纺织学报 ›› 2022, Vol. 43 ›› Issue (07): 90-96.doi: 10.13475/j.fzxb.20210601008

• 染整与化学品 • 上一篇    下一篇

生物质环保阻燃剂PD的制备及其阻燃性能

张广知, 方进()   

  1. 安徽工程大学 纺织服装学院, 安徽 芜湖 241000
  • 收稿日期:2021-06-01 修回日期:2022-03-31 出版日期:2022-07-15 发布日期:2022-07-29
  • 通讯作者: 方进
  • 作者简介:张广知(1965—),男,副教授,硕士。主要研究方向为阻燃纺织品研究与开发。

Preparation and flame retardant properties of environmental biomass based flame retardant PD

ZHANG Guangzhi, FANG Jin()   

  1. School of Textiles and Garment, Anhui Polytechnic University, Wuhu, Anhui 241000, China
  • Received:2021-06-01 Revised:2022-03-31 Published:2022-07-15 Online:2022-07-29
  • Contact: FANG Jin

摘要:

为解决纯棉织物的阻燃及其耐洗性问题,以生物质植酸和双氰胺为原料,制备了无卤生物质环保耐洗阻燃剂PD,并应用于棉织物的阻燃整理。借助傅里叶红外光谱仪和X射线能谱仪等分析表征了PD化学结构和元素组成,并对整理织物的表面形貌、热稳定性、阻燃及耐水洗性等进行了分析。结果表明:阻燃剂PD为多活性磷氮型阻燃剂;纯棉织物阻燃整理时,阻燃剂PD质量分数为35%;PD处理样在800 ℃热解残炭量为13.32%(氮气气氛),垂直燃烧的损毁长度为4.5 cm,极限氧指数达43.6%,且阻燃织物经40次标准洗涤后,极限氧指数仍能达到29.1%;制备的阻燃剂PD是一种阻燃效果和耐水洗性能优良的生物质环保阻燃剂。

关键词: 生物质阻燃剂, 阻燃整理, 棉织物, 功能性纺织品, 阻燃性, 耐洗性

Abstract:

In order to improve flame retardancy and washability of pure cotton fabrics, a halogen-free environment-friendly durable flame retardant PD was synthesized with biomass phytic acid and dicyandiamide, which was applied to the flame retardant finishing of a cotton fabric. The chemical structure and elemental composition of flame retardant PD were characterized by Fourier transform infrared spectrometer and X-ray energy spectrometer, and the surface morphology, thermal stability, flame retardancy and washability of the treated fabric were investigated. The results show that flame retardant PD is a multi-active phosphorus-nitrogen flame retardant; the mass fraction of flame retardant PD is 35% in the flame retardant finishing of cotton fabric. The residual carbon amount of PD flame retardant treatment sample is 13.32% at 800 ℃ pyrolysis (nitrogen atmosphere), and the fabric damage length of vertical combustion is 4.5 cm. The LOI value of the flame retardant fabric reaches 43.6%, and it can still reach 29.1% after 40 times of standard washing. It demonstrates that a biomass environment-friendly flame retardant PD offers excellent flame retardancy and washability.

Key words: biomass flame retardant, flame retardant finishing, cotton fabric, functional textiles, flame retardancy, washability

中图分类号: 

  • TS195.2

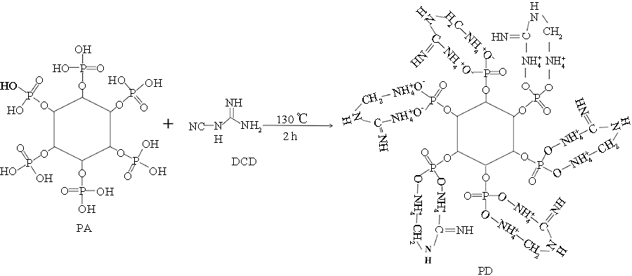
图1

阻燃剂PD合成反应"

图2

阻燃剂PD与棉纤维的反应"

图3

阻燃剂PD、植酸、双氰胺的傅里叶红外光谱图"

图4

阻燃整理前后纯棉织物的扫描电镜照片"

图5

阻燃整理前后纯棉织物的XPS分析图"

表1

纯棉织物阻燃整理前后表面元素分析"

样品 质量分数/%
O C N P
原样 30.77 61.73
PD处理样 27.19 57.54 7.76 2.11

图6

阻燃整理前后纯棉织物的TG曲线"

图7

阻燃整理前后纯棉织物的红外光谱图"

图8

阻燃整理前后纯棉织物的垂直燃烧实验照片"

表2

阻燃整理前后纯棉织物的燃烧性能"

样品 续燃时间/s 阴燃时间/s 炭长/cm LOI值/%
原样 烧尽 18.3
DCD处理样 烧尽 18.5
PA处理样 0 0 6.7 40.5
PD处理样 0 0 4.5 43.6

表3

PD处理样的耐水洗性能"

样品水洗次数 LOI值/%
原样 PD处理样
0 18.3 43.6
10 31.7
20 30.3
30 29.8
40 29.1

图9

纯棉织物原样、PD处理样残渣扫描电镜照片(×5 000)"

表4

纯棉原样、PD处理样残渣能谱分析"

样品 质量分数/%
C N O P
原样残渣 57.11 0 42.89 0
PD处理样残渣 64.54 4.09 22.28 9.09

表5

纯棉织物原样和PD处理样的白度与断裂强力"

样品 白度/% 经向断裂强力/N
原样 83.3 492
PD处理样 72.3 453
[1] QIU X, LI Z, LI X, et al. Flame retanlant coatings prepared ueing layer by layer assembly:a review[J]. Chemical Engineering Journal, 2018, 334(15):108-122.
doi: 10.1016/j.cej.2017.09.194
[2] SHEN Zhenqi, CHEN Li, LIN Lin, et al. Synergistic effect of layered nanofillers in intumescent flame-retardant EPDM: montmorillonite versus layered double hydroxides[J]. Industrial & Engineering Chemistry Research, 2013, 52(25) : 8454-8463.
doi: 10.1021/ie4010546
[3] ABOU-OKEIL A, EI-SAWY S M, ABDEL-MOHDY F A. Flame retardant cotton fabrice treated with organophosphorus polymer[J]. Carbohydrate Polymers, 2013, 92(2):2293-2298.
doi: 10.1016/j.carbpol.2012.12.008
[4] 徐爱玲, 王春梅. 植酸的铵化及其对Lyocell织物的阻燃整理[J]. 纺织学报2020, 41(2):83-88.
XU Ailing, WANG Chunmei. Ammonium modification of phytic acid and flame retardant finishing of Lyocell fabric[J]. Journal of Textile Research, 2020, 41(2):83-88.
[5] FENG Yajuan, ZHOU Yang, LI Daikun, et al. A plant-based reactive ammonium phytate for use as a flame-retardant for cotton fabric[J]. Carbohydrate Polymers, 2017, 175: 636-644.
doi: S0144-8617(17)30766-X pmid: 28917912
[6] 谷晓昱, 张军营. 用FT-IR研究双氰胺固化环氧树脂的反应机理[J]. 高分子材料科学与工程, 2006(5):182-184.
GU Xiaoyu, ZHANG Junying. FT-IR Study on reaction mechanism of dicyandiamide curing epoxy resin[J]. Polymer Materials Science and Engineering, 2006(5):182-184.
[7] 孙玉发, 周向东. 棉用新型含磷氮阻燃剂的合成及其应用[J]. 纺织学报, 2019, 40(12) : 79-85.
SUN Yufa, ZHOU Xiangdong. Synthesis and application of a novel phosphorous nitrogen flame retardant for cotton[J]. Journal of Textile Research, 2019, 40(12) : 79-85.
[8] GUO Xiaoyu, MIAO Yun, YE Pingping, et al. Multi-walled carbon nanotubes in aqueous phytic acid for enhancing biosensor[J]. Mater Res Express, 2014. DOI:10.1088/2053-1591/1/2/025403.
[9] 张广知, 黄小华. 纯棉篷盖布涂料染色拒水拒油阻燃复合涂层[J]. 纺织学报, 2013, 34(2):125-128.
ZHANG Guangzhi, HUANG Xiaohua. One-bath pigment dyeing water-and oil-repellent-flame retardant coating finish of cotton canvas[J]. Journal of Textile Research, 2013, 34(2):125-128.
[10] VESEL A, MOZETIC M, KOVAC J, et al. XPS study of the deposited Ti layer in a magnetron-type sputter ion pump[J]. Applied Surface Science, 2006, 253(5):2941-2946.
doi: 10.1016/j.apsusc.2006.06.033
[11] HYDE G K, MCCULLEN S D, JEON S, et al. Atomic layer deposition and biocompatibility of titanium nitride nano-coatings on cellulose fiber substrates[J]. Biomedical Materials, 2009. DOI: 10.1088/1748-6041/4/2/025001.
doi: 10.1088/1748-6041/4/2/025001
[12] 金晓冬. 含磷/氮/硫新型阻燃剂的制备及其在生物基高分子材料中的应用[D]. 北京: 北京化工大学, 2018:25, 47.
JIN Xiaodong. Preparation of novel phosphorus/nitrogen/sulfur based flame retardant and their application in bio based polymer[D]. Beijing: Beijing University of Chemical Technology, 2018: 25, 47.
[13] 倪健雄. 核-壳型聚磷酸铵阻燃剂的制备及其阻燃聚氨酯性能和机理的研究[D]. 合肥: 中国科技大学, 2009:27,44.
NI Jianxiong. Study on preparation, performance and mechanism of the core-shell ammonium polyphosphate flame retardant polyurethane[D]. Hefei: University of Science and Technology of China, 2009:27, 44.
[14] WU K, HU Y, SONG L, et al. Flame retardancy and thermal degradation of intumescent flame retardant starch-based biodegradable composite[J]. Industrial﹠Engineering Chemistry Research, 2009, 48(2):3150-3157.
[15] 贾丽霞, 金崇业, 刘瑞, 等. 硅磷杂化阻燃整理对羊毛结构与热稳定性能的影响[J]. 纺织学报, 2017, 38(12):101-105.
JIA Lixia, JIN Chongye, LIU Rui, et al. Influence of flame retardant finishing with silicon-phosphorus hybridization on structure and thermal stability of wool[J]. Journal of Textile Research, 2017, 38(12):101-105.
doi: 10.1177/004051756803800111
[16] LUO Jie, SUN Yuyu. Acyclic N-halamine coated Kevlar fabric material: preparation and biocidal functions[J]. Industrial and Engineering Chemistry Research, 2008, 47(15): 5291-5297.
doi: 10.1021/ie800021p
[17] LI X, CHEN H, WANG W, et al. Synthesis of a formaldehyde-free phosphorus-nitrogen flame retardant with multiple reactive groups and its application in cotton fabrics[J]. Polymer Degradation and Stability, 2015, 120: 193-202.
doi: 10.1016/j.polymdegradstab.2015.07.003
[18] YANG Zongyue, WANG Xiaowen, LEI Dapeng, et al. A durable flame retardant for cellulosic fabrics[J]. Polymer Degradation and Stability, 2012, 97(11): 2467-2472.
doi: 10.1016/j.polymdegradstab.2012.05.023
[19] CHEN Y, FRENDI A, TEWARI S, et al. Combustion properties of pure and fire-retarded cellulose[J]. Combustion and Flame, 1991, 84(1/2): 121-140.
doi: 10.1016/0010-2180(91)90042-A
[20] SHARIATINIA Z, JAVERI N, SHEKARRIZ S. Flame retardant cotton fibers produced using novel synthesized halogen-free phosphoramide nanoparticles[J]. Carbohydrate Polymers, 2015, 118: 183-198.
doi: 10.1016/j.carbpol.2014.11.039
[21] ALONGI J, MILNES J, MALUCELLI G, et al. Thermal degradation of DNA-treated cotton fabrics under different heating conditions[J]. Journal of Analytical and Applied Pyrolysis, 2014, 108: 212-221.
doi: 10.1016/j.jaap.2014.04.014
[22] CHANG S, CONDON B, GRAVES E, et al. Flame retardant properties of triazine phosphonates derivative with cotton fabric[J]. Fibers and Polymers, 2011, 12(3): 334-339.
doi: 10.1007/s12221-011-0334-7
[23] ROSACE Giuseppe, COLLEONI Claudio, TROVATO Valentina, et al. Vinylphosphonic acid/methacrylamide system as a durable intumescent flame retardant for cotton fabric[J]. Cellulose, 2017, 24: 3095-3108.
doi: 10.1007/s10570-017-1294-x
[24] HERNANDEZ-ALVARADO L A, HERNANDEZ L S, LOMELI M A, et al. Phytic acid coating on Mg-based materials for biodegradable temporary endoprosthetic applications[J]. Journal of Alloys and Compounds, 664:609-618.
doi: 10.1016/j.jallcom.2016.01.011
[25] NADA A, HAMED S, SOLIMAN S, et al. Spectroscopic and ion exchange studies on modified cotton linters[J]. J Sci Ind Res, 2005, 64(12): 1003-1009.
[26] LIU Huan, WANG Xiaodong, WU Denzhen. Preparation, isothermal kinetics and performance of a novel epoxy thermosetting system based on phosphazene-cyclomatrix network for halogen-free flame retardancy and high thermal stability[J]. Thermochimica Acta, 2015, 607:60-73.
doi: 10.1016/j.tca.2015.04.002
[1] 熊永辉, 王冬, 杜长森, 付少海. 二硫代焦磷酸酯水性分散体系的制备及其在阻燃粘胶纤维中的应用[J]. 纺织学报, 2022, 43(07): 22-28.
[2] 李娜, 王晓, 李振宝, 李佥, 杜冰. 基于腺嘌呤核苷酸单体的光接枝生态阻燃棉织物制备及其性能[J]. 纺织学报, 2022, 43(07): 97-103.
[3] 杨尧, 程伟, 余圆圆, 王强, 王平, 周曼. 抗菌和防细菌黏附整理剂在棉织物改性中的应用[J]. 纺织学报, 2022, 43(07): 104-110.
[4] 李平阳, 付灿, 董玲玲. 阻燃疏水棉织物的制备及其性能[J]. 纺织学报, 2022, 43(06): 107-114.
[5] 王宗乾, 程绿竹, 金鲜花, 夏丽萍. 基于紫外光谱法的纯棉织物中氯菊酯含量检测方法[J]. 纺织学报, 2022, 43(06): 127-132.
[6] 黄益婷, 程献伟, 关晋平, 陈国强. 磷/氮阻燃剂对涤纶/棉混纺织物的阻燃整理[J]. 纺织学报, 2022, 43(06): 94-99.
[7] 侯倩倩, 李文熙, 赵美华. 光催化条件下棉织物的蓝晒工艺印相[J]. 纺织学报, 2022, 43(04): 110-116.
[8] 王东伟, 房宽峻, 刘秀明, 张鑫卿, 安芳芳. 胺化活性红195/聚合物微球的制备及其在棉织物染色中的应用[J]. 纺织学报, 2022, 43(04): 90-96.
[9] 何颖婷, 李敏, 付少海. 靛蓝分散体的制备及其还原-氧化过程[J]. 纺织学报, 2022, 43(04): 84-89.
[10] 金文杰, 程献伟, 关晋平, 陈国强. 聚酰胺6织物的磺胺阻燃抗熔滴整理[J]. 纺织学报, 2022, 43(02): 171-175.
[11] 马逸平, 樊武厚, 吴晋川, 蒲宗耀. 全水基杂化型无氟防水剂制备及其在涤/棉织物防水整理中应用[J]. 纺织学报, 2022, 43(02): 183-188.
[12] 骆晓蕾, 刘琳, 姚菊明. 纯生物质纤维素气凝胶的制备及其阻燃性能[J]. 纺织学报, 2022, 43(01): 1-8.
[13] 纪柏林, 王碧佳, 毛志平. 纺织染整领域支撑低碳排放的关键技术[J]. 纺织学报, 2022, 43(01): 113-121.
[14] 高强, 王晓, 郭亚杰, 陈茹, 魏菊. 棉基Ti3C2Tx油水分离膜的制备及其性能[J]. 纺织学报, 2022, 43(01): 172-177.
[15] 邹梨花, 杨莉, 兰春桃, 阮芳涛, 徐珍珍. 层层组装氧化石墨烯/聚吡咯涂层棉织物的电磁屏蔽性能[J]. 纺织学报, 2021, 42(12): 111-118.
Viewed
Full text


Abstract

Cited

  Shared   
  Discussed   
[1] 赵良臣;闻涛. 旋转组织设计的数学原理[J]. 纺织学报, 2003, 24(06): 33 -34 .
[2] 曹建达;顾小军;殷联甫. 用BP神经网络预测棉织物的手感[J]. 纺织学报, 2003, 24(06): 35 -36 .
[3] 【作者单位】:中国纺织工程学会秘书处【分类号】:+【DOI】:cnki:ISSN:0-.0.00-0-0【正文快照】:  香港桑麻基金会设立的“桑麻纺织科技奖” 0 0 年提名推荐工作;在纺织方面院士;专家和有关单位的大力支持下;收到了 个单位 (人 )推荐的 位候选人的. 2003年桑麻纺织科技奖获奖名单[J]. 纺织学报, 2003, 24(06): 107 .
[4] 【分类号】:Z【DOI】:cnki:ISSN:0-.0.00-0-0【正文快照】:  一;纺 纱模糊控制纺纱张力的研究周光茜等 ( - )………………原棉含杂与除杂效果评价方法的研究于永玲 ( - )……网络长丝纱免浆免捻功能的结构表征方法李栋高等 ( - )……………. 2003年纺织学报第二十四卷总目次[J]. 纺织学报, 2003, 24(06): 109 -620 .
[5] 朱敏;周翔. 准分子激光对聚合物材料的表面改性处理[J]. 纺织学报, 2004, 25(01): 1 -9 .
[6] 黄立新. Optim纤维及产品的开发与应用[J]. 纺织学报, 2004, 25(02): 101 -102 .
[7] 邓炳耀;晏雄. 热压对芳纶非织造布机械性能的影响[J]. 纺织学报, 2004, 25(02): 103 -104 .
[8] 张治国;尹红;陈志荣. 纤维前处理用精练助剂研究进展[J]. 纺织学报, 2004, 25(02): 105 -107 .
[9] 秦元春. 纺织工业发展方向初探[J]. 纺织学报, 2004, 25(02): 108 -110 .
[10] 高伟江;魏文斌. 纺织业发展的战略取向——从比较优势到竞争优势[J]. 纺织学报, 2004, 25(02): 111 -113 .