能"

位置 织物层 成分 组织结构 面密度/(g·m-2) 厚度/mm
外层 防火层 芳纶1313/芳纶1414(98/2) 斜纹 193.7 0.49
中层 防水透气层 芳纶1313基布、聚四氟乙烯膜 层压 108.3 0.70
内层 隔热层 芳纶1313毡和基布 针刺 200.0 0.43

图2

石墨烯复合防火织物的组合方式"

图3

辐射后石墨烯气凝胶的形貌"

图4

热辐射前后石墨烯气凝胶的扫描电镜照片(×3 000)"

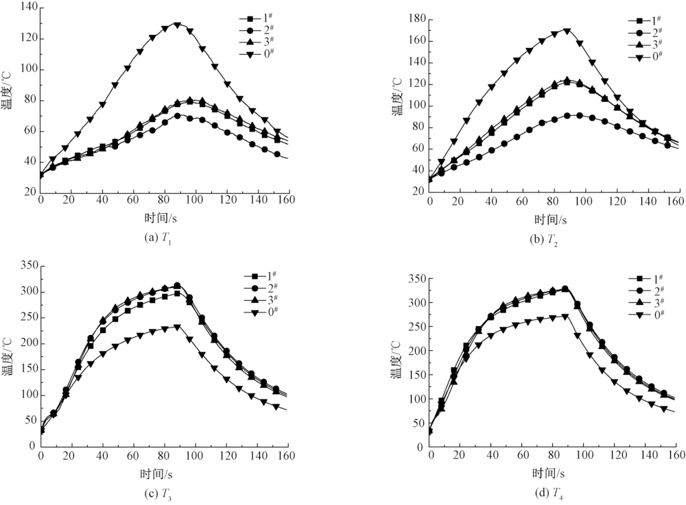
图5

不同位置传感器温度随热暴露时间变化曲线"

表2

各实验织物的防护性能"

织物
编号
达到12 ℃
时间/s
达到24 ℃
时间/s
达到最高
体感温度
时间/s
体感最高
温度/℃
体感最大
温升/℃
0# 10.20 20.40 85.50 129.20 106.00
1# 26.60 58.70 109.60 73.60 47.80
2# 32.70 64.00 115.50 68.50 42.90
3# 28.80 55.60 113.00 77.70 51.80
4# 19.70 46.60 110.10 107.51 72.88
5# 31.40 83.90 143.21 62.12 37.68
6# 27.50 96.40 149.90 58.32 30.45
7# 40.63 79.41 138.02 66.80 32.87
8# 38.96 85.23 125.72 65.35 31.84
9# 41.22 88.24 138.43 64.89 32.02

表3

不同静置时间时石墨烯气凝胶及其复合防火织物的蒸发量"

试样名称 凝胶层厚
度/mm
蒸发量/g
1 h 2 h 3 h 4 h 5 h 6 h 24 h
石墨烯气凝胶 6 0.083 0.013 0.017 0.018 0.020 0.019 0.345
8 0.011 0.037 0.042 0.025 0.029 0.028 0.450
10 0.036 0.018 0.042 0.025 0.029 0.026 0.448
石墨烯气凝胶
复合防火织物
6 0.007 0.014 0.018 0.020 0.020 0.022 0.385
8 0.007 0.012 0.017 0.017 0.019 0.026 0.366
10 0.006 0.017 0.025 0.026 0.029 0.031 0.558
空白对照组(0#) 0.010 0.015 0.018 0.019 0.021 0.017 0.342
[1] 迟彩霞, 刘越, 吴昊, 等. 石墨烯气凝胶的制备与应用研究进展[J]. 应用化工, 2018,47(9):2001-2004,2009.
CHI Caixia, LIU Yue, WU Hao, et al. Process in the preparation and application of graphene aerogels[J]. Applied Chemical Industry, 2018,47(9):2001-2004,2009.
[2] HE J, PARK E, LI J, et al. Physiological and psychological responses while wearing firefighters' protective clothing under various ambient conditions[J]. Textile Research Journal, 2017,87(8):929-944.
[3] 张兴娟, 吴洪飞, 孔祥明. 新型组合式消防服热防护性能分析[J]. 中国个体防护装备, 2013 (6):20-24.
ZHANG Xingjuan, WU Hongfei, KONG Xiangming. Analysis of thermal protection performance of aerogel-based new combined firefighters' clothing[J]. China Personal Protective Equipment, 2013(6):20-24.
[4] 任乾乾, 林兰天, 郑慧琴. 应用二氧化硅气凝胶的防火隔热组合织物研究[C]//第五届“稷下”研究生学术论文论文集.上海:上海纺织科技, 2011: 292-298.
REN Qianqian, LIN Lantian, ZHENG Huiqin. Research of fireproof and insulation composite fabric by use of silica aerogels[C]//The fifth "Ji Xia" graduate academic papers collection. Shanghai: Shanghai Textile Science & Technology, 2011: 292-298.
[5] 胡银. 气凝胶运用于消防服隔热性能测试及合成研究[D]. 合肥:中国科学技术大学, 2013: 45-120.
HU Yin. Synthesis and heat insulation test of aerogel using in fire fighter's protective clothing[D]. Hefei: University of Science Technology of China, 2013: 45-120.
[6] SHAID A, WANG L, FERGUSSON S M, et al. Effect of aerogel incorporation in PCM-containing thermal liner of firefighting garment[J]. Clothing and Textiles Research Journal, 2018,36(3):151-164.
[7] ZHANG H, SONG G, SU H, et al. An exploration of enhancing thermal protective clothing performance by incorporating aerogel and phase change materials[J]. Fire and Materials, 2017,41(8):953-963.
[8] 徐刚, 张春梅, 薛文超, 等. 石墨烯及其气凝胶的制备方法综述[J]. 装备制造技术, 2016(11):60-64.
XU Gang, ZHANG Chunmei, XUE Wenchao, et al. Review of preparation methods of graphene and aerogels[J]. Equipment Manufacturing Technology, 2016(11):60-64.
[9] WANG J, ELLSWORTH M. Graphene aerogels[J]. ECS Transactions, 2009,19(5):241-247.
[10] HE Jiazhen, LU Yehu, YANG Jie. Quantification of the energy storage caused dual performance of thermal protective clothing containing with moisture exposed to hot steam[J]. Energy Science and Engineering, 2019,7:2585-2595.
[11] 王帅, 卢业虎, 王丽君, 等. 低辐射环境下形状记忆合金对防火织物隔热性能的影响[J]. 纺织学报, 2017,38(8):114-119.
WANG Shuai, LU Yehu, WANG Lijun, et al. Influence of shape memory alloy on thermal insulation performance of flame retardant fabrics in low radiation environ-ment[J]. Journal of Textile Research, 2017,38(8):114-119.
[12] 马妮妮, 卢业虎, 戴宏钦. 形状记忆材料在功能防护服中的应用[J]. 纺织学报, 2018,39(4):170-174.
MA Nini, LU Yehu, DAI Hongqin. Application of shape memory material in functional and protective clo-thing[J]. Journal of Textile Research, 2018,39(4):170-174.
[1] 王琦, 田苗, 苏云, 李俊, 余梦凡, 许霄. 开放/ 封闭空气层对阻燃织物热防护性能的影响[J]. 纺织学报, 2020, 41(12): 54-58.
[2] 孟晶, 高珊, 卢业虎. 石墨烯气凝胶复合防火面料防护性能的影响因素[J]. 纺织学报, 2020, 41(11): 116-121.
[3] 翟丽娜, 李俊, 杨允出. 热防护服装测评用传感器的发展及其研究现状[J]. 纺织学报, 2020, 41(10): 188-196.
[4] 何佳臻, 薛萧昱, 王敏, 李俊. 基于最大衰减因子模型的服装热防护性能预测[J]. 纺织学报, 2020, 41(06): 112-117.
[5] 邱浩, 苏云, 王云仪. 蒸汽暴露条件对织物热防护性能的影响 [J]. 纺织学报, 2020, 41(01): 118-123.
[6] 侯玉莹, 李小辉. 防火服用蜂窝隔热层的热蓄积性能测评[J]. 纺织学报, 2019, 40(12): 109-113.
[7] 胡紫婷, 郑晓慧, 冯铭铭, 王英健, 刘莉, 丁松涛. 衣下空气层对透气型防护服热阻和湿阻的影响[J]. 纺织学报, 2019, 40(11): 145-150.
[8] 胡贝贝, 杜菲菲, 李小辉. 消防服用隔热层孔型结构优化与测评[J]. 纺织学报, 2019, 40(11): 140-144.
[9] 陈思, 卢业虎. 空气层厚度对热防护面料蒸汽防护性能的影响[J]. 纺织学报, 2019, 40(10): 141-146.
[10] 杜菲菲, 李小辉, 张思严. 防火服用蜂窝夹芯结构织物的热防护性能测评[J]. 纺织学报, 2019, 40(03): 133-138.
[11] 苏云, 杨杰, 李睿, 宋国文, 李俊, 张向辉. 热辐射暴露下消防员的生理反应及皮肤烧伤预测[J]. 纺织学报, 2019, 40(02): 147-152.
[12] 王敏, 李俊. 燃烧假人衣下空气层的三维现场扫描测量与表征[J]. 纺织学报, 2019, 40(01): 114-119.
[13] 翟胜男 陈太球 蒋春燕 傅佳佳 王鸿博. 消防服外层织物热防护性与舒适性综合评价[J]. 纺织学报, 2018, 39(08): 100-104.
[14] 王丽君 卢业虎 王帅 马妮妮. 形状记忆合金尺寸对消防服面料防护性能的影响[J]. 纺织学报, 2018, 39(06): 113-118.
[15] 卢琳珍 徐定华 徐映红. 应用三层热防护服热传递改进模型的皮肤烧伤度预测[J]. 纺织学报, 2018, 39(01): 111-118.
Viewed
Full text


Abstract

Cited

  Shared   
  Discussed   
No Suggested Reading articles found!