纺织学报 ›› 2020, Vol. 41 ›› Issue (02): 33-38.doi: 10.13475/j.fzxb.20181107206

• 纤维材料 • 上一篇    下一篇

防透明聚酯和消光聚酰胺6纤维中TiO2微粒分布的表征方法

邢丹丹1, 王妮1(), 刘虎易2, 甘学辉3, 施楣梧4   

  1. 1.东华大学 纺织学院, 上海 201620
    2.苏州龙杰特种纤维股份有限公司, 江苏 张家港 215600
    3.东华大学 机械学院, 上海 201620
    4.军事科学院 军需工程技术研究所, 北京 100082
  • 收稿日期:2018-11-29 修回日期:2019-11-27 出版日期:2020-02-15 发布日期:2020-02-21
  • 通讯作者: 王妮
  • 作者简介:邢丹丹(1992—),女,硕士生。主要研究方向为防透明聚酯纤维开发及产品设计。
  • 基金资助:
    国家重点研发计划项目(2016YFB0302703);国家自然科学基金项目(51103020)

Characterization on distribution of TiO2 particles in opaque polyester and dull nylon filaments

XING Dandan1, WANG Ni1(), LIU Huyi2, GAN Xuehui3, SHI Meiwu4   

  1. 1. College of Textiles, Donghua University, Shanghai 201620, China
    2. Suzhou Longjie Special Fiber Co., Ltd.,Zhangjiagang, Jiangsu 215600, China
    3. College of Mechanical Engineering, Donghua University, Shanghai 201620,China
    4. Institute of Military Engineering, Academy of Military Sciences, Beijing 100082, China
  • Received:2018-11-29 Revised:2019-11-27 Online:2020-02-15 Published:2020-02-21
  • Contact: WANG Ni

摘要:

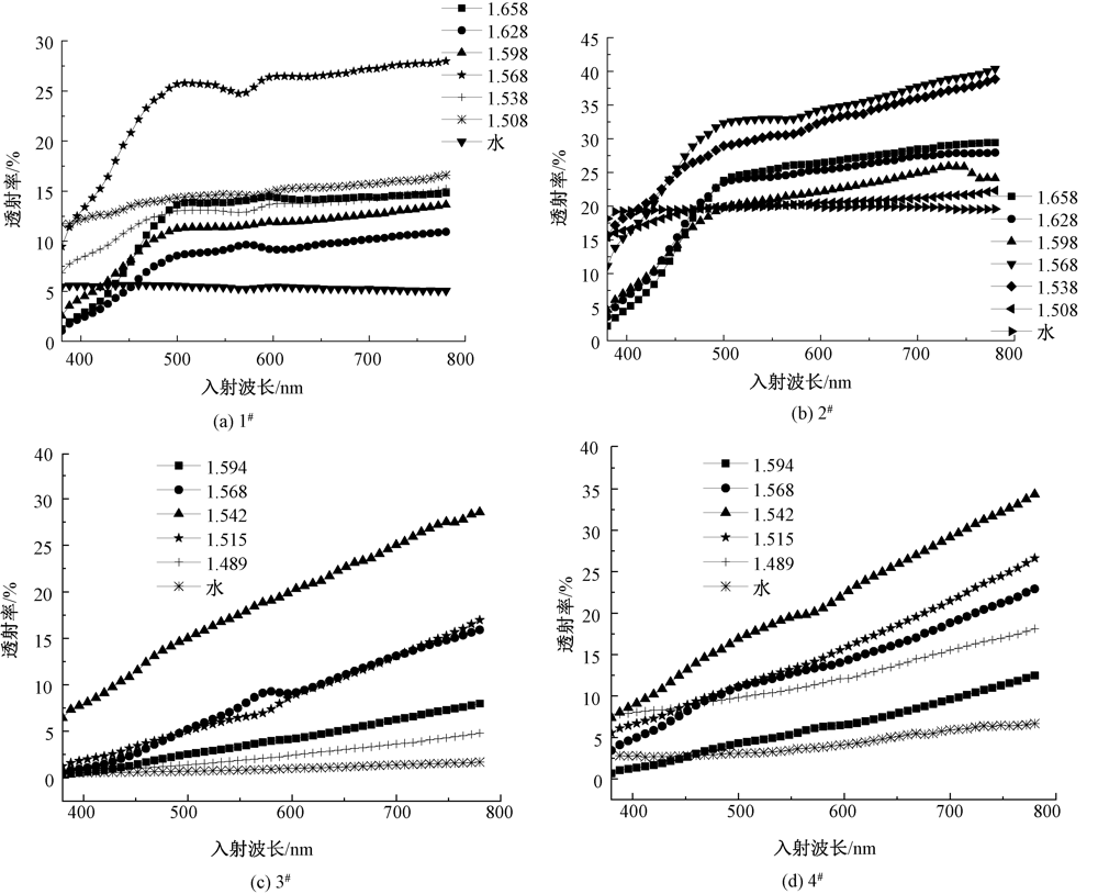
针对共混法制备的功能纤维中微粒分布缺乏相应检测手段的现状,提出一种通过配制同折射率溶液使纤维透明化来表征其中微粒分布的方法,并对防透明聚酯纤维以及消光聚酰胺6纤维中TiO2的分布进行测试,同时借助扫描电子显微镜对纤维横截面、纵向表面的TiO2分布进行观察,纳米CT成像技术对纤维进行三维图重建。结果表明:扫描电子显微镜法仅能够显示小范围内TiO2的分布;折射率法在表征纤维中共混微粒分布上具有一定的可行性,三维重建后的纳米CT成像结果可统计出纤维中共混微粒及其粒径分布。实验结果表明,母粒纺比切片纺更易造成防透明聚酯纤维中TiO2的团聚。

关键词: 纳米CT成像, 折射率法, 微粒分布, 防透明聚酯, 消光聚酰胺

Abstract:

In view of the current lack of corresponding characterization methods for the distribution of particles in functional fibers prepared by blending, a new refractive index method for making transparent fibers by preparing a solution with the same refractive index as the fiber was proposed. This new method was used to measure TiO2 distribution in opaque polyester fibers and dull polyamide fibers. In this research, scanning electron microscopy was used to characterize the distribution of the TiO2 particles in both the cross-sectional and the longitudinal surface of the fiber, while the three-dimensional imaging of nano-C technology was used for 3-D reconstruction of fibers. The results show that compared with the scanning electron microscopy that can only show the distribution of TiO2 in a small range, the refractive index method has certain feasibility in characterizing the distribution of blended particles in fibers. The results of nano-CT imaging after 3-D reconstruction can be used to count the blended particles and the particle size distributions. The experimental results of the three testing methods show that the agglomeration of inorganic particles in the fiber is more easily caused by master batch spinning than slicing spinning.

Key words: nano-CT technique, refractive index method, particle distribution, opaque polyester, dull nylon filament

中图分类号: 

  • TS176

表1

混合溶液的折射率"

纤维 ɑ-溴代萘体积/mL 石蜡油体积/mL 混合溶液折射率
8.00 0 1.658
6.74 1.26 1.628
聚酯 5.47 2.53 1.598
4.21 3.79 1.568
2.95 5.05 1.538
1.68 6.32 1.508
5.30 2.70 1.594
4.21 3.79 1.568
聚酯酰6 3.12 4.88 1.542
2.00 6.00 1.515
0.88 7.12 1.489

图1

防透明聚酯与消光聚酰胺6纤维的横截面和纵向表面扫描电镜照片"

图2

防透明聚酯纤维的断层扫描照片和三维重构图"

图3

消光聚酰胺6纤维的断层扫描照片和三维重构图"

图4

防透明聚酯和消光聚酰胺6纤维中TiO2颗粒的粒径分布统计图"

图5

防透明聚酯和消光聚酰胺6纤维在溶液中的光透射率"

图6

防透明聚酯纤维的光学显微镜照片(×40)"

图7

消光聚酰胺6的光学显微镜图像(×20)"

[1] 刘海明, 王锐, 张大省. PET/无机纳米粒子复合物的制备及性能[J]. 合成纤维工业, 2006,29(3):15-17.
LIU Haiming, WANG Rui, ZHANG Dasheng. Preparation and properties of PET/inorganic nano-particle composites[J]. China Synthetic Fiber Industry, 2006,29(3):15-17.
[2] 刘少轩, 洪友丽, 高云龙, 等. 纳米CT成像表征锦纶6 中TiO2颗粒分布状况[J]. 高等学校化学学报, 2013,34(2):269-271.
LIU Shaoxuan, HONG Youli, GAO Yunlong, et al. Characterization of the dispersion of TiO2 particles in fine denier polyamide 6 monofilament via nano-CT technique[J]. Chemical Journal of Chinese Universities, 2013,34(2):269-271.
[3] 姜兆辉, 金剑, 肖长发, 等. 成纤高聚物中无机粒子分散性表征方法及理论研究[J]. 纺织学报, 2015,36(6):155-161.
JIANG Zhaohui, JIN Jian, XIAO Changfa, et al. Study on characterization methods and theories of inorganic particles dispersion in fiber-forming polymers[J]. Journal of Textile Research, 2015,36(6):155-161.
[4] WU D, GAO D, MAYO S C, et al. X-ray ultramicroscopy: a new method for observation and measurement of filler dispersion in thermoplastic composites[J]. Composites Science & Technology, 2008,68(1):178-185.
[5] 施楣梧, 张燕. 视觉遮蔽性能良好的合成纤维及其针织物[J]. 针织工业, 2010(10):6-8.
SHI Meiwu, ZHANG Yan. Study of the visual masking synthetic fiber and its knitted fabric[J]. Knitting Industries, 2010(10):6-8.
[6] JIANG Zhaohui, MA Pibo, GUO Zengge, et al. Effect of coupling agent on structure and properties of micro-nano composite fibers based on PET[J]. Journal of Applied Polymer Science, 2016,133(34):43846-43853.
[7] TSCHESCHEL A, LACAYO J, STOYAN D. Statistical characterization of TEM images of silica-filled rubber[J]. Journal of Microscopy, 2005,217(1):75-82.
[8] KRUMBHOLZ N, HOCHREIN T, VIEWEG N, et al. Degree of dispersion of polymeric compounds determined with terahertz time-domain spectroscopy[J]. Polymer Engineering & Science, 2011,51(1):109-116.
[9] 何伟. 无机粒子填充聚合物复合材料熔融态超声测量与表征[D]. 广州:华南理工大学, 2013: 15-20.
HE Wei. Ultrasonic measurement and characterization of molten polymer composite[D]. Guangzhou:South China University of Technology, 2013: 15-20.
[10] 于伟东. 纺织物理[M]. 上海:东华大学出版社, 2009: 3-15.
YU Weidong. Textile physics[M]. Shanghai:Donghua University Press, 2009: 3-15.
[11] YEN K C. The arrangement of fibres in fibro yarns[J]. Journal of the Textile Institute Transactions, 1952,43(2):60-66.
[12] GUO Ying, TAO Xiaoming, XU Bugao, et al. Structural characteristics of low torque and ring spun yarns[J]. Textile Research Journal, 2011,81(8):778-790.
[13] 王妮, 曹秀明, 胡京平, 等. 防透明纤维的开发及其在毛纺上的应用[J]. 毛纺科技, 2013,41(1):1-6.
WANG Ni, CAO Xiuming, HU Jingping, et al. Development of opaque fibers and its application in wool fabrics[J]. Wool Textile Journal, 2013,41(1):1-6.
[14] 张丽霞, 齐鲁. 纳米粒子在聚合物中的分散研究进展[J]. 合成纤维, 2008,37(8):11-14.
ZHANG Lixia, QI Lu. The research progress on the dispersion of nano particles in the polymer[J]. Synthetic Fiber in China, 2008,37(8):11-14.
[15] 姚穆. 纺织材料学[M].4版. 北京:中国纺织出版社, 2015: 2-30.
YAO Mu. Textile materials[M]. 4th edition. Beijing:China Textile & Apparel Press, 2015: 2-30.
[16] 梁知挺. 角度受限下纳米CT图像处理及三维重构算法研究[D]. 合肥:中国科学技术大学, 2016: 15-20.
LIANG Zhiting. Study on the image processing and 3d reconstruction algorithm for limited-angle nano-CT[D]. Hefei: University of Science and Technology of China, 2016: 15-20.
[1] 沈岳, 蒋高明, 刘其霞. 梯度结构活性碳纤维毡吸声性能分析[J]. 纺织学报, 2020, 41(10): 29-33.
[2] 孙焕惟, 张恒, 甄琪, 朱斐超, 钱晓明, 崔景强, 张一风. 丙烯基纳微米弹性过滤材料的熔喷成型及其过滤性能[J]. 纺织学报, 2020, 41(10): 20-28.
[3] 张凌云, 钱晓明, 邹驰, 邹志伟. SiO2气凝胶/聚酯-聚乙烯双组分纤维复合保暖材料的制备及其性能[J]. 纺织学报, 2020, 41(08): 22-26.
[4] 周惠林, 杨卫民, 李好义. 医用口罩过滤材料的研究进展[J]. 纺织学报, 2020, 41(08): 158-165.
[5] 万雨彩, 刘迎, 王旭, 易志兵, 刘轲, 王栋. 聚乙烯醇-乙烯共聚物纳米纤维增强聚丙烯微米纤维复合空气过滤材料的结构与性能[J]. 纺织学报, 2020, 41(04): 15-20.
[6] 张星, 刘金鑫, 张海峰, 王玉晓, 靳向煜. 防护口罩用非织造滤料的制备技术与研究现状[J]. 纺织学报, 2020, 41(03): 168-174.
[7] 甄琪, 张恒, 朱斐超, 史建宏, 刘雍, 张一风. 聚丙烯/聚酯双组分微纳米纤维熔喷非织造材料制备及其性能[J]. 纺织学报, 2020, 41(02): 26-32.
[8] 李思捷, 张彩丹. 聚天冬氨酸基纤维水凝胶的制备及其释药性能[J]. 纺织学报, 2020, 41(02): 20-25.
[9] 周颖, 王闯, 朱佳颖, 黄林汐, 杨丽丽, 余厚咏, 姚菊明, 金万慧. 非织造布表面形貌可控氧化锌纳米粒子的构筑[J]. 纺织学报, 2019, 40(09): 35-41.
[10] 邹志伟, 钱晓明, 钱幺, 赵宝宝, 朵永超. 油剂去除对针刺非织造过滤材料驻极性能的影响[J]. 纺织学报, 2019, 40(06): 79-84.
[11] 陈静静, 王必其, 王雪琴. 针刺复合羊毛面料的设计及其性能[J]. 纺织学报, 2019, 40(03): 49-53.
[12] 陈悦, 赵永欢, 褚朱丹, 庄志山, 邱琳琳, 杜平凡. 基于碳纤维及其织物的柔性锂电池电极研究进展[J]. 纺织学报, 2019, 40(02): 173-180.
[13] 张恒 甄琪 王俊南 钱晓明 刘永胜. 梯度结构耐高温纤维过滤材料的结构与性能[J]. 纺织学报, 2016, 37(05): 17-22.
[14] 杜兆芳 程贤生 黄芙蓉 付正婷. 汽车内饰材料拒水拒油整理及其性能表征[J]. 纺织学报, 2014, 35(11): 118-0.
[15] 杨娟亚 余向琪 毛凤鸣 陈俊良 胡国樑. 聚丙烯纺粘/针刺型模板布成型工艺与性能[J]. 纺织学报, 2014, 35(7): 67-0.
Viewed
Full text


Abstract

Cited

  Shared   
  Discussed   
No Suggested Reading articles found!