纺织学报 ›› 2023, Vol. 44 ›› Issue (03): 195-200.doi: 10.13475/j.fzxb.20211204306

• 服装工程 • 上一篇    下一篇

基于跑步动作肌纤维主动力仿真的下肢皮肤形变表征

张龙琳1,2(), 石茜1,3, 张敏1,3, 周莉1,3, 李新荣4   

  1. 1.西南大学 蚕桑纺织与生物质科学学院, 重庆 400715
    2.纺织服装产业互联网研究院, 北京 100036
    3.重庆市生物质纤维材料与现代纺织工程技术研究中心, 重庆 400715
    4.天津工业大学 机械工程学院, 天津 300387
  • 收稿日期:2021-12-20 修回日期:2022-10-30 出版日期:2023-03-15 发布日期:2023-04-14
  • 作者简介:张龙琳(1976—),男,副教授。主要研究方向为服装基础理论研究与智能应用。E-mail:myfashionworks@163.com
  • 基金资助:
    国家重点研发计划项目(2018YFB1308801);重庆市教委科学技术项目(KJQN202100219);中央高校基本科研业务费专项资金资助项目(SWU221002)

Characterization of lower extremity skin deformations based on biomechanical simulation of running motion

ZHANG Longlin1,2(), SHI Xi1,3, ZHANG Min1,3, ZHOU Li1,3, LI Xinrong4   

  1. 1. College of Sericulture Textile and Biomass Science, Southwest University, Chongqing 400715, China
    2. Research Institute of Textile and Fashion Industry Internet, Beijing 100036, China
    3. Chongqing Engineering Technology Research Center of Biomass Fiber and Modern Textile, Chongqing 400715, China
    4. School of Mechanical Engineering, Tiangong University, Tianjin 300387, China
  • Received:2021-12-20 Revised:2022-10-30 Published:2023-03-15 Online:2023-04-14

摘要:

为探究跑步运动时女性下肢肌肉、皮肤形变与服装运动功能性之间的关系,通过生物力学仿真系统对周期跑步运动人体下肢肌肉的肌纤维主动力进行分析,选取肌纤维主动力均值明显的肌肉,将其峰值所在的时间帧对应的动作作为关键帧动作,并使用手持式三维扫描仪对关键帧动作的下肢皮肤进行扫描;综合左右半身的皮肤形变情况,分析不同动作的下肢皮肤形变数据差异性,同时对比动静态人体模型展开的细分曲面。研究发现:臀围到中腿围区域的体后侧、臀围至大腿围区域的体前侧的变化幅度最大,膝关节附近区域变化幅度较大,其它区域变化不明显。本文研究可为相关裤装结构设计与研究提供参考。

关键词: 跑步动作, 生物力学仿真, 肌纤维主动力, 皮肤形变, 模型细分曲面, 运动服装

Abstract:

Objective Skin deformation refers to the range of skin change measured when key body parts are in motion, including the value of skin surface change rate and the difference between each movement change rates. Obtaining the rules of skin deformation of different parts, which is in the subdivision curved surface of the static and dynamic model of running lower limbs, is to solve the design requirements of the clothing pattern design of running tight functional clothing. A reference is provided for the running pants, and also for design and improvement of related pants pattern.

Methods A biomechanical simulation system was adopted to analyze the muscle fiber dynamics of the lower limb muscles during periodic running, and a hand-held 3-D scanner was adopted to scan the skin of the lower limb for selected key frame movements. After analyzing the difference of skin deformation data and comparing with the static and dynamic human model subdivision surface, a more scientific and perfect scheme for acquiring the whole skin deformation was obtained.

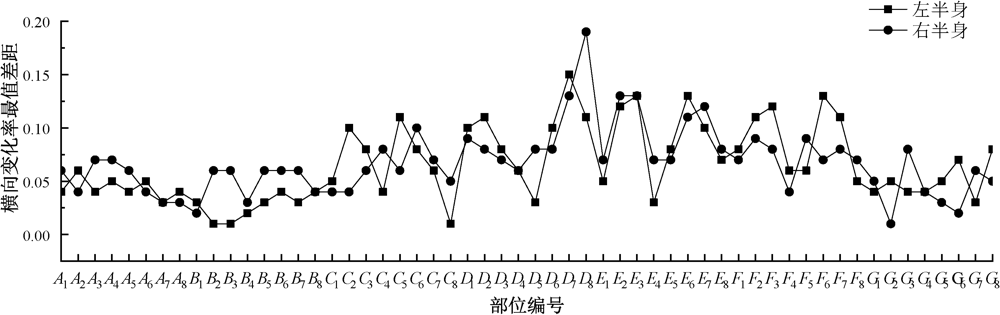
Results The biomechanical simulation system was adopeed to analyze the muscle fiber active force of human lower limb muscles during periodic running (Tab.1). According to the systematic sampling method, 61 samples of muscle initiative data in one running cycle were selected and processed, and the muscle fiber initiative curve was obtain (Fig.1). The muscle with obvious mean of muscle fiber active force was selected, and the action corresponding to the time frame of its peak value was taken as the key frame action (Fig.2). The hand-held 3-D scanner was adopeed to scan the skin of the lower limbs in key frame movements. The skin deformation of the left and right sides of the body was taken into account to analyze the differences of the skin deformation data of the lower limbs in different movements. The transverse change rate of skin surface deformation was analyzed (Fig.4), and the longitudinal change rate of skin surface deformation was analyzed (Fig.5). Meanwhile, the dynamic and static subdivision surfaces of the human model were compared, and it was found that the changes of the body back from the hip circumference to the middle leg circumference area and the body front from the hip circumference to the thigh circumference area are the largest, and the changes of the area around the knee joint are the largest, too. The other areas show no significant changes (Fig.6).

Conclusion The dynamic and static human models are expanded and compared, which enables quick and effective observations of skin deformation of various parts of the human body. This method can be applied for multiple purposes. The rule of skin deformation in static and dynamic model subdivision surface contrast map is consistent with that of skin deformation calculated after measuring the area or length. At the same time, the rules of skin deformation obtained by the two methods can be verified with each other, which make the scheme of acquiring the whole skin deformation more scientific and perfect.

Key words: running motion, biomechanical simulation, active fiber-force, skin deformation, subdivision surface of model, sports garment

中图分类号: 

  • TS941.17

表1

人体下肢主要肌肉的肌纤维主动力情况"

肌肉名称 个案数 肌纤维主动力/N
最小值 最大值 平均值 标准差
比目鱼肌 4 261 -232.62 6 142.03 645.73 1 299.85
髂肌 4 261 -133.01 2 578.78 472.41 743.15
股外侧肌 4 261 0.00 2 826.15 448.83 690.53
半膜肌 4 261 0.00 1 639.88 396.85 566.67
腹外斜肌 4 261 20.84 640.43 393.73 175.59
股内侧肌 4 261 0.00 2 115.03 305.69 502.10
腰大肌 4 261 -153.89 2 017.17 299.26 466.76
股直肌 4 261 -34.79 2 100.3 294.7 458.99
腹内斜肌 4 261 32.04 536.98 263.85 113.31
胫骨后肌 4 261 -72.51 2 658.26 263.09 575.89
半腱肌 4 261 0.00 724.33 239.81 258.76
腓肠肌 4 261 0.00 1 793.4 232.96 488.94
臀中肌 4 261 -39.12 1 160.87 170.53 275.13

图1

一个跑步周期内肌纤维主动力变化曲线"

图2

跑步运动关键帧"

图3

右半身横纵线及部分肌肉分布"

图4

左右半身横向皮肤表面形变率的最值差值"

图5

左右半身纵向皮肤表面形变率的最值差值"

图6

静动态人体下肢模型曲面展开对比图"

[1] 于晓坤, 关娟娟, 罗洋, 等. 老年人髋关节保护服装研究现状和发展趋势[J]. 丝绸, 2020, 57(3): 57-61.
YU Xiaokun, GUAN Juanjuan, LUO Yang, et al. Research progress and development trend of hip joint protection clothing for the elder population[J]. Journal of Silk, 2020, 57(3): 57-61.
[2] 毛睿成, 郭迎福, 谌玉红, 等. 不同救援防护装备穿戴下的人体生物力学响应与主观疲劳感实验研究[J]. 人类工效学, 2018, 24(6): 1-5.
MAO Ruicheng, GUO Yingfu, CHEN Yuhong, et al. Experimental study on biomechanical response and subjective fatigue symptoms of human body wearing different rescue protective equipments[J]. Chinese Journal of Ergonomics, 2018, 24(6): 1-5.
[3] 赵西西. 马拉松跑步状态下肢骨骼肌肉系统的防护研究与产品开发[D]. 上海: 上海工程技术大学, 2016: 1-9.
ZHAO Xixi. Marathon running state of lower limbs of the musculoskeletal system protection research and product development[D]. Shanghai: Shanghai University of Engineering Science, 2016: 1-9.
[4] 严雅洁. 高尔夫全挥杆动作人体躯干皮肤形变研究[D]. 北京: 北京服装学院, 2016: 11-18.
YAN Yajie. Study on the deformation of human torso skin in golf full swing[D]. Beijing: Beijing Institute of Fashion Technology, 2016: 11-18.
[5] 骆顺华, 张健. 基于骑行动作骨骼肌仿真的女性下肢皮肤形变表征[J]. 纺织学报, 2015, 36(12): 120-124.
LUO Shunhua, ZHANG Jian. Characterization of skin deformation of female lower limb based on skeletal muscle simulation for cycling motion[J]. Journal of Textile Research, 2015, 36(12): 120-124.
[6] 冯洋, 王永进. 基于足球运动的男子下肢体表皮肤形变的研究[J]. 北京服装学院学报(自然科学版), 2017, 37(2): 25-32.
FENG Yang, WANG Yongjin. Study on skin deformation of man's lower limb during football[J]. Journal of Beijing Institute of Clothing Technolo-gy (Natural Science Edition), 2017, 37(2): 25-32.
[7] 罗兰, 王建萍. 基于人体动作捕捉的骑行运动腿部皮肤形变研究[J]. 浙江纺织服装职业技术学院学报, 2014, 13(4): 39-43.
LUO Lan, WANG Jianping. Skin deformation of legs in cycling based on human motion capture (HMC)[J]. Journal of Zhejiang Fashion Institute of Technology, 2014, 13(4): 39-43.
[8] 李秀青, 刘需, 赵欲晓. 骑行运动中男子下肢体表尺寸变化规律[J]. 纺织学报, 2017, 38(8): 120-126.
LI Xiuqing, LIU Xu, ZHAO Yuxiao. Study on size changes of man’s lower limb body in riding motion[J]. Journal of Textile Research, 2017, 38(8): 120-126.
[9] DELP S L, ANDERSON F C, ARNOLD A S, et al. OpenSim: open-source software to create and analyze dynamic simulations of movement[J]. IEEE Transactions on Biomedical Engineering, 2007, 54(11): 1940-1950.
doi: 10.1109/TBME.2007.901024 pmid: 18018689
[10] 孟凡冬. 基于OpenSim的上肢康复训练肌肉力特性分析[D]. 哈尔滨: 哈尔滨工程大学, 2017: 35-54.
MENG Fandong. Characteristics analysis of upper limb rehabilitation training muscle strength based on OpenSim[D]. Harbin: Harbin Engineering University, 2017: 35-54.
[11] HAMNER S R, SETH A, DELP S L. Muscle contributions to propulsion and support during running[J]. Journal of Biomechanics, 2010, 43(14): 2709-2716.
doi: 10.1016/j.jbiomech.2010.06.025 pmid: 20691972
[1] 张亚琦, 李小辉. 运动时关节部位皮肤形变量预测方法[J]. 纺织学报, 2022, 43(06): 140-144.
[2] 王伟荣, 丛洪莲. 基于下肢运动特征的纬编无缝瑜伽裤结构设计[J]. 纺织学报, 2021, 42(06): 140-145.
[3] 孙岑文捷, 倪军, 张昭华, 董婉婷. 针织运动服的通风设计与热湿舒适性评价[J]. 纺织学报, 2020, 41(11): 122-127.
[4] 刘海桑, 董智佳, 张琦, 夏风林, 丛洪莲. 经编全成形运动套装的尺寸预测与建模[J]. 纺织学报, 2019, 40(02): 76-81.
[5] 程宁波 吴志明 徐存东. 基于运动捕捉的骑行运动中人体皮肤形变分析[J]. 纺织学报, 2018, 39(09): 120-126.
[6] 骆顺华 张健. 基于骑行动作骨骼肌仿真的女性下肢皮肤形变表征[J]. 纺织学报, 2015, 36(12): 120-124.
[7] 李敏;张进兰;程春娇. 运动服装品牌服务质量对顾客忠诚的影响[J]. 纺织学报, 2008, 29(2): 119-123.
Viewed
Full text


Abstract

Cited

  Shared   
  Discussed   
No Suggested Reading articles found!