纺织学报 ›› 2022, Vol. 43 ›› Issue (01): 113-121.doi: 10.13475/j.fzxb.20210910209

• 染整与化学品 • 上一篇    下一篇

纺织染整领域支撑低碳排放的关键技术

纪柏林1,2, 王碧佳1,3, 毛志平1,2,3,4()   

  1. 1.东华大学 化学化工与生物工程学院, 上海 201620
    2.东华大学 国家染整工程技术研究中心, 上海 201620
    3.东华大学 生态纺织教育部重点实验室, 上海 201620
    4.国家先进印染技术创新中心, 山东 泰安 271000
  • 收稿日期:2021-09-26 修回日期:2021-11-04 出版日期:2022-01-15 发布日期:2022-01-28
  • 通讯作者: 毛志平
  • 作者简介:纪柏林(1988—),男,讲师,博士。主要研究方向为纺织品的功能改性。
  • 基金资助:
    国家自然科学基金青年科学基金项目(51803025)

Key technologies supporting low-carbon emissions in dyeing and finishing of textiles

JI Bolin1,2, WANG Bijia1,3, MAO Zhiping1,2,3,4()   

  1. 1. College of Chemistry, Chemical Engineering and Biotechnology, Donghua University, Shanghai 201620,China
    2. National Engineering Research Center for Dyeing and Finishing of Textiles, Donghua University,Shanghai 201620, China
    3. Key Laboratory of Science & Technology of Eco-Textile, Ministry of Education,Donghua University, Shanghai 201620, China
    4. National Innovation Center of Advanced Dyeing and Finishing Technology, Taian, Shandong 271000, China
  • Received:2021-09-26 Revised:2021-11-04 Published:2022-01-15 Online:2022-01-28
  • Contact: MAO Zhiping

摘要:

为深入了解染整行业近年来在低碳排放领域取得的技术突破和现状,掌握行业技术前沿和发展趋势,对国内外相关技术和研究进展进行了综述。主要从节能减排技术、功能纺织品技术、先进绿色染整加工设备及系统、废水深度处理及化学品循环回用几个方面,对技术性能及其对低碳排放的作用进行了介绍。研究指出:染整领域不仅传统加工手段取得技术突破,还在智能调温纺织品等前沿领域保持与时俱进;通过多维度努力,有助于推动染整行业不断的技术创新,提升产业价值,减少环境影响,实现绿色低碳循环发展,并为实现碳达峰、碳中和的国家目标贡献行业力量。

关键词: 低碳排放, 染整, 节能减排, 功能性纺织品, 智能制造

Abstract:

In order to understand clearly the technological breakthrough and current situation of the dyeing and finishing industry for low-carbon emission and to discover the technological advance and developing trend, this paper reviews the related technologies and research progress. It started by introducing energy-saving and emission-reducing technologies, smart functional textiles, advanced green dyeing and finishing equipment and systems, and wastewater treatment and recycling, as well as the technical performance and their effects on the low-carbon emissions. Recent years have witnessed an explosion of technological breakthroughs in the traditional processing methods, and the textile industry has kept pace with the cutting-edge techniques such as the smart temperature-regulating clothing. Through multi-dimensional efforts, it will benefit to promote the continuous technological innovation, enhance the industrial value, and reduce the environmental impact. The review concluded that the dyeing and finishing industry can achieve the green and low-carbon circular economic development, and contribute to our country's goal of peaking carbon dioxide emission and reaching carbon neutrality.

Key words: low-carbon emission, dyeing and finishing, energy saving and emission reduction, functional textiles, intelligent manufacturing

中图分类号: 

  • TS190.8

图1

不同活化剂的漂白活化机制"

图2

铜离子配合物亚氨基二乙酸/Cu(Ⅱ)/4-氨基吡啶的催化机制"

图3

CO2的相图"

图4

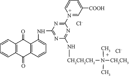
阳离子型染料化学结构"

图5

纤维素纤维与阳离子单体的作用方式 注:a—Yoshida氢键;b—偶极相互作用。"

[1] 习近平. 加强政党合作,共谋人民幸福:在中国共产党与世界政党领导人峰会上的主旨讲话[EB/OL].(2021-07-06)[2021-09-26]. http://www.gov.cn/gongbao/content/2021/content_5625991.htm.
XI Jinping. Strengthening political party cooperation and seeking people's happiness:a keynote address to the Communist Party of China and World Political Parties Summit [EB/OL].(2021-07-06)[2021-09-26]. http://www.gov.cn/gongbao/content/2021/content_5625991.htm.
[2] 孙瑞哲. 开新局、启华章,开创“十四五”纺织行业高质量发展新局面:中国纺联第四届第九次常务理事扩大会议工作报告暨关于《纺织行业“十四五”发展纲要》的说明[R/OL].(2021-06-12)[2021-09-26]. https://www.cntac.org.cn/jinghua/202106/t20210612_4149864.html.
SUN Ruizhe. Opening a new chapter and enlightening chapter to create a new situation for the high-quality development of the textile industry during the “14th Five-Year Plan”:the work report of the Ninth Executive Council Enlarged Meeting of the Fourth Session of the China National Textile and Apparel Council, and the explanation of the “14th Five-Year Plan” for the development outline of textile industry[R/OL].(2021-06-12)[2021-09-26]. https://www.cntac.org.cn/jinghua/202106/t20210612_4149864.html.
[3] 王云龙, 张兴群, 朱鹏, 等. 生物酶在纺织前处理中的应用[J]. 印染助剂, 2021, 38(4): 5-10.
WANG Yunlong, ZHANG Xingqun, ZHU Peng, et al. Application of enzymes in textile pretreatment[J]. Textile Auxiliaries, 2021, 38(4): 5-10.
[4] 武守营, 张琳萍, 徐红, 等. 金属配合物催化棉织物低温漂白研究进展[J]. 纺织学报, 2021, 42(3): 27-35.
WU Shouying, ZHANG Linping, XU Hong, et al. Research progress of low-temperature bleaching of cotton fabrics catalyzed by metal complexes[J]. Journal of Textile Research, 2021, 42(3): 27-35.
[5] 李青, 唐人成, 沈自祥. 棉和竹浆/针织物的H2O2/TAED漂白活化体系[J]. 印染, 2010, 36(20): 1-5.
LI Qing, TANG Rencheng, SHEN Zixiang. Bleaching of cotton and bamboo viscose/cotton blended knits with H2O2/TAED activating system[J]. China Dyeing & Finishing, 2010, 36(20): 1-5.
[6] 王振华, 邵建中, 徐春松, 等. H2O2/NOBS活化体系在棉织物冷轧堆漂白中的应用[J]. 纺织学报, 2008, 29(7): 64-68.
WANG Zhenhua, SHAO Jianzhong, XU Chunsong, et al. Application of H2O2/NOBS activating system in cold pad-batch bleaching of cotton fabrics[J]. Journal of Textile Research, 2008, 29(7): 64-68.
[7] 张静静, 邵冬燕, 向中林, 等. 棉用阳离子低温漂白活化剂的制备及应用[J]. 印染, 2017, 43(7): 1-4.
ZHANG Jingjing, SHAO Dongyan, XIANG Zhonglin, et al. Preparation and application of a cationic activator for low-temperature peroxide bleaching of cotton fabric[J]. China Dyeing & Finishing, 2017, 43(7): 1-4.
[8] 李静妍, 宋敏, 张琳萍, 等. 希夫碱金属配合物在棉织物低温漂白中的应用[J]. 东华大学学报(自然科学版), 2012, 38(1): 55-59.
LI Jingyan, SONG Min, ZHANG Linping, et al. Application of Schiff base metal complex for cotton fabric bleaching process at lower temperature[J]. Journal of Donghua University(Natural Science Edition), 2012, 38(1): 55-59.
[9] YU D Y, WU M H, LIN J X. Establishment of an effective activated peroxide system for low-temperature cotton bleaching using synthesized tetramido macrocyclic iron complex[J]. Fibers and Polymers, 2017, 18(9): 1741-1748.
doi: 10.1007/s12221-017-7023-0
[10] 尹冲, 黄瑜婷, 鲁玉洁, 等. 铜配合物在低温催化漂白棉针织物中的应用[J]. 印染, 2014, 40(6): 6-10.
YIN Chong, HUANG Yuting, LU Yujie, et al. Application of copper complex to catalytic bleaching of cotton knits at low temperature[J]. China Dyeing & Finishing, 2014, 40(6): 6-10.
[11] 吴臣仁, 吕汪洋, 陈文兴. 铜配合物在棉针织物低温中性漂白中的应用[J]. 纺织学报, 2019, 40(1): 91-96.
WU Chenren, LÜ Wangyang, CHEN Wenxing. Application of copper complex in low-temperature neutral bleaching of cotton knitted fabrics[J]. Journal of Textile Research, 2019, 40(1): 91-96.
[12] 艾丽, 朱亚伟. 液体分散染料的技术进步及应用[J]. 印染, 2019, 45(24): 47-52.
AI Li, ZHU Yawei. The development of liquid disperse dye and its application[J]. China Dyeing & Finishing, 2019, 45(24): 47-52.
[13] 郝芬, 唐敬淋, 杜金梅, 等. 耐碱分散染料的发展及应用[J]. 现代纺织技术, 2021, 29(4): 102-106.
HAO Fen, TANG Jinglin, DU Jinmei, et al. Progress and application of alkali-resistant disperse dyes[J]. Advanced Textile Technology, 2021, 29(4): 102-106.
[14] 王小艳, 杜金梅, 荆丽丽, 等. 耐碱分散染料上染涤纶织物免还原清洗工艺[J]. 丝绸, 2019, 56(6): 19-25.
WANG Xiaoyan, DU Jinmei, JING Lili, et al. Reduction cleaning free progress of polyester fabrics with alkali-resistant disperse dyes[J]. Journal of Silk, 2019, 56(6): 19-25.
[15] 李胜男, 赵玉萍, 郑环达, 等. 超临界CO2流体中分散染料溶解度研究进展[J]. 精细化工, 2020, 37(8): 1533-1539.
LI Shengnan, ZHAO Yuping, ZHENG Huanda, et al. Research progress on disperse dyes solubility in supercritical carbon dioxide fluid[J]. Fine Chemicals, 2020, 37(8): 1533-1539.
[16] 孙长春, 万刚, 刘延辉, 等. 超临界CO2无水染色涤纶针织物服用性能研究[J]. 针织工业, 2020 (5): 56-59.
SUN Changchun, WAN Gang, LIU Yanhui, et al. Wearability of supercritical CO2 anhydrous dyed polyester filament knitted fabric[J]. Knitting Industries, 2020(5): 56-59.
[17] ZHANG Y, ZHANG W. Clean dyeing of cotton fiber using a novel nicotinic acid quaternary triazine cationic reactive dye: salt-free, alkali-free, and non-toxic by-product[J]. Clean Technologies & Environmental Policy, 2015, 17(2): 563-569.
[18] TOPRAK T, ANIS P, KUTLU Egemen, et al. Effect of chemical modification with 4-vinylpyridine on dyeing of cotton fabric with reactive dyestuff[J]. Cellulose, 2018, 25(1): 6793-6809.
doi: 10.1007/s10570-018-2026-6
[19] 崔金德, 李德芹, 沈希慧. 棉纤维阳离子改性对染色性能的影响[J]. 染整技术, 2021, 43(2): 35-37.
CUI Jinde, LI Deqin, SHEN Xihui. Effect of cationic modification of cotton fiber on dyeing performance[J]. Textile Dyeing and Finishing Journal, 2021, 43(2): 35-37.
[20] FRAZER L. A cleaner way to color cotton[J]. Environmental Health Perspectives, 2002, 110(5): 252-254.
[21] 周浩. 棉织物活性染料无盐少水溶剂染色研究[D]. 上海: 东华大学, 2015: 8-14.
ZHOU Hao. Study on the salt-free & little water solvent dyeing of cotton fabric with reactive dyes[D]. Shanghai: Donghua University, 2015: 8-14.
[22] 夏良君. 乙醇—水体系的活性染料无盐染色研究[D]. 武汉: 武汉纺织大学, 2015: 5-7.
XIA Liangjun. Research of salt-free reactive dyeing of cotton in ethanol-water system[D]. Wuhan: Wuhan Textile University, 2015: 5-7.
[23] 蔡信彬. 还原染料间接电化学还原染色体系研究[D]. 西安: 西安工程大学, 2013: 6-11.
CAI Xinbin. Research on indirect electrochemical reduction dyeing system of vat dye [D]. Xi'an: Xi'an Polytechnic University, 2013: 6-11.
[24] 刘超. 还原染料直接电化学还原染色及应用[D]. 北京: 北京服装学院, 2017: 5-12.
LIU Chao. Direct electrochemical reduction dyeing of vat dyes research and application[J]. Beijing: Beijing Institute of Fashion Technology, 2017: 5-12.
[25] BARTHLOTT W, NEINHUIS C. Purity of the sacred lotus, or escape from contamination in biological surfaces[J]. Planta, 1997, 202(1): 1-8.
doi: 10.1007/s004250050096
[26] LIU M J, WANG S T, WEI Z X, et al. Bioinspired design of a superoleophobic and low adhesive water/solid interface[J]. Advanced Materials, 2009, 21(6): 665-669.
doi: 10.1002/adma.v21:6
[27] WATSON J A, CRIBB B W, HU H M, et al. A dual layer hairy array of the brown lacewing: repelling water at different length scales[J]. Biophysical Journal, 2011, 100:1149-1155.
doi: 10.1016/j.bpj.2010.12.3736
[28] 金鹏, 薛哲彬, 沈雷, 等. 可调温材料在服装中的应用及性能测试评价[J]. 针织工业, 2020 (4): 66-69.
JIN Peng, XUE Zhebin, SHEN Lei, et al. Application of thermo-regulated materials in clothing and performance testing evaluation[J]. Knitting Industries, 2020 (4): 66-69.
[29] 刘太奇, 师奇松, 褚金芳, 等. 一种新的硫酸钠基防护服用冷却相变材料的研制[J]. 新技术新工艺, 2005 (5): 57-59.
LIU Taiqi, SHI Qisong, CHU Jinfang, et al. Preparation of a novel sodium sulfate based change material for protective clothing[J]. New Technology & New Process, 2005 (5): 57-59.
[30] WU J W, HU R, ZENG S, et al. Flexible and robust biomaterial microstructured colored textiles for personal thermoregulation[J]. ACS Applied Materials & Interfaces, 2020, 12(16): 19015-19022.
[31] GAO T T, YANG Z, CHEN C J, et al. Three-dimensional printed thermal regulation textiles[J]. ACS Nano, 2017, 11(11): 11513-11520.
doi: 10.1021/acsnano.7b06295
[32] 李丽莉. 发热纤维的开发与应用[J]. 印染, 2015(21): 49-51.
LI Lili. Development and application of heat-generating fibers[J]. China Dyeing & Finishing, 2015 (21): 49-51.
[33] 曹徐苇, 范雪荣, 王强. 远红外纺织品发展综述[J]. 印染助剂, 2007, 24(7): 1-5.
CAO Xuwei, FAN Xuerong, WANG Qiang. Development of far-infrared textiles[J]. Textile Auxiliaries, 2007, 24(7): 1-5.
[34] ZHANG X, YU S J, XU B B, et al. Dynamic gating of infrared radiation in a textile[J]. Science, 2019, 363(6427): 619-623.
doi: 10.1126/science.aau1217
[35] HSU P C, LIU C, SONG A Y, et al. A dual-mode textile for human body radiative heating and cooling[J]. Science Advances, 2017, 3(11): e1700895.
doi: 10.1126/sciadv.1700895
[36] 刘沙, 陈维旺. 气凝胶隔热面料热防护性能测评[J]. 服装学报, 2021, 6(4): 291-298.
LIU Sha, CHEN Weiwang. Evaluation on thermal protective performance of aerogel fabrics[J]. Journal of Clothing Research, 2021, 6(4): 291-298.
[37] PREVOLNIK V, ZRIM P K, RIJAVEC T. Textile technological properties of laminated silica aerogel blanker[J]. Contemporary Materials, 2014, 1(5): 117-123.
doi: 10.5767/anurs.cmat
[38] SHAID A, FURGUSSON M, WANG L. Thermophysiological comfort analysis of aerogel nanoparticle incorporated fabric for fire fighter’s protective clothing [J]. Horizon Research Publishing Corporation, 2014, 2(2): 37-43.
[39] 郭文登, 李建华, 林旭. 数码印花设备分类及企业应用现状[J]. 纺织导报, 2020 (11): 22-29.
GUO Wendeng, LI Jianhua, LIN Xu. Classification of digital printing equipment and enterprise application status[J]. China Textile Leader, 2020 (11): 22-29.
[40] 李双忠. 双面数码喷墨印花工艺研究及应用[D]. 杭州: 浙江理工大学, 2020: 32-34.
LI Shuangzhong. Research on technology of double-sided digital ink-jet printing and its application [D]. Hangzhou: Zhejiang Sci-Tech University, 2020: 32-34.
[41] 李夏平, 李剑锋. Sedo-Treepoint全流程生产工艺管理系统应用[J]. 针织工业, 2012 (11): 46-49.
LI Xiaping, LI Jianfeng. Application of Sedo-Treepoint manage system for the whole process production[J]. Knitting Industries, 2012 (11): 46-49.
[42] 向忠, 蒋连彪, 游照林, 等. 染整智能制造研究进展[J]. 现代纺织技术, 2020, 28(4): 89-96.
XIANG Zhong, JIANG Lianbiao, YOU Zhaolin, et al. Advances in dyeing and finishing intelligent manufacturing[J]. Advanced Textile Technology, 2020, 28(4): 89-96.
[43] 贾艳萍, 姜成, 郭泽辉, 等. 印染废水深度处理及回用研究进展[J]. 纺织学报, 2017, 38(8): 172-180.
JIA Yanping, JIANG Cheng, GUO Zehui, et al. Research progress on deep treatment and recycling of dye wastewater[J]. Journal of Textile Research, 2017, 38(8): 172-180.
[44] LIANG C Z, SUN S P, LI F Y. Treatment of highly concentrated wastewater containing multiple synthetic dyes by a combined process of coagulation/flocculation and nanofiltration[J]. Journal of Membrane Science, 2014, 469(1): 306-315.
doi: 10.1016/j.memsci.2014.06.057
[45] 唐媛媛, 徐佳, 陈幸, 等. 正渗透脱盐过程的核心:正渗透膜[J]. 化学进展, 2015, 27(7): 818-829.
doi: 10.7536/PC150152
TANG Yuanyuan, XU Jia, CHEN Xing, et al. Core of forward osmosis for desalination:forward osmosis membrane[J]. Progress in Chemistry, 2015, 27(7): 818-829.
doi: 10.7536/PC150152
[46] 涂丛慧, 王晓琳. 电渗析法去除水体中无机盐的研究进展[J]. 水处理技术, 2009, 35(2): 14-18.
TU Conghui, WANG Xiaolin. Application of electrodialysis to reducing the salt in water[J]. Technology of Water Treatment, 2009, 35(2): 14-18.
[47] 邹君臣, 孙根行, 李敏. 含PVA退浆废水的处理技术[J]. 印染助剂, 2011, 28(10): 5-8.
ZOU Junchen, SUN Genxing, LI Min. Treatment technology of desizing wastewater containing polyvinyl alcohol[J]. Textile Auxiliaries, 2011, 28(10): 5-8.
[48] 梁佳钧, 朱小丽. 活性染料染色残液的重复利用[J]. 针织工业, 2015(4): 34-38.
LIANG Jiajun, ZHU Xiaoli. Repeated recycling of dyeing residual liquid of reactive dyes[J]. Knitting Industries, 2015 (4): 34-38.
[1] 夏治刚, 徐傲, 万由顺, 卫江, 张慧霞, 唐建东, 郑敏博, 郭沁生, 丁彩玲, 杨圣明, 徐卫林. 基于碳中和的人-机-料-法-环五位一体纺纱新技术解析[J]. 纺织学报, 2022, 43(01): 58-66.
[2] 刘新华, 刘海龙, 方寅春, 严鹏, 侯广开. 聚乙烯亚胺/植酸层层自组装阻燃涤/棉混纺织物制备及其性能[J]. 纺织学报, 2021, 42(11): 103-109.
[3] 王志辉, 徐羽菲, 郭豪玉, 张康磊, 庞星辰, 聂小林, 诸葛健, 魏取福. 光动力抗菌技术在纺织品上的应用研究进展[J]. 纺织学报, 2021, 42(11): 187-196.
[4] 张姣姣, 李雨洋, 刘云, 董朝红, 朱平. 棉/粘胶混纺织物的阻燃抗菌整理[J]. 纺织学报, 2021, 42(07): 31-38.
[5] 杜劲松, 余雅芸, 赵妮, 谢子昂, 费中华, 潘静姝. 不同类型服装企业智能制造能力成熟度评价模型[J]. 纺织学报, 2021, 42(05): 162-167.
[6] 杨宇晨, 覃小红, 俞建勇. 静电纺纳米纤维功能性纱线的研究进展[J]. 纺织学报, 2021, 42(01): 1-9.
[7] 李锋, 张坤, 原丽娜. 基于OPC UA的纺织智能染整车间信息模型研究与实现[J]. 纺织学报, 2020, 41(02): 149-154.
[8] 汪松松, 彭来湖, 戴宁, 沈春娅, 胡旭东. 基于工业互联网的针织机械互联互通结构研究[J]. 纺织学报, 2020, 41(01): 165-173.
[9] 周亚勤, 汪俊亮, 鲍劲松, 张洁. 纺织智能制造标准体系架构研究与实现[J]. 纺织学报, 2019, 40(04): 145-151.
[10] 王晓锋, 朱晨, 袁阴. 基于供应链的纺织行业节能减排决策[J]. 纺织学报, 2019, 40(01): 166-174.
[11] 蒋高明 高哲 高梓越. 针织智能制造研究进展[J]. 纺织学报, 2017, 38(10): 178-183.
[12] 梅顺齐 胡贵攀 王建伟 陈振 徐巧. 纺织智能制造及其装备若干关键技术的探讨[J]. 纺织学报, 2017, 38(10): 166-171.
[13] 张洁 吕佑龙 汪俊亮 王海超 . 大数据驱动的纺织智能制造平台架构[J]. 纺织学报, 2017, 38(10): 159-165.
[14] 胡旭东 沈春娅 彭来湖 汝欣. 针织装备的智能制造及互联互通标准验证[J]. 纺织学报, 2017, 38(10): 172-177.
[15] 岳仕芳. 棉/粘弹力交织物的生物酶前处理工艺[J]. 纺织学报, 2016, 37(3): 92-97.
Viewed
Full text


Abstract

Cited

  Shared   
  Discussed   
[1] 曹建达;顾小军;殷联甫. 用BP神经网络预测棉织物的手感[J]. 纺织学报, 2003, 24(06): 35 -36 .
[2] 【作者单位】:中国纺织工程学会秘书处【分类号】:+【DOI】:cnki:ISSN:0-.0.00-0-0【正文快照】:  香港桑麻基金会设立的“桑麻纺织科技奖” 0 0 年提名推荐工作;在纺织方面院士;专家和有关单位的大力支持下;收到了 个单位 (人 )推荐的 位候选人的. 2003年桑麻纺织科技奖获奖名单[J]. 纺织学报, 2003, 24(06): 107 .
[3] 【分类号】:Z【DOI】:cnki:ISSN:0-.0.00-0-0【正文快照】:  一;纺 纱模糊控制纺纱张力的研究周光茜等 ( - )………………原棉含杂与除杂效果评价方法的研究于永玲 ( - )……网络长丝纱免浆免捻功能的结构表征方法李栋高等 ( - )……………. 2003年纺织学报第二十四卷总目次[J]. 纺织学报, 2003, 24(06): 109 -620 .
[4] 邓炳耀;晏雄. 热压对芳纶非织造布机械性能的影响[J]. 纺织学报, 2004, 25(02): 103 -104 .
[5] 张治国;尹红;陈志荣. 纤维前处理用精练助剂研究进展[J]. 纺织学报, 2004, 25(02): 105 -107 .
[6] 秦元春. 纺织工业发展方向初探[J]. 纺织学报, 2004, 25(02): 108 -110 .
[7] 高伟江;魏文斌. 纺织业发展的战略取向——从比较优势到竞争优势[J]. 纺织学报, 2004, 25(02): 111 -113 .
[8] 姚玉元;陈文兴;张利;潘勇. 催化氧化型消臭蚕丝纤维的研究[J]. 纺织学报, 2004, 25(03): 7 -8 .
[9] 潘旭伟;顾新建;韩永生;程耀东. 面向协同的服装供应链快速反应机制研究[J]. 纺织学报, 2006, 27(1): 54 -57 .
[10] 黄小华;沈鼎权. 菠萝叶纤维脱胶工艺及染色性能[J]. 纺织学报, 2006, 27(1): 75 -77 .