Journal of Textile Research ›› 2022, Vol. 43 ›› Issue (11): 119-126.doi: 10.13475/j.fzxb.20210903408

• Dyeing and Finishing & Chemicals • Previous Articles     Next Articles

Whiteness formulae evaluation of non-fluorescent fabrics by psychophysical experiments

YANG Hongying1(), QI Mengyuan1,2, YANG Zhihui1, YANG Yanli1, ZHANG Jingjing1, XIE Wanzi3   

  1. 1. College of Textile, Zhongyuan University of Technology, Zhengzhou, Henan 450007, China
    2. College of Textile & Clothing, Qingdao University, Qingdao, Shandong 266100, China
    3. College of Textile Science and Engineering, Jiangnan University, Wuxi, Jiangsu 214122, China
  • Received:2021-09-10 Revised:2022-08-26 Online:2022-11-15 Published:2022-12-26

Abstract:

In order to choose the whiteness formula that is closest to human perception for non-fluorescent textile whiteness evaluation, 9 whiteness formulae were studied. White samples were selected from self-made non-fluorescent fabrics using white discrimination visual evaluation, and then 28 and 85 samples were selected to carry out 2 psychophysical experiments of pairwise comparison method and category determination method respectively. More than 10,000 visual evaluation data were processed for comparing and evaluating the predictive performance of the 9 whiteness formulae. Results show that when the whiteness formulae were evaluated by the pairwise comparison method and the category judgment method, Hunter2 formula performed the best for both cases. Therefore, for the non-fluorescent fabrics in this study, the Hunter2 whiteness formula originally designed for evaluating fluorescent fabrics is in the best agreement with the visual perception of human eyes.

Key words: non-fluorescent fabric, whiteness formula, visual evaluation, pairwise comparison method, category determination method

CLC Number: 

  • TS197

Fig.1

Dyeing process curve"

Fig.2

Distribution of white samples for psychophysics experiments in chromaticity diagram"

Tab.1

Description of 9-level scale in category determination method"

类别得分 英文描述 中文定义
1 least imaginable 最小程度的
2 very little mildly 很微小程度的
3 mildly 较小程度的
4 moderately 一般的
5 medially 中等的
6 moderately highly 一定程度的
7 mildly highly 较大程度的
8 very highly 很大程度的
9 highest imaginable 最大程度的

Tab.2

Observer precision in pairwise comparison experiments"

指标 误判率WD/%
最大值 最小值 平均值
准确度 10 7 8
重复性 11 5 7

Tab.3

Frequency matrix from pairwise comparison visual experiments"

编号 1 2 3 4 5 6 28
1 8 0 0 0 10 0
2 16 0 0 0 8 0
3 24 24 0 16 24 0
? ? ? ? ? ? ? ? ?
28 24 24 24 0 24 24 0

Tab.4

z-score matrix in ascending order obtained from pairwise comparison visual experiment"

编号 26 25 4 24 14 1
1 -2.47 -2.47 -2.47 -2.47 -2.47 0
2 -2.47 -2.47 -2.47 -2.47 -2.47 0.43
3 -2.47 -2.47 -2.47 -2.47 -2.47 2.47
? ? ? ? ? ? ? ?
28 -2.47 -2.47 -2.47 -2.47 -2.47 2.47
平均值 -2.24 -1.93 -1.69 -1.64 -1.55 2.12
等级 1 2 3 4 5 28

Tab.5

Visual whiteness differences between each color sample and No.26 sample from pairwise comparison experiment"

编号 d(1-26) d(2-26) d(3-26) d(4-26) d(28-26)
Δviv26 4.36 4.30 2.99 0.55 1.86

Fig.3

Visual whiteness difference ΔV of 28 non-fluorescent samples"

Tab.6

Visual whiteness difference of samples by category judgment method"

编号 1 2 3 4 5 85
白度值 8.82 2.25 22.43 -15.36 38.70 35.33

Tab.7

Predictive performance of whiteness formulas from Paired comparison method"

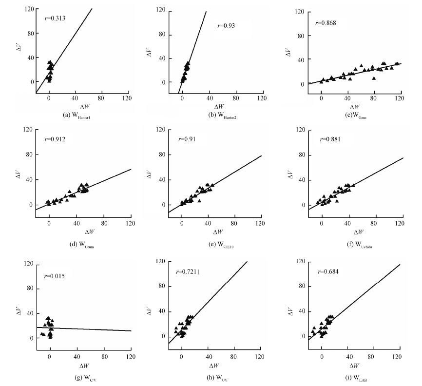
公式 r WD/% ρ STRESS 总排序
WHunter1 0.313(8) 39.7(7) 0.272(8) 74.83(8) 31(8)
WHunter2 0.93(1) 10.9(1) 0.922(1) 18.96(1) 4(1)
WGanz 0.868(5) 14.6(3) 0.864(4) 26.12(4) 16(4)
WGrum 0.912(2) 14.6(3) 0.880(3) 21.56(2) 10(2)
WCIE10 0.91(3) 12.4(2) 0.904(2) 21.58(3) 10(2)
WUchida 0.881(4) 16.4(4) 0.862(5) 28.71(5) 18(5)
WC/V -0.015(9) 57.9(8) -0.242(9) 94.64(9) 35(9)
WUV 0.721(6) 23.8(6) 0.729(7) 59.96(6) 25(6)
WLAB 0.684(7) 23.3(5) 0.73(6) 66.06(7) 25(6)

Tab.8

Comparison of Predictive performance of whiteness formulas from pairwise comparison method (F-test)"

白度公式 WHunter1 WHunter2 WGanz WGrum WCIE10 WUchida WC/V WUV WLAB
WHunter1 0.06* 0.12* 0.08* 0.08* 0.15* 1.6 0.64 0.78
WHunter2 15.58* 1.9 1.29 1.3 2.29* 24.92* 10.00* 12.14*
WGanz 8.21* 0.53 0.68 0.68 1.21 13.13* 5.27* 6.40*
WGrum 12.05* 0.77 1.47 1 1.77 19.27* 7.73 9.39*
WCIE10 12.02* 0.77 1.47 1 1.77 19.23* 7.72 9.37*
WUchida 6.79* 0.44* 0.83 0.56 0.56 10.87* 4.36* 5.29*
WC/V 0.63 0.04* 0.08* 0.05* 0.05* 0.09* 0.40* 0.49*
Wuv 1.56 0.10* 0.19* 0.13* 0.13* 0.23* 2.49* 1.21
WLAB 1.28 0.08* 0.16* 0.11* 0.11* 0.19* 2.05* 0.82

Tab.9

Predictive performance of whiteness formula by category judgment method"

指标 WHunter1 WHunter2 WGanz WGrum WCIE10 WUchida WC/V WUV WLAB
r 0.419(8) 0.949(1) 0.914(4) 0.921(3) 0.943(2) 0.848(5) 0.028(9) 0.587(6) 0.562(7)
ρ 0.379(8) 0.951(1) 0.921(3) 0.868(4) 0.941(2) 0.857(5) -0.064(9) 0.657(7) 0.674(6)
总排序 16(8) 2(1) 7(3) 7(3) 4(2) 10(5) 18(9) 13(6) 13(6)

Fig.4

Comparison of visual whiteness difference ΔV and calculated whiteness difference ΔW of 28 samples by pairwise comparison method"

Fig.5

Comparison of visual whiteness difference ΔV and calculated whiteness difference ΔW of 85 samples by category judgment method"

[1] GANZ E. Whiteness formulas: a selection[J]. Applied Optics, 1979, 18(7): 1073-1078.
doi: 10.1364/AO.18.001073 pmid: 20208877
[2] GANZ E, GRIESSER R. Whiteness: assessment of tint[J]. Applied Optics, 1981, 20(8): 1395.
doi: 10.1364/AO.20.001395 pmid: 20309319
[3] GANZ E, PAULI HKA. Whiteness and tint formulas of the Commission Internationale de l'Eclairage: approximations in the L*a*b* color space[J]. Applied Optics, 1995, 34(16): 2998-2999.
doi: 10.1364/AO.34.002998
[4] UCHIDAH. A new whiteness formula[J]. Color Research & Application, 1998, 23(4): 202-209.
[5] 孙雅清, 屠天民, 陈庆东. 荧光样品的白度测定[J]. 印染, 2000, 29(8): 38-41.
SUN Yaqing, TU Tianmin, CHEN Qingdong. Testing the whiteness of fluorescent products[J]. China Dyeing & Finishing, 2000, 29(8): 38-41.
[6] HE Guoxin, ZHOU Mingxun. Whiteness formula in CIELAB uniform color space[J]. Chinese Optics Letters, 2007(7): 432-434.
[7] PÉREZ MDEL M, GHINEA R, RIVAS M J, et al. A method for evaluating Hunter whiteness of mixed powders[J] Advanced Powder Technology, 2009, 20(2): 123-126.
doi: 10.1016/j.apt.2008.04.001
[8] GUO Chunli, ZUO Xiaoyan, LIU Y, et al. The performance of different whiteness formulas for white papers[J]. Advances in Graphic Communication, Printing and Packaging, 2019, 543:102-107.
[9] 刘志红, 田慧敏, 石风俊, 等. 织物白度表征方法的研究[J]. 中原工学院学报, 2007, 18(3): 48-51.
LIU Zhihong, TIAN Huimin, SHI Fengjun, et al. A study on characterization of whiteness of fabrics[J]. Journal of Zhongyuan University of Technology, 2007, 18(3): 48-51.
[10] KATAYAMA I, FAIRCHILD M D. Quantitative evaluation of perceived whiteness based on a color vision mode[J]. Color Research & Application, 2010, 35(6): 410-418.
[11] JAFARI R, AMIRSHAHI S H. Variation in the decisions of observers regarding the ordering of white samples[J]. Coloration Technology, 2008, 124(2): 127-131.
doi: 10.1111/j.1478-4408.2008.00132.x
[12] CHEN Y. Measurement of white colour containing fluorescent whitening agent[D]. UK: University of Leeds, 2013: 1-20.
[13] 杨红英, 杨艳丽, 杨志晖, 等. 基于荧光增白织物的白度公式评价[J]. 纺织高校基础科学学报. 2021, 34(2): 36-44.
YANG Hongying, YANG Yanli, YANG Zhihui, et al. Evaluation of whiteness formulas for fluorescent fhitening abrics[J]. Basic Sciences Journal of Textile Universities, 2021, 34(2): 36-44.
[14] GANZ E. Whiteness: photometric specification and colorimetric evaluation[J]. Applied optics, 1976, 15(9): 2039-2058.
doi: 10.1364/AO.15.002039 pmid: 20165337
[15] BARTLESON C J, GRUM F. Optical radiation measurements: visual measurements[M]. Orlando: Academic Press, 1984:441-489.
[16] 宫睿. 智能移动终端图像显示性能评价方法及应用研究[D]. 杭州: 浙江大学, 2014:107.
GONG Rui. Study of assessment method and application for image display performance of smart mobile devices[D]. Hangzhou: Zhejiang University, 2014:107.
[17] LUO M R, MINCHEW C, KENYON P, et al. Verification of CIEDE 2000 using industrial data[C]// 2004 Color and Paints, Interim Meeting of the International Color Association, AIC 2004 Color and Paints Proceedings. Porto Alegre: AIC, 2004:97-102.
[18] 黄敏, 王丽丽, 刘浩学. 用比较法研究光泽度对印刷样品的中小色差影响[J]. 光学学报, 2010, 30(11): 3359-3366.
HUANG Min, WANG Lili, LIU Haoxue. Study on the influence of gloss on printed samples medium-small color difference with the psychophysical method of compari-son[J]. Acta Optica Sinica, 2010, 30(11): 3359-3366.
doi: 10.3788/AOS20103011.3359
[19] THURSTONE L L. A law of comparative judgment[J]. Psychological Review, 1994, 101(2): 266-270.
doi: 10.1037/0033-295X.101.2.266
[20] COATES E, WARBURTON F L. Colour-difference measurements in relation to visual assessments in the textile field[J]. Journal of the Society of Dyers and Colourists, 1968, 84(9): 467-474.
doi: 10.1111/j.1478-4408.1968.tb02845.x
[21] TORGERSON W S. A Law of categorical judge-ment[M]. New York: New York University Press, 1954: 92-93.
[22] MA S, WEI M, LIANG J, et al. Evaluation of whiteness metrics[J]. Lighting Research & Technology, 2016, 50(3): 429-445.
[23] 王寒, 徐海松, CUI Giuhau, 等. 基于物体表面色的人眼阈值水平微小色差评价[J]. 光学学报, 2008, 28(8): 1628-1632.
WANG Han, XU Haisong, CUI Giuhau, et al. Evaluation of very small colour difference at human eye's threshold level based on object surface colours[J]. Acta Optica Sinica, 2008, 28(8): 1628-1632.
doi: 10.3788/AOS20082808.1628
[24] 董振礼, 郑宝海, 轷桂芬, 等. 测色与计算机配色[M]. 3版. 北京: 中国纺织出版社, 2017:74.
DONG Zhenli, ZHENG Baohai, HU Guifen, et al. Color measurement and computer color matching[M]. 3rd ed. Beijing: China Textile & Apparel Press, 2017: 74.
[25] HUNTER R S. Description and measurement of white surfaces[J]. Journal of the Optical Society of America, 1958, 48(9): 597-605.
doi: 10.1364/JOSA.48.000597
[1] ZHANG Sudao, XUE Wenliang, WEI Mengyuan, ZHOU Huangli. Application of eye tracker in visual evaluation of apparel fabric colors [J]. Journal of Textile Research, 2019, 40(03): 139-145.
Viewed
Full text


Abstract

Cited

  Shared   
  Discussed   
[1] . [J]. JOURNAL OF TEXTILE RESEARCH, 2003, 24(06): 33 -34 .
[2] . [J]. JOURNAL OF TEXTILE RESEARCH, 2003, 24(06): 35 -36 .
[3] . [J]. JOURNAL OF TEXTILE RESEARCH, 2003, 24(06): 107 .
[4] . [J]. JOURNAL OF TEXTILE RESEARCH, 2003, 24(06): 109 -620 .
[5] . [J]. JOURNAL OF TEXTILE RESEARCH, 2004, 25(01): 1 -9 .
[6] . [J]. JOURNAL OF TEXTILE RESEARCH, 2004, 25(02): 101 -102 .
[7] . [J]. JOURNAL OF TEXTILE RESEARCH, 2004, 25(02): 103 -104 .
[8] . [J]. JOURNAL OF TEXTILE RESEARCH, 2004, 25(02): 105 -107 .
[9] . [J]. JOURNAL OF TEXTILE RESEARCH, 2004, 25(02): 108 -110 .
[10] . [J]. JOURNAL OF TEXTILE RESEARCH, 2004, 25(02): 111 -113 .