纺织学报 ›› 2021, Vol. 42 ›› Issue (06): 63-70.doi: 10.13475/j.fzxb.20200605808

• 纤维材料 • 上一篇    下一篇

表层静电植入与贴伏石墨烯的湿敏聚氨酯纤维制备及其性能

梁家豪1, 巫莹柱1(), 刘海东2, 黄美林1, 蔡瑞燕2, 周俊俭3, 谢权沛1   

  1. 1. 五邑大学 纺织材料与工程学院, 广东 江门 529020
    2. 广东柏堡龙股份有限公司, 广东 揭阳 515300
    3. 中山国泰染整有限公司, 广东 中山 528445
  • 收稿日期:2020-06-19 修回日期:2021-03-01 出版日期:2021-06-15 发布日期:2021-06-28

Preparation and properties of humidity-sensitive polyurethane fibers with surface electrostatic implantation and adhesion of grapheme

LIANG Jiahao1, WU Yingzhu1(), LIU Haidong2, HUANG Meilin1, CAI Ruiyan2, ZHOU Junjian3, XIE Quanpei1   

  1. 1. College of Textile Materials and Engineering, Wuyi University, Jiangmen, Guangdong 529020, China
    2. Guangdong Bobaolong Co., Ltd., Jieyang, Guangdong 515300, China
    3. Zhongshan Well Dyeing Factory Limited, Zhongshan, Guangdong 528445, China
  • Received:2020-06-19 Revised:2021-03-01 Published:2021-06-15 Online:2021-06-28

摘要:

为制备性能优良、环保且适合编织的湿敏纤维,采用表层静电植入法,在静电场中将石墨烯快速植入熔融状态的聚氨酯纤维表层,经快速辊压贴伏制备出类羊毛鳞片状、湿度敏感的聚氨酯湿敏纤维。通过对纤维的制备工艺进行优化,同时对纤维的结构和性能进行分析。结果表明:聚氨酯湿敏纤维的最佳制备工艺为电极板接收距离为15 cm,电压为45 kV,温度为50 ℃,植入时间为15 s;当石墨烯质量分数为4.1%时,湿敏纤维的电导率为7.0 S/m, 断裂强度为94.9 MPa,断裂伸长率91.5%;该湿敏纤维具有良好的湿度敏感稳定性,在高湿环境下具有良好的电阻敏感性,在低湿下具有更短的响应时间(16 s)和恢复时间(26 s);该湿敏纤维在腐蚀性气体环境和柔性智能电子纺织品上具有广泛的应用潜力。

关键词: 石墨烯, 聚氨酯纤维, 湿敏纤维, 静电植入, 湿度传感, 智能纺织品

Abstract:

In order to achieve good performance, eco-friendliness and suitability for weaving humidity sensitive fiber, surface electrostatic implantation method was adopted in this research. Pieces of graphene were accelerated in electrostatic field and implanted rapidly onto the surface of melting polyurethane fiber, adhesion of graphene on the fiber surface was achieved after rapid roll pressing, leading to a wool scale-like fiber surface. The preparation process of the fiber was optimized, and the structure and properties of the fiber were characterized. The optimal process was found to be electrode plate distance 15 cm, preparation voltage 45 kV, preparation temperature 50 ℃, and the implantation time 15 s. Research results show that when the graphene content is 4.1%, the conductivity is 7.0 S/m, the breaking strength and elongation at break are 94.9 MPa and 91.5%, respectively, that the humidity sensitive fiber has good sensitive stability, and good humidity sensitivity in high humidity environment, and that response time and the recovery time in low humidity environment are only 16 s and 26 s respectively. The humidity sensitive fiber could be widely applied in corrosive gas environment and flexible intelligent electronic textiles.

Key words: graphene, polyurethane fiber, humidity sensitive fiber, electrostatic implanted, humidity sensing, intelligent textile

表1

试验参数表"

A
制备温度/℃
B
外加电压/kV
C
植入时间/s
45 30 5
50 35 10
55 40 15
60 45 20

图1

石墨烯基湿敏纤维表面扫描电子显微镜照片"

表2

正交试验结果表"

试验
编号
A B C 石墨烯植
入量/%
1 2 3 4 5
1# 1 1 1 1 1 1.08
2# 2 1 2 2 2 2.33
3# 3 1 3 3 3 3.51
4# 4 1 4 4 4 3.90
5# 1 2 2 3 4 2.73
6# 2 2 1 4 3 1.16
7# 3 2 4 1 2 4.00
8# 4 2 3 2 1 4.03
9# 1 3 3 4 2 4.06
10# 2 3 4 3 1 4.28
11# 3 3 1 2 4 1.74
12# 4 3 2 1 3 3.28
13# 1 4 4 2 3 4.38
14# 2 4 3 1 4 4.18
15# 3 4 2 4 1 3.52
16# 4 4 1 3 2 2.76
K1j 12.25 10.82 6.74 12.54 12.91
K2j 11.95 11.92 11.86 12.48 13.15
K3j 12.77 13.36 15.78 13.28 12.33
K4j 13.97 14.84 16.56 12.64 12.55
Dj 0.505 1.005 2.455 0.200 0.205

表3

试验结果方差分析"

方差来源 自由度 均方和值 F 显著性
A 3 0.59 2.95
B 3 2.29 11.45 *
C 3 15.15 75.75 *
e 6 0.20

图2

不同植入时间下制备的纤维的电导率与石墨烯植入量 石墨烯其湿敏纤维的制备条件"

表4

物理共混法制备石墨烯基湿敏纤维的电导率与石墨烯植入量"

电导率/(S·m-1) 石墨烯植入量/% 来源
小于4.3×10-4 4 自制物理共混对照样
5.7×10-4 5 文献[14]
0.36 20 文献[5]
1.77 25 文献[15]
7.0 4.1 本文工作

图3

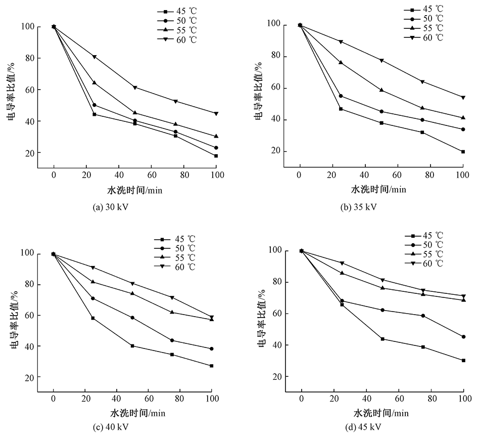
石墨烯基湿敏纤维在不同外加电压下的耐水洗性测试结果"

图4

制备温度对纤维的断裂强度及断裂伸长率影响"

图5

石墨烯基湿敏纤维在不同湿度下的电阻变化"

图6

石墨烯基湿敏纤维相对湿度与电阻的关系拟合曲线"

图7

石墨烯基湿敏纤维在不同相对湿度下电阻响应与恢复曲线"

图8

石墨烯基湿敏纤维在不同相对湿度下的电阻重复曲线"

表5

石墨烯湿敏纤维与其他石墨烯类电阻型传感器的响应恢复时间对比"

传感器类型 响应时
间/s
恢复时
间/s
相对湿度测
量范围/%
来源
GR/PPy薄膜 12 53 33~90 [16]
RGO薄膜 28 48 10~90 [17]
GO薄膜 45 24 11~90 [18]
石墨烯湿敏纤维 60 38 0~97 本文工作

图9

石墨烯基湿敏纤维环境稳定性"

图10

石墨烯在不同湿度坏境下的变化情况"

[1] BI Hengchang, YIN Kuibo, XIE Xiao, et al. Ultrahigh humidity sensitivity of graphene oxide[J]. Scientific Reports, 2013, 3(1):1-7.
[2] ZHANG Dongzhi, CHANG Hongyan, LI Peng, et al. Fabrication and characterization of an ultrasensitive humidity sensor based on metal oxide/graphene hybrid nanocomposite[J]. Sensors and Actuators B: Chemical, 2016, 225:233-240.
doi: 10.1016/j.snb.2015.11.024
[3] YANG Zihang, ZHAI Zirui, SONG Zeming, et al. Conductive and elastic 3D helical fibers for use in washable and wearable electronics[J]. Advanced Materials, 2020, 32:1907495.
doi: 10.1002/adma.v32.10
[4] 陈衍夏, 肖红艳, 施亦东, 等. 金属纤维材料的改性及应用新进展[J]. 产业用纺织品, 2010(10):1-7.
CHEN Yanxia, XIAO Hongyan, SHI Yidong, et al. Application advances and modification of metal fiber materials[J]. Technical Textiles, 2010(10):1-7.
[5] HUANG Chien-Lin, LOU Ching-Wen, LIU Chi-Fan, et al. Polypropylene/graphene and polypropylene/carbon fiber conductive composites: mechanical, crystallization and electromagnetic properties[J]. Applied Sciences, 2015, 5(4):1196-1210.
doi: 10.3390/app5041196
[6] 王双成, 孙海波, 许日鹏, 等. 生物质石墨烯粘胶纤维的制备及性能分析[J]. 人造纤维, 2018, 48(5):12-15.
WANG Shuangcheng, SUN Haibo, XU Ripeng, et al. Preparation and performance analysis of biomass graphene viscose fiber[J]. Artificial Fibre, 2018, 48(5):12-15.
[7] 许日鹏, 宋现芬, 王双成, 等. 生物质石墨烯改性海藻纤维的制备与性能分析[J]. 人造纤维, 2019, 49(5):15-19,23.
XU Ripeng, SONG Xianfen, WANG Shuangcheng, et al. Preparation and performance analysis of biomass graphene-modified seaweed fibers[J]. Artificial Fibre. 2019, 49(5):15-19,23.
[8] 陈建康, 江奇, 陈姿, 等. 静电纺丝电纺聚丙烯腈纤维及其在电化学超级电容器中的应用研究进展[J]. 功能材料, 2017, 48(2):2026-2032.
CHEN Jiankang, JIANG Qi, CHEN Zi, et al. Research progress on preparation of polyacrylonitrile fiber by electrostatic spinning method and its application in electrochemical supercapacitor[J]. Journal of Functional Materials, 2017, 48(2):2026-2032.
[9] ZHAO Yahong, NIU Changmei, GONG Jiahuan, et al. Construction and biocompatibility in vitro evaluation of electrospun- graphene/silk fibroin nanofilms[J]. Chinese Journal of Reparative & Reconstructive Surgery, 2017, 31 (9):1119-1126.
[10] 刘艺, 王华. 碳纤维表面化学镀铜工艺优化研究[J]. 铸造技术, 2018, 39(7):1607-1611.
LIU Yi, WANG Hua. Optimization of chemical copper- plating process on carbon fiber surface[J]. Foundry Technology, 2018, 39(7):1607-1611.
[11] TAKESHITA Toshihiro, YOSHIDA Manabu, TAKEI Yusuke, et al. Relationship between contact pressure and motion artifacts in ECG measurement with electrostatic flocked electrodes fabricated on textile[J]. Scientific Reports, 2019, 9:5897.
doi: 10.1038/s41598-019-42027-x pmid: 30976016
[12] LI Xiaoyan, WANG Jun, WANG Kangkang, et al. Three-dimensional stretchable fabric-based electrode for supercapacitors prepared by electrostatic flocking[J]. Chemical Engineering Journal, 2020, 390:124442.
doi: 10.1016/j.cej.2020.124442
[13] 杨书珍. 静电植绒特种纺织面料的研究[D]. 上海: 东华大学, 2007:29-33.
YANG Shuzhen. Study on electrostatic flocking special textile fabrics[D]. Shanghai: Donghua University, 2017:29-33.
[14] 凌良仲. 石墨烯/PET复合导电纤维的制备与性能研究[D]. 天津: 天津工业大学, 2017:31.
LING Liangzhong. Preparation and properties of graphene/PET composite conductive fiber[D]. Tianjin: Tiangong University, 2017:31.
[15] 迟淑丽, 田明伟, 曲丽君. 石墨烯纤维素复合纤维制备及导电导热性能研究[J]. 成都纺织高等专科学校学报, 2017, 34(2):22-25.
CHI Shuli, TIAN Mingwei, QU Lijun. Study on preparation and conductivity of graphene-cellulose composite fiber[J]. Journal of Chengdu Textile College, 2017, 34(2):22-25.
[16] LIN Wang-De, CHANG Hsiu-Mei, WU Ren-Jang. Applied novel sensing material graphene/polypyrrole for humidity sensor[J]. Sensors and Actuators B: Chemical, 2013, 181:326-331.
doi: 10.1016/j.snb.2013.02.017
[17] SU Pi-Guey, CHIOU Chuang-Fu. Electrical and humidity-sensing properties of reduced graphene oxide thin film fabricated by layer-by-layer with covalent anchoring on flexible substrate[J]. Sensors and Actuators B: Chemical, 2014, 200:9-18.
doi: 10.1016/j.snb.2014.04.035
[18] 姚尧. 氧化石墨烯的湿敏特性及其在微纳湿度传感器上的应用[D]. 成都: 西南交通大学, 2013,90-93.
YAO Yao. The humidity sensing properties of graphene oxide and its application in micro/nano humidity sensors[D]. Chengdu: Southwest Jiaotong University, 2013:90-93.
[19] CHEN Mengchu, HSU Chengliang, HSUEH Tingjen, et al. Fabrication of humidity sensor based on bilayer graphene[J]. IEEE Electron Device Letters, 2014, 35(5):590-592.
doi: 10.1109/LED.55
[1] 林文君, 缪旭红. 光导纤维在发光织物上的应用研究进展[J]. 纺织学报, 2021, 42(07): 169-174.
[2] 徐晋, 杨鹏程, 肖渊, 胥光申. 织物表面导电线路喷射打印中微滴关键参数的视觉测量[J]. 纺织学报, 2021, 42(07): 137-143.
[3] 代阳, 杨楠楠, 肖渊. 静电纺碳纳米管电阻式柔性湿度传感器的制备及其性能[J]. 纺织学报, 2021, 42(06): 51-56.
[4] 王航, 王冰心, 宁新, 曲丽君, 田明伟. 喷墨打印导电墨水及其智能电子纺织品研究进展[J]. 纺织学报, 2021, 42(06): 189-197.
[5] 汤健, 闫涛, 潘志娟. 导电复合纤维基柔性应变传感器的研究进展[J]. 纺织学报, 2021, 42(05): 168-177.
[6] 肖渊, 李红英, 李倩, 张威, 杨鹏程. 棉织物/聚二甲基硅氧烷复合介电层柔性压力传感器制备[J]. 纺织学报, 2021, 42(05): 79-83.
[7] 姜兆辉, 李永贵, 杨自涛, 郭增革, 张战旗, 齐元章, 金剑. 聚合物基石墨烯复合纤维及其纺织品研究进展[J]. 纺织学报, 2021, 42(03): 175-180.
[8] 娄娅娅, 王静, 董燕超, 王春梅. 粘胶基沸石咪唑骨架材料的制备及其对染料的脱色[J]. 纺织学报, 2021, 42(02): 142-147.
[9] 胡静, 张开威, 李冉冉, 林金友, 刘宇清. 亚麻分层纳米纤维素的制备及其增强热电复合材料性能[J]. 纺织学报, 2021, 42(02): 47-52.
[10] 马丽芸, 吴荣辉, 刘赛, 张玉泽, 汪军. 包缠复合纱摩擦纳米发电机的制备及其电学性能[J]. 纺织学报, 2021, 42(01): 53-58.
[11] 杨宇晨, 覃小红, 俞建勇. 静电纺纳米纤维功能性纱线的研究进展[J]. 纺织学报, 2021, 42(01): 1-9.
[12] 肖渊, 王盼, 张威, 张成坤. 织物表面导电线路喷射打印起始端凸起形成过程研究[J]. 纺织学报, 2020, 41(12): 81-86.
[13] 孟晶, 高珊, 卢业虎. 石墨烯气凝胶复合防火面料防护性能的影响因素[J]. 纺织学报, 2020, 41(11): 116-121.
[14] 孙倩, 阚燕, 李晓强, 高德康. 聚丙烯腈/氯化钴纳米纤维比色湿度传感器的制备及其性能[J]. 纺织学报, 2020, 41(11): 27-33.
[15] 李亮, 刘静芳, 胡泽栋, 耿长军, 刘让同. 涤纶织物的氧化石墨烯负载及其抗静电性能[J]. 纺织学报, 2020, 41(09): 102-107.
Viewed
Full text


Abstract

Cited

  Shared   
  Discussed   
No Suggested Reading articles found!