Journal of Textile Research ›› 2021, Vol. 42 ›› Issue (11): 117-123.doi: 10.13475/j.fzxb.20201204207

• Dyeing and Finishing & Chemicals • Previous Articles     Next Articles

Radical-induced crosslinking of poly(vinyl alcohol) from desizing wastewater

SHEN Chensi1, WANG Man1, XU Chenye1, WANG Huaping2, LI Fang1()   

  1. 1. State Environmental Protection Engineering Center for Pollution Treatment and Control in Textile Industry, Donghua University, Shanghai 201620, China
    2. State Key Laboratory for Modification of Chemical Fibers and Polymer Materials, Donghua University, Shanghai 201620, China
  • Received:2020-12-14 Revised:2021-03-25 Online:2021-11-15 Published:2021-11-29
  • Contact: LI Fang E-mail:lifang@dhu.edu.cn

Abstract:

The desizing wastewater of the textile printing and dyeing industry contains a large amount of polyvinyl alcohol (PVA) with high polymerization and strong chemical stability, which is a difficult point in the water pollution treatment. Taking advantage of persulfate's ability to initiate free radical crosslinking and strong oxidation, combined with the characteristics of high temperature discharge of desizing wastewater, a thermally activated persulfate system was used to precipitate PVA from wastewater.The effects of persulfate dosage, reaction time, reaction temperature, and pH value on the removal of PVA were investigated.And electron paramagnetic resonance, Fourier-transform infrared spectroscopy, and X-ray photoelectron spectroscopy were used to analyze the cross-linked precipitates.The results show that when the dosage of persulfate was 10 g/L and the wastewater temperature was 70 ℃, PVA could be effectively cross-linked and precipitated after 30 minutes, and the removal rate of chemical oxygen demand (COD) and PVA could reach 95.1% and 95.6%,respectively.The production of sulfate radical and hydroxyl radical in thermally activated persulfate system induced the production of carbon-based radicals, and the carbon-based radicals continued to react together and produced the crosslinking product.

Key words: poly(vinyl alcohol), desizing wastewater, radical-induced crosslinking, persulfate, thermal activation

CLC Number: 

  • X703.1

Fig.1

Photo of simulated PVA wastewater during treatment"

Fig.2

Removal rate of PVA and COD of simulated wastewater"

Fig.3

Influencing factors in PVA crosslinking precipitation.(a)Effect of PS dosage; (b)Effect of reaction temperature; (c)Effect of pH value before PS adding; (d) Effect of pH value after PS adding; (e)Effect of Na2SO4 dosage"

Fig.4

FT-IR spectra of PVA before and after crosslinking"

Fig.5

XPS C1s spectra of PVA before and after crosslinking. (a) Initial PVA; (b) PVA precipitates after crosslinking"

Fig.6

XRD spectra of PVA before and after crosslinking"

Fig.7

EPR spectra of themally activated PS system for PVA crosslinking"

Fig.8

Molecular weight distribution of PVA varying with reaction time. (a) Initial PVA; (b)1 min after reaction; (c) 8 min after reaction; (d) 15 min after reaction"

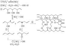
Fig.9

Mechanism diagram of PVA crosslinking-precipitation"

[1] MARKETA J, LUDMILA V, MARTIN J. Water-soluble polymeric xenobiotics-polyvinyl alcohol and polyvinylpyrrolidon-and potential solutions to environmental issues: a brief review[J]. Journal of Environmental Management, 2018, 228:213-22.
doi: 10.1016/j.jenvman.2018.09.010
[2] 朱燕. 我国聚乙烯醇的市场分析[J]. 精细与专用化学品, 2017, 25(7):18-23.
ZHU Yan. Market analysis of polyvinyl alcohol in China[J]. Fine and Specialty Chemicals, 2017, 25(7):18-23.
[3] 李峰. 我国聚乙烯醇行业的发展动态[J]. 乙醛醋酸化工, 2015 (4):10-15.
LI Feng. The development trend of polyvinyl alcohol industry in China[J]. Acetaldehyde Acetic Acid Chemical Industry, 2015 (4):10-15.
[4] CHANDRAKANT R H, ANANDA J J, DIPAK V P, et al. A critical review on textile wastewater treatments: possible approaches[J]. Jouranl of Environmental Management, 2016, 182:351-366.
[5] 潘玉婷, 李方, 沈忱思, 等. 退浆废水中聚乙烯醇的膜蒸馏-超滤二级膜浓缩[J]. 纺织学报, 2018, 39(11):96-102.
PAN Yuting, LI Fang, SHEN Chensi, et al. Membrane distillation of polyvinyl alcohol in desizing wastewater-ultrafiltration secondary membrane concentration[J]. Journal of Textile Research, 2018, 39(11):96-102.
[6] 王伟, 焦玉木, 贾洪斌, 等. 印染生产各工序废水水质及处理技术[J]. 染整技术, 2018, 40(10):43-46.
WANG Wei, JIAO Yumu, JIA Hongbin, et al. Wastewater quality and treatment technology of printing and dyeing production[J]. Textile Dyeing and Finishing Journal, 2018, 40(10):43-46.
[7] 兰明. 含PVA的退浆废水处理工艺研究[D]. 广州:华南理工大学, 2016: 5.
LAN Ming. Study on treatment technology of desizing wastewater containing PVA[D]. Guangzhou:South China University of Technology, 2016: 5.
[8] NIHED B H. Poly (vinyl alcohol): review of its promising applications and insights into biodegradation[J]. RSC Advances, 2016, 6(46):39823-39832.
doi: 10.1039/C6RA05742J
[9] GUO Y, LAI B, ZHOU Y X. Pretreatment of polyvinyl alcohol-containing desizing wastewater by the Fenton process: oxidation and coagulation[J]. Environmental Engineering Science, 2016, 33(3):160-166.
doi: 10.1089/ees.2015.0327
[10] PAN Y T, LIU Y B, WU D L, et al. Application of Fenton pre-oxidation, Ca-induced coagulation, and sludge reclamation for enhanced treatment of ultra-high concentration poly(vinyl alcohol) wastewater[J]. Journal of Hazardous Materials, 2019, 389:121866.
doi: 10.1016/j.jhazmat.2019.121866
[11] LAN S H, WU X W, WANG Y T, et al. The pretreatment of polyvinyl alcohol wastewater with flocculation-Fenton oxidation technology based on Fe2+[J]. Advanced Materials Research, 2012, 518:3089-3095.
[12] WOLFGANG Z, HERMANN S. Process for the separation of polyvinyl alcohol from aqueous solutions:US, 4166033A, 1979-01-01.
[13] 郭丽, 奚旦立, 马春燕. 退浆废水中聚乙烯醇回收技术的研究[J]. 净水技术, 2008, 27(1):58-60.
GUO Li, XI Danli, MA Chunyan. Study on recovery technology of polyvinyl alcohol from desizing wastewater[J]. Water Purification Technology, 2008, 27(1):58-60.
[14] GUAN Y H, MAJ, LI X C, et al. Influence of pH on the formation of sulfate and hydroxyl radicals in the UV/peroxymonosulfate system[J]. Environmental Science and Technology, 2011, 45(21):9308-9314.
doi: 10.1021/es2017363
[15] 顾润南, 林苗. 退浆废水中聚乙烯醇PVA含量的测定[J]. 东华大学学报(自然科学版), 2005, 31(2):106-109.
GU Runnan, LIN Miao. Determination of PVA content in desizing wastewater[J]. Journal of Donghua University (Natural Science), 2005, 31(2):106-109.
[16] 王继鹏, 任永芳. 基于重铬酸钾快速检测法的废水中COD测定探究[J]. 化工管理, 2017(24):140-141.
WANG Jipeng, REN Yongfang. Determination of COD in wastewater based on potassium dichromate rapid detection method[J]. Chemical Management, 2017(24):140-141.
[17] JI Y F, DONG C X, KONG D Y, et al. Heat-activated persulfate oxidation of atrazine: implications for remediation of groundwater contaminated by herbicides[J]. Chemical Engineering Journal, 2015, 263:45-54.
doi: 10.1016/j.cej.2014.10.097
[18] KOLTHOFF I M, MILLER I K. The chemistry of persulfate: I: the kinetics and mechanism of the decomposition of the persulfate ion in aqueous medium1[J]. Journal of the American Chemical Society, 1951, 73(7):1-30.
doi: 10.1021/ja01145a001
[19] 马京帅, 吕文英, 刘国光, 等. 热活化过硫酸盐降解水中的普萘洛尔[J]. 环境化学, 2017(2):221-228.
MA Jingshuai, LÜ Wenying, LIU Guoguang, et al. Thermally activated persulfate degrades propranolol in water[J]. Environmental Chemistry, 2017(2):221-228.
[20] 王婧苑, 会林, 霍艳丽. 聚乙烯醇的热老化机理研究[J]. 北京化工大学学报, 2005(2):68-71.
WANG Jingyuan, HUI Lin, HUO Yanli. Study on thermal aging mechanism of polyvinyl alcohol[J]. Journal of Beijing University of Chemical Technology, 2005(2):68-71.
[21] CLEMENS V S, EBERHARD B, PIOTR U, et al. Radical transfer reactions in polymers[J]. Radiation Physicsand Chemistry, 1999, 55(5):599-603.
[1] PAN Jiajun, XIA Zhaopeng, ZHANG Haibao, LU Yang, ZHAO Jilin, WANG Xuenong, WANG Liang, LIU Yong. Optimization and mechanism of hydrogen peroxide/ammonium persulfate bleaching for yak wool [J]. Journal of Textile Research, 2021, 42(04): 101-106.
[2] LU Linna, LI Yonggui, LU Qilin. One-pot synthesis and characterization of aminated cellulose nanocrystals [J]. Journal of Textile Research, 2020, 41(10): 14-19.
[3] HU Chengye, MIAO Runwu, HAN Xiao, HONG Jianhan, GIL Ignacio. Effect of polyvinyl alcohol on durability of polyaniline conductive layer on poly(p-phenylene terephthamide) yarn surface [J]. Journal of Textile Research, 2020, 41(04): 91-97.
[4] . Two-stage membrane concentration of Poly(vinyl alcohol) in desizing wastewater by membrane distillation and ultrafiltration [J]. Journal of Textile Research, 2018, 39(11): 96-102.
[5] CHEN Min;ZHU Puxin;CHEN Yong;ZHOU Dongliang;WEN Yanqing. Water-soluble polymer/montmorillonite nano-sizing agent [J]. JOURNAL OF TEXTILE RESEARCH, 2008, 29(10): 61-65.
[6] DING Yuanrong;XIAO Changfa;JIA Guangxia;AN Shulin. Study on blending modification of superabsorbent poly(acrylic acid-co-acrylamide) fibers [J]. JOURNAL OF TEXTILE RESEARCH, 2007, 28(4): 12-15.
[7] ZHU Xin sheng;DAI Li xing;WEN Di jiang;YU Shao yong . Control of hydrogen bonds and alcoholysis spinning of poly(vinyl acetate) [J]. JOURNAL OF TEXTILE RESEARCH, 2005, 26(2): 136-137.
Viewed
Full text


Abstract

Cited

  Shared   
  Discussed   
[1] . [J]. JOURNAL OF TEXTILE RESEARCH, 2003, 24(06): 35 -36 .
[2] . [J]. JOURNAL OF TEXTILE RESEARCH, 2003, 24(06): 107 .
[3] . [J]. JOURNAL OF TEXTILE RESEARCH, 2003, 24(06): 109 -620 .
[4] . [J]. JOURNAL OF TEXTILE RESEARCH, 2004, 25(02): 103 -104 .
[5] . [J]. JOURNAL OF TEXTILE RESEARCH, 2004, 25(02): 105 -107 .
[6] . [J]. JOURNAL OF TEXTILE RESEARCH, 2004, 25(02): 108 -110 .
[7] . [J]. JOURNAL OF TEXTILE RESEARCH, 2004, 25(02): 111 -113 .
[8] . [J]. JOURNAL OF TEXTILE RESEARCH, 2004, 25(02): 114 -115 .
[9] . [J]. JOURNAL OF TEXTILE RESEARCH, 2004, 25(02): 116 -118 .
[10] . [J]. JOURNAL OF TEXTILE RESEARCH, 2004, 25(02): 119 -120 .