纺织学报 ›› 2020, Vol. 41 ›› Issue (09): 88-94.doi: 10.13475/j.fzxb.20190703607

• 染整与化学品 • 上一篇    下一篇

热敏变色微胶囊的变色色谱拓展及其应用

王亮1,2, 马晓光1,2(), 李俊君1, 杨州1   

  1. 1.天津工业大学 纺织科学与工程学院, 天津 300387
    2.先进纺织复合材料教育部重点实验室, 天津 300387
  • 收稿日期:2019-07-10 修回日期:2020-05-07 出版日期:2020-09-15 发布日期:2020-09-25
  • 通讯作者: 马晓光
  • 作者简介:王亮(1996—),男,硕士生。主要研究方向为功能材料及其纺织品。
  • 基金资助:
    天津市科技支撑计划重点项目(11ZCKFSF01900)

Development and application of color change chromatography with thermochromic microcapsules

WANG Liang1,2, MA Xiaoguang1,2(), LI Junjun1, YANG Zhou1   

  1. 1. School of Textile Science and Engineering, Tiangong University, Tianjin 300387, China
    2. Key Laboratory of Advanced Textile Composites, Ministry of Education, Tianjin 300387, China
  • Received:2019-07-10 Revised:2020-05-07 Online:2020-09-15 Published:2020-09-25
  • Contact: MA Xiaoguang

摘要:

为解决热敏变色材料色谱范围窄、颜色变化单一的问题,以使用原位聚合法得到的热敏变色微胶囊为基础模板,将其分别与制备的红、黄色微胶囊进行拼色实验。通过减法混色原理,不同颜色的微胶囊混合后会呈现出另一种颜色,达到了色谱拓展的目的。借助扫描电子显微镜及红外光谱仪表征了微胶囊的形貌和结构,测试了拼色样品的色差、反射率、K/S值。结果表明:成功制备出了以甲醛-三聚氰胺树脂为壁材、三芳甲烷类基础变色体系为芯材的热敏变色微胶囊;随着外界温度的变化,微胶囊混合体系的颜色也发生显著变化,实现了在不同色调之间的可逆变化,拓展了热敏变色微胶囊的变色色谱范围。

关键词: 热敏变色, 微胶囊, 变色范围, 色谱拓展, 拼色

Abstract:

In order to address the problems of narrow chromatographic range and limited color of thermosensitive materials, the thermosensitive microcapsules obtained by in-situ polymerization method were used as the basic template for research. They were compared with the prepared red and yellow microcapsules for color-matching experiments. Through the principle of subtractive color mixing, microcapsules of different colors will present another color, fulfilling the purpose of chromatographic expansion. Electron microscopy and infrared spectroscopy results showed that thermosensitive color-changing microcapsules using formaldehyde-melamine resin as the wall material and triarylmethane-based basic color-changing system as the core material were a success. The color difference, reflectance, and K/S values of the color-matched samples were tested, and the results showed that the color of the microcapsule hybrid system also changed significantly with the change of the external temperature, achieving a reversible change between different shades and expanding

Key words: thermochromic, microcapsule, color change interval, chromatographic expansion, color matching

中图分类号: 

  • TS190.8

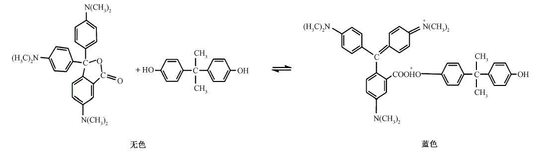
图1

基础变色体系示意图"

图2

变色微胶囊扫描电镜照片"

图3

微胶囊粒径分布图"

图4

变色微胶囊及其芯材物质与壁材物质的红外光谱图"

图5

红色微胶囊与变色微胶囊拼色反射率曲线"

表1

红色微胶囊与变色微胶囊拼色色差"

红色与变色微
胶囊质量比
ΔE ΔL Δa Δb ΔC ΔH
1:4 31.19 3.51 -18.14 -25.13 8.73 29.73
4:1 8.55 0.10 -5.48 -6.57 -1.97 8.32

图6

红色微胶囊与变色微胶囊拼色K/S值曲线"

图7

黄色微胶囊与变色微胶囊拼色反射率曲线"

表2

黄色微胶囊与变色微胶囊拼色色差"

黄色与变色微
胶囊质量比
ΔE ΔL Δa Δb ΔC ΔH
1:4 22.50 10.78 1.13 -19.72 9.34 17.40
4:1 24.36 22.34 4.61 -8.57 -9.72 0.46

图8

黄色微胶囊与变微胶囊拼色K/S值曲线"

图9

变色微胶囊整理到不同基布反射率曲线"

表3

变色微胶囊整理到不同基布的色差"

基布颜色 ΔE ΔL Δa Δb ΔC ΔH
白色基布 54.32 -24.9 6.05 -47.90 48.27 0.25
深黄基布 33.81 -1.57 -7.82 -32.86 -2.21 33.70

图10

变色微胶囊整理到不同基布K/S值曲线"

[1] TOZUM M S, AKSOY S A, ALKAN C. Microencapsulation of three-component thermochromic system for reversible color change and thermal energy storage[J]. Fibers and Polymers, 2018, 19(3):660-669.
doi: 10.1007/s12221-018-7801-3
[2] 尚咪, 杨玲, 刘丹飞, 等. 智能防伪材料研究进展[J]. 功能材料, 2019, 50(4):4056-4061.
SHANG Mi, YANG Ling, LIU Danfei, et al. Research progress of intelligent anti-counterfeiting materials[J]. Journal of Functional Materials, 2019, 50(4):4056-4061.
[3] 李薇, 何源. 微胶囊技术在智能纺织品上的应用[J]. 上海纺织科技, 2019, 47(12):1-3.
LI Wei, HE Yuan. Application of microcapsule technology in smart textiles[J]. Shanghai Textile Science & Technology, 2019, 47(12):1-3.
[4] 杨建, 张国庆, 刘国金, 等. 复合相变微胶囊制备及其在棉织物上的应用[J]. 纺织学报, 2019, 40(10):127-133.
YANG Jian, ZHANG Guoqing, LIU Guojin, et al. Preparation of composite phase change microcapsules and its application on cotton fabrics[J]. Journal of Textile Research, 2019, 40(10):127-133.
[5] 靳宏, 刘怡宁, 陈思, 等. 相变Lyocell纤维制备中微胶囊相变材料与溶剂的相互作用[J]. 纺织学报, 2018, 39(6):1-5.
JIN Hong, LIU Yining, CHEN Si, et al. Interaction of microencapsulated phase change materials and solvents in the preparation of phase change lyocell fibers[J]. Journal of Textile Research, 2018, 39(6):1-5.
doi: 10.1177/004051756903900101
[6] CHENG Y L, ZHANG X Q, FANG C Q, et al. Discoloration mechanism, structures and recent applications of thermochromic materials via different methods: a review[J]. Journal of Materials Science & Technology, 2018, 34(12):2225-2234.
[7] 郝鸿飞, 刘晓艳. 胆固醇液晶热致变色微胶囊的制备及其性能[J]. 纺织学报, 2017, 38(6):75-79.
HAO Hongfei, LIU Xiaoyan. Preparation and properties of cholesterol liquid crystal thermochromic microcap-sules[J]. Journal of Textile Research, 2017, 38(6):75-79.
[8] YI S X, SUN S, DENG Y M, et al. Preparation of composite thermochromic and phase-change materials by the sol gel method and its application in textiles[J]. Journal of The Textile Institute, 2015, 106(10):1071-1077.
doi: 10.1080/00405000.2014.965501
[9] HU L, LYU S Y, FU F, et al. Preparation and properties of multifunctional thermochromic energy-storage wood materials[J]. Journal of Materials Science, 2015, 51(5):2716-2726.
doi: 10.1007/s10853-015-9585-9
[10] WANG H, LUO J, YANG Y Y, et al. Fabrication and characterization of microcapsulated phase change materials with an additional function of thermochromic performance[J]. Solar Energy, 2016, 139:591-598.
doi: 10.1016/j.solener.2016.10.011
[11] 孟媛, 王进美. 微胶囊技术在纺织上的研究进展[J]. 合成纤维, 2019, 48(3):36-38.
MENG Yuan, WANG Jinmei. Research progress of microcapsule technology in textile[J]. Synthetic Fiber in China, 2019, 48(3):36-38.
[12] GUAN Y, ZHANG L P, WANG D, et al. Preparation of thermochromic liquid crystal microcapsules for intelligent functional fiber[J]. Materials & Design, 2018, 147:28-34.
[13] YANG H Y, WANG Y Z, YU Q Q, et al. Composite phase change materials with good reversible thermochromic ability in delignified wood substrate for thermal energy storage[J]. Applied Energy, 2018, 212:455-464.
doi: 10.1016/j.apenergy.2017.12.006
[14] 张保东, 黄崇杏, 柳英, 等. 微胶囊技术在抗菌包装中的研究进展[J]. 包装工程, 2017, 38(19):115-120.
ZHANG Baodong, HUANG Chongxing, LIU Ying, et al. Research progress of microcapsule technology in antibacterial packaging[J]. Packaging Engineering, 2017, 38(19):115-120.
[15] ZHU X D, LIU Y, LI Z, et al. Thermochromic microcapsules with highly transparent shells obtained through in-situ polymerization of urea formaldehyde around thermochromic cores for smart wood coatings[J]. Scientific Reports, 2018, 8:4015.
doi: 10.1038/s41598-018-22445-z pmid: 29507371
[16] ZHANG Y K, HU Z X, XIANG H X, et al. Fabrication of visual textile temperature indicators based on reversible thermochromic fibers[J]. Dyes and Pigments, 2019, 162:705-711.
doi: 10.1016/j.dyepig.2018.11.007
[1] 陈云博, 朱翔宇, 李祥, 余弘, 李卫东, 徐红, 隋晓锋. 相变调温纺织品制备方法的研究进展[J]. 纺织学报, 2021, 42(01): 167-174.
[2] 盛明非, 张丽平, 付少海. 基于染料掺杂型液晶微胶囊的电刺激响应智能纺织品的制备及其性能[J]. 纺织学报, 2020, 41(08): 63-68.
[3] 赵芷芪, 李秋瑾, 孙月静, 巩继贤, 李政, 张健飞. 磁性氧化石墨烯/ 聚丙烯胺盐酸盐微胶囊在染料吸附中的应用[J]. 纺织学报, 2020, 41(07): 109-116.
[4] 王森, 陈英. 纳米TiO2 稳定乳液的制备及其在微胶囊制备中的应用[J]. 纺织学报, 2020, 41(05): 105-111.
[5] 杨建, 张国庆, 刘国金, 柯孝明, 周岚. 复合相变微胶囊制备及其在棉织物上的应用[J]. 纺织学报, 2019, 40(10): 127-133.
[6] 陈旭, 吴炳洋, 范滢, 杨木生. 蓄热调温织物低温防护过程的数值模拟[J]. 纺织学报, 2019, 40(07): 163-168.
[7] 刘菲, 李秋瑾, 巩继贤, 李政, 刘秀明, 张健飞. 层层自组装多糖微胶囊的制备及其缓释型纯棉织物修饰应用[J]. 纺织学报, 2019, 40(02): 114-118.
[8] 王亚 黄菁菁 张如全 . 艾蒿油-壳聚糖抗菌微胶囊的制备及其应用[J]. 纺织学报, 2018, 39(10): 99-103.
[9] 张涛 李宏伟 王建明 张梅 苗晓光. 端羟基聚丁二烯聚氨酯相变微胶囊的制备及其性能[J]. 纺织学报, 2018, 39(03): 86-91.
[10] 王瑞 孙艳丽 刘星 杨华 李博. 碳纳米管改性相变微胶囊的力学与热学性能[J]. 纺织学报, 2018, 39(02): 119-125.
[11] 李孟轩 王瑞 刘星 杨华 丁艳然. 老颧草微胶囊复合织物的制备及其药物释放机制[J]. 纺织学报, 2018, 39(02): 138-143.
[12] 郝鸿飞 刘晓艳. 胆固醇液晶热致变色微胶囊的制备及其性能[J]. 纺织学报, 2017, 38(06): 75-79.
[13] 孙艳丽 王瑞 刘星 徐磊 杨华. 轻薄低温防护手套用复合织物的制备及其性能[J]. 纺织学报, 2017, 38(05): 58-63.
[14] 王瑞 陈旭 吴炳洋 李孟轩. 正二十烷/海藻酸钠微胶囊的锐孔-凝固浴法制备[J]. 纺织学报, 2016, 37(07): 82-87.
[15] 张维 李秋瑾 张健飞. 层层组装微胶囊的制备及其缓释性能[J]. 纺织学报, 2015, 36(03): 58-62.
Viewed
Full text


Abstract

Cited

  Shared   
  Discussed   
No Suggested Reading articles found!