Journal of Textile Research ›› 2024, Vol. 45 ›› Issue (12): 33-40.doi: 10.13475/j.fzxb.20231003001

• Fiber Materials • Previous Articles     Next Articles

Preparation and properties of orientation reinforced CO2 corrosion resistant fiber membrane

LU Hailong1, YU Ying2(), ZUO Yuxin3, WANG Haoran1, CHEN Hongli1, RU Xin1   

  1. 1. School of Mechanical Engineering, Zhejiang Sci-Tech University, Hangzhou, Zhejiang 310018, China
    2. College of Information Science and Engineering, Jiaxing University, Jiaxing, Zhejiang 314001, China
    3. Jiaxing Nanhu University, Jiaxing, Zhejiang 314001, China
  • Received:2023-10-10 Revised:2024-03-06 Online:2024-12-15 Published:2024-12-31
  • Contact: YU Ying E-mail:yingyu@zjxu.edu.cn

Abstract:

Objective CO2 corrosion of the cathode in flexible metal-air batteries severely reduces its electrochemical performance and greatly hinders the further development of flexible metal-air batteries. Existing research shows that the amino functional group in PEI has strong adsorption capacity for CO2. By increasing the orientation of the fiber membrane, the specific surface area and pore volume of the fiber membrane can be increased, thereby enhancing the adsorption capacity of the fiber membrane. A high degree of orientation can also enhance the mechanical properties of the membrane to a certain extent. However, there are few studies on cathode separators for flexible metal-air batteries offering both excellent CO2 adsorption capacity and good mechanical properties. As such, this study aims to use electrospinning technology to prepare highly oriented Polyethyleneimine(PEI)/polyacryloni-trile(PAN) composite fiber membrane by adjusting the drum speed, and to characterize its physical properties, mechanical properties and CO2 adsorption properties.

Method Four different groups of PEI/PAN composite fiber membranes were prepared at the drum rotation speeds of 500, 1 000, 1 500 and 2 000 r/min respectively. Fourier transform infrared spectroscopy, X-ray diffractometer, Scanning electron microscopy, and a flexible electronic comprehensive test platform were used to characterize the physical properties and mechanical properties of the composite fiber membranes. The CO2 adsorption performance of the composite fiber membranes was characterized by a specific surface area and pore size analyzer and a simultaneous thermal analyzer, and the influence of orientation on the CO2 adsorption capacity and mechanical properties of the PEI/PAN composite fiber membrane was explored.

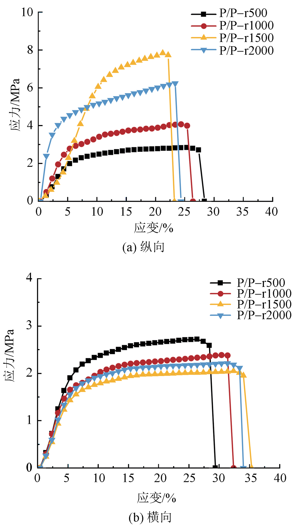
Results The results of infrared spectroscopy and scanning electron microscopy show that the PEI/PAN composite fiber membrane was successfully prepared by electrospinning, and as the drum speed increases, the fiber diameter decreases. The rotation speed of the drum greatly affected the orientation of the fibers. When the rotation speed was 1 500 r/min, the orientation of the fibers seemed the best. The high degree of orientation obtained by increasing the rotation speed of the drum can obtain a larger specific surface area and pore volume of the PEI/PAN composite fiber membrane, thus improving its ability to adsorb CO2. This is mainly due to the smaller fiber diameter and the larger gap formed by fiber stacking between the non-oriented and oriented directions. The increase in fiber orientation also enhances the crystallinity of fibers, which greatly affects their mechanical properties. High orientation caused increase the tensile breaking strength and Young's modulus of the fibers in the longitudinal direction. This is mainly because the nanofibers arew able to withstand greater tensile stress when they are aligned.

Conclusion The PEI/PAN composite fiber membrane prepared by electrospinning at 1 500 r/min has excellent orientation. Compared with the randomly oriented composite fiber membrane prepared by electrospinning at 500 r/min, the CO2 adsorption capacity of the prepared membrane is increased by 62.06%, the longitudinal tensile breaking strength is enhanced by 178.57%, and the Young's modulus is enhanced by 245.3%. The research reported in this article provides a reference for the preparation of cathode anti-CO2 corrosion membranes for flexible metal-air batteries.

Key words: oriented nanofiber membrane, electrospinning, CO2 adsorption, mechanical property, battery diaphragm material

CLC Number: 

  • TQ152

Fig.1

Schematic diagram of electrospinning"

Fig.2

FT-IR spectra of PEI/PAN composite fiber membrane"

Fig.3

XRD patterns of fiber membrane at different rotational speeds"

Fig.4

SEM images of fiber cross-sections at different rotational speeds"

Fig.5

SEM images and diameter distribution diagram of fiber membrane at different rotational speeds"

Fig.6

Orientation distribution diagram of fiber membrane at different rotational speeds"

Fig.7

N2 isothermal adsorption and desorption curves of fiber film at different rotational speeds"

Tab.1

Specific surface area and cumulative pore volume of fiber membrane at different rotational speeds"

样品编号 比表面积/
(m2·g-1)
累计孔体积/
(cm3·g-1)
P/P-r500 3.762 0.005 097
P/P-r1000 5.974 0.007 534
P/P-r1500 6.858 0.008 943
P/P-r2000 6.258 0.008 262

Fig.8

CO2 adsorption curves of fiber membrane at different rotational speeds and activated carbon"

Fig.9

Physical stretch drawing of P/P-r1500 under longitudinal tension"

Tab.2

Longitudinal mechanical property parameters of fiber membrane at different rotational speeds"

样品 拉伸断裂强度/
MPa
断裂伸长率/
%
弹性模量/
MPa
P/P-r500 2.8±0.1 27.4±0.1 10.22
P/P-r1000 4.0±0.1 25.3±0.1 15.81
P/P-r1500 7.8±0.1 22.1±0.1 35.29
P/P-r2000 6.2±0.1 23.4±0.1 26.49

Fig.10

Longitudinal(a) and transverse(b) tensile stress-strain curves of fiber membrane at different rotational speed"

[1] 方剑, 任松, 张传雄, 等. 智能可穿戴纺织品用电活性纤维材料[J]. 纺织学报, 2021, 42(9): 1-9.
FANG Jian, REN Song, ZHANG Chuanxiong, et al. Electroactive fibrous materials for intelligent wearable textiles[J]. Journal of Textile Research, 2021, 42(9): 1-9.
[2] 王津, 胡开瑞, 张刘飞, 等. 纤维材料在柔性可穿戴锌电池中的应用进展[J]. 纺织学报, 2022, 43(10): 192-199.
WANG Jin, HU Kairui, ZHANG Liufei, et al. Application progress of fiber materials in flexible wearable zinc batteries[J]. Journal of Textile Research, 2022, 43(10): 192-199.
[3] WANG Y, XU C, YU X, et al. Multilayer flexible electronics: manufacturing approaches and applica-tions[J]. Materials Today Physics, 2022. DOI: 10.1016/j.mtphys.2022.100647.
[4] LIU X, JIAO H, WANG M, et al. Current progresses and future prospects on aluminium-air batteries[J]. International Materials Reviews, 2022, 67(7): 734-764.
[5] MOKHTAR M, TALIB M Z M, MAJLAN E H, et al. Recent developments in materials for aluminum-air batteries: a review[J]. Journal of Industrial and Engineering Chemistry, 2015, 32: 1-20.
[6] PEI Z, YUAN Z, WANG C, et al. A flexible rechargeable zinc-air battery with excellent low-temperature adaptability[J]. Angewandte Chemie International Edition, 2020, 59(12): 4793-4799.
[7] HUANG C L, WANG P Y, LI Y Y. Fabrication of electrospun CO2 adsorption membrane for zinc-air battery application[J]. Chemical Engineering Journal, 2020. DOI: 10.1016/j.cej.2020.125031.
[8] SUN H, WU C, SHEN B, et al. Progress in the development and application of CaO-based adsorbents for CO2 capture: a review[J]. Materials Today Sustainability, 2018, 1: 1-27.
[9] RUHAIMI A H, AZIZ M A A, JALIL A A. Magnesium oxide-based adsorbents for carbon dioxide capture: Current progress and future opportunities[J]. Journal of CO2 Utilization, 2021. DOI: 10.1016/j.jcou.2020.101357.
[10] AL Mesfer, MOHAMMED K. Synthesis and characterization of high-performance activated carbon from walnut shell biomass for CO2 capture[J]. Environmental Science and Pollution Research, 2020, 27(13): 15020-15028.
[11] MANSOURIZADEH A, ISMAIL A F, MATSUURA T. Effect of operating conditions on the physical and chemical CO2 absorption through the PVDF hollow fiber membrane contactor[J]. Journal of Membrane Science, 2010, 353(1/2): 192-200.
[12] TUNCAY G, KESKIN B, TÜRKEN T, et al. Development of braid reinforced hollow fiber membranes as both ultrafiltration and nanofiltration membranes: Effect of pore forming additive on structure and performance[J]. Journal of Applied Polymer Science, 2022. DOI: 10.1002/app.53098.
[13] HOU H, SHANG M, WANG L, et al. Efficient photocatalytic activities of TiO2 hollow fibers with mixed phases and mesoporous walls[J]. Scientific reports, 2015, 5(1): 1-9.
[14] KANG S, HWANG J. CoMn2O4 embedded hollow activated carbon nanofibers as a novel peroxymonosulfate activator[J]. Chemical Engineering Journal, 2021. DOI: 10.1016/j.cej.2020.127158.
[15] WEI S, ZHOU M, DU W. Improved acetone sensing properties of ZnO hollow nanofibers by single capillary electrospinning[J]. Sensors and Actuators B: Chemical, 2011, 160(1): 753-759.
[16] 李春艳. PVDF电纺纤维膜的成型及其性能研究[D]. 广州: 华南理工大学, 2014: 35-40.
LI Chunyan. Processing and properties of electrospun PVDF fiber mats[D]. Guangzhou: South China University of Technology, 2014: 35-40.
[17] BHARDWAJ N, KUNDU S C. Electrospinning: a fascinating fiber fabrication technique[J]. Biotechnology Advances, 2010, 28(3): 325-347.
[18] 沈雪华, 颜枫, 谢丰, 等. 固废源固态胺吸附剂用于CO2捕集研究进展[J]. 硅酸盐学报, 2023, 51(9): 2411-2422.
SHEN Xuehua, YAN Feng, XIE Feng, et al. Research progress of solid amine adsorbents derived from solid waste for CO2 capture[J]. Journal of the Chinese Ceramic Society, 2023, 51(9): 2411-2422.
[19] ZHANG Y, GUAN J, WANG X, et al. Balsam-pear-skin-like porous polyacrylonitrile nanofibrous membranes grafted with polyethyleneimine for postcombustion CO2 capture[J]. ACS Applied Materials & Interfaces, 2017, 9(46): 41087-41098.
[20] HUANG C L, WANG P Y, LI Y Y. Fabrication of electrospun CO2 adsorption membrane for zinc-air battery application[J]. Chemical Engineering Journal, 2020. DOI: 10.1016/j.cej.2020.125031.
[21] AL-SALEH M A, GULTEKIN S, AL-ZAKRI A S, et al. Effect of carbon dioxide on the performance of Ni/PTFE and Ag/PTFE electrodes in an alkaline fuel cell[J]. Journal of applied electrochemistry, 1994, 24: 575-580.
[22] DANWITTAYAKUL S, MUENSRI P. Polyethyleneimine coated polyacrylonitrile cellulose membrane for colorimetric copper (II) determina-tion[J]. Journal of Water Chemistry and Techno-logy, 2020, 42: 22-29.
[23] 王曙东, 李双燕, 张幼珠, 等. 静电纺PLA取向超细纤维膜的结构与性能[J]. 产业用纺织品, 2009, 27(9): 8-11.
WANG Shudong, LI Shuangyan, ZHANG Youzhu, et al. Structure and properties of electrospun aligned PLA ultrafine fibres[J]. Technical Textiles, 2009, 27(9): 8-11.
[24] YANG Z H, GAO Y. BET surface area analysis on microporous materials[J]. Mod Sci Instrum, 2010, 1: 97-102.
[25] 杜青, 何祎, 余坦竟, 等. 取向PAN/MWCNTs与热塑性聚烯烃复合材料的制备及表征[J]. 中国塑料, 2022, 36(8): 49-55.
DU Qing, HE Yi, YU Tanjing, et al. Preparation and characterization of oriented thermoplastic polyolefin/PAN/MWCNT composites[J]. China Plastics, 2022, 36(8): 49-55.
[1] LEI Fuwang, FENG Qi, HOU Aohan, ZHAO Zhenhong, TAN Jiazhao, ZHAO Jing, WANG Xianfeng. Preparation and properties of polyvinylidene fluoride-polyacrylonitrile/SiO2 fibrous membrane with unidirectional water-transport function [J]. Journal of Textile Research, 2024, 45(12): 1-8.
[2] LIU Xia, WU Gaihong, YAN Zihao, WANG Cailiu. Preparation and properties of intelligent phase change thermoregulated polylactic acid fiber membrane [J]. Journal of Textile Research, 2024, 45(12): 18-24.
[3] WANG Yawen, LIU Na, WANG Yuanfei, WU Tong. Regulation of cell migration and vascularization using electrospun nanofiber yarns [J]. Journal of Textile Research, 2024, 45(12): 25-32.
[4] LIU Jian, DONG Shoujun, WANG Chenghao, LIU Yongru, PAN Shanshan, YIN Zhaosong. Electric field simulation and optimization on petal shaped electrospinning nozzle with multiple tips [J]. Journal of Textile Research, 2024, 45(10): 191-199.
[5] ZHANG Dianping, WANG Hao, LIN Wenfeng, WANG Zhenqiu. Simulation and design of multi-nozzle spinning device [J]. Journal of Textile Research, 2024, 45(10): 200-207.
[6] LI Meng, DAI Mengnan, YU Yangxiao, WANG Jiannan. Research progress in application of silk fibroin-based biomaterials for bone repair [J]. Journal of Textile Research, 2024, 45(10): 224-231.
[7] LIU Ting, YAN Tao, PAN Zhijuan. Preparation and properties of banana stem fiber/antibacterial fiber blended yarn [J]. Journal of Textile Research, 2024, 45(10): 48-54.
[8] WANG Haoran, YU Ying, ZUO Yuxin, GU Zhiqing, LU Hailong, CHEN Hongli, KE Jun. Preparation and functional application of polyethyleneimine/polyacrylonitrile composite fiber membrane [J]. Journal of Textile Research, 2024, 45(09): 26-32.
[9] WANG Qingpeng, ZHANG Haiyan, WANG Yuting, ZHANG Tao, ZHAO Yan. Preparation and properties of polyethylene oxide/Al2O3 passive radiative cooling membrane [J]. Journal of Textile Research, 2024, 45(09): 33-41.
[10] WANG Yongzheng, HUANG Lintao, SONG Fuquan. Process optimization and properties of petroleum pitch/polyacrylonitrile electrospun carbon nanofibers [J]. Journal of Textile Research, 2024, 45(08): 107-115.
[11] YAN Di, WANG Xuefang, TAN Wenping, GAO Guojin, MING Jinfa, NING Xin. Preparation of porous poly(L-lactic acid) nanofiber membranes with rich imidazole groups and dual performances in water purification [J]. Journal of Textile Research, 2024, 45(08): 116-126.
[12] QIAN Yang, ZHANG Lu, LI Chenyang, WANG Rongwu. Preparation and performance of electrospun sodium alginate composite nanofiber membranes [J]. Journal of Textile Research, 2024, 45(08): 18-25.
[13] LIU Jiawei, JI Dongxiao, QIN Xiaohong. Research progress in electrospun nanofiber materials for air filtration [J]. Journal of Textile Research, 2024, 45(08): 35-43.
[14] LIU Delong, WANG Hongxia, LIN Tong. Research progress in airflow-assisted electrospinning [J]. Journal of Textile Research, 2024, 45(08): 44-53.
[15] XU Yusong, ZHOU Jie, GAN Jiayi, ZHANG Tao, ZHANG Xianming. Preparation of phosphorus and nitrogen containing waterborne polyurethane and its application in polyester fabrics for flame retardant finishing [J]. Journal of Textile Research, 2024, 45(07): 112-120.
Viewed
Full text


Abstract

Cited

  Shared   
  Discussed   
No Suggested Reading articles found!