Journal of Textile Research ›› 2025, Vol. 46 ›› Issue (04): 11-19.doi: 10.13475/j.fzxb.20240505201

• Fiber Materials • Previous Articles     Next Articles

Carboxylated nanocellulose-reinforced flexible transparent conductive elastomer

LI Yihong1, CAI Junyi1, ZHUGE Xiaojie1, WU Dongrui1, TENG Deying1, YU Jianyong2, DING Bin2, LI Zhaoling1,2()   

  1. 1. College of Textiles, Donghua University, Shanghai 201620, China
    2. Innovation Center for Textile Science and Technology, Donghua University, Shanghai 200051, China
  • Received:2024-05-23 Revised:2024-09-06 Online:2025-04-15 Published:2025-06-11
  • Contact: LI Zhaoling E-mail:zli@dhu.edu.cn

Abstract:

Objective Ionic conductive elastomers have excellent stretchability and ion transport properties, which show great application prospects in flexible transparent electronic devices, medical monitoring, soft robots and other fields. However, ionic conductive elastomers suffer from the dehydration or deliquescence issues impeding their further development in extreme environment. Inspired by the “brick-and-mortar” structure derived from nacre, this research targets on the innovative design of a new type of liquid-free intrinsically ionic conductive elastomer to overcome the dehydration or deliquescence issues caused by the sensitivity of traditional ionic conductive elastomers to humidity. This breakthrough development was aimed to expand the range of materials available for applications such as wearable sensors, foldable displays, wearable optics, and more.

Method A binary polymerizable deep eutectic solvent was prepared with choline chloride and acrylic acid as raw materials in different proportions, and a ternary polymerizable deep eutectic solvent was prepared with choline chloride, acrylic acid and oxalic acid as raw materials in different proportions. The ternary polymerizable deep eutectic solvent has the fiunction of uniformly dispersing different carboxylated nanocellulose(CCNC) fibers. The three were polymerized by in situ polymerization method under 365 nm ultraviolet irradiation, obtaining D-ICE, T-ICE and T-C-ICE. The structure and properties of each material were characterized.

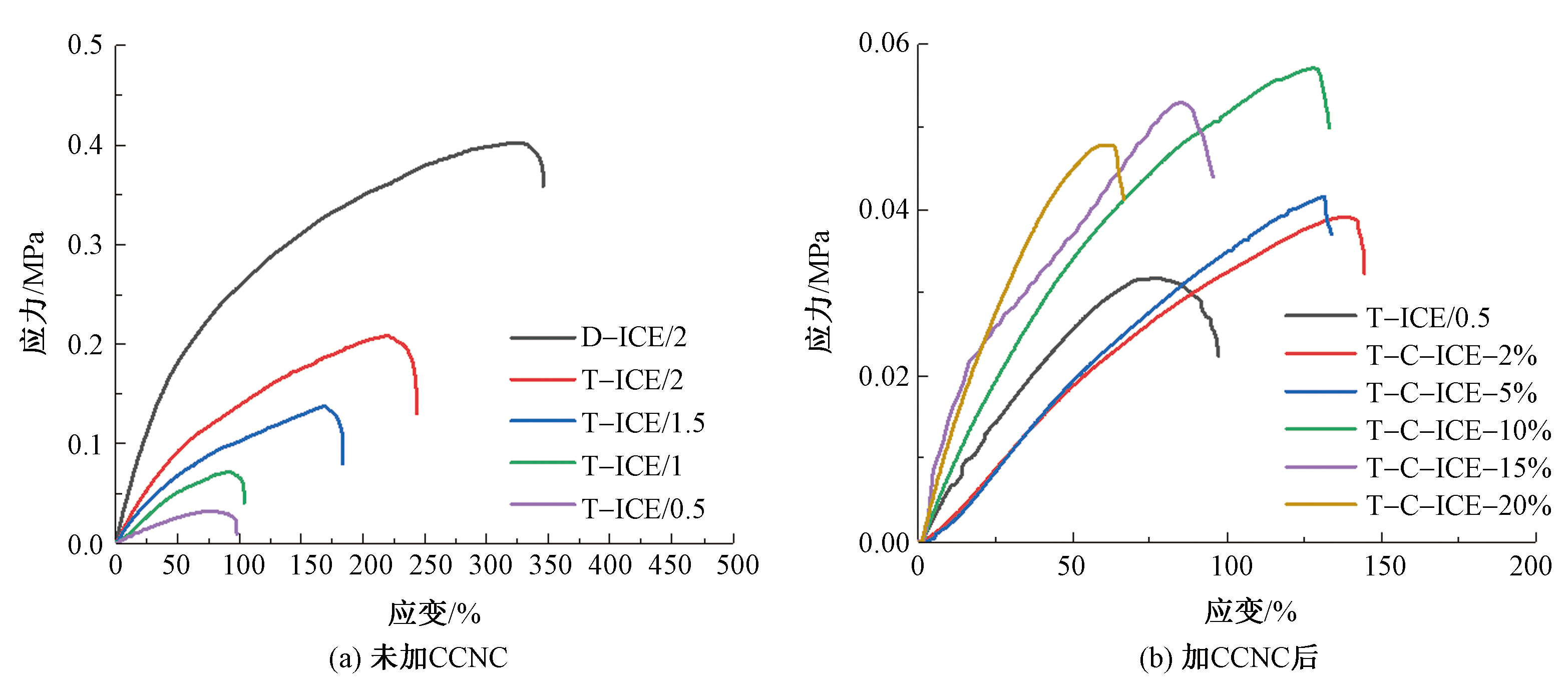
Results In this research, samples with different ratios of raw materials were prepared. A variety of samples with different raw material proportions were prepared, and the microstructure, electrical and mechanical properties of the related materials were measured. When the proportion of acrylic acid was too little, it was found difficult to form a stable and transparent polymerizable eutectic solvent, highlighting the necessity of introducing a new hydrogen bond donor to maintain a stable polymerizable eutectic solvent. In addition, the introduction of carboxylate nanocellulose changed the proportion of chemical bonds in the raw material. The introduction of nanocellulose also reduces the transmittance of ultraviolet light because nanocellulose itself is a solid that is opaque to light. Under these conditions, the conductivity of the material reached 5.94 mS/m. The introduction of carboxylated nanocellulose significantly improved the ionic conductivity, while the acrylic acid content decreased which has little hindrance to ionic migration after polymerization. Under these conditions, the maximum stress of the material was 0.06 MPa and the maximum strain was 130%. Carboxylated nanocellulose, with a high aspect ratio, improved the mechanical properties of the ICE. ICE became electricity conductive and a LED light was lit during the stretching process, and was recoverable to the initial state after bending and twisting, with good fatigue resistance. The results proved that the material is functional ionic conductor which is sustainable, and also indicated broad application prospects in flexible transparent electronic products and other fields.

Conclusion The flexible transparent conductive elastomers reinforced by carboxylated nanocellulose were quickly prepared by in-situ polymerization. CCNC is directly derived from natural plants, and the components of PDES are low-cost and easy to obtain, so the manufacturing process of ICE is simple, green and environmentally friendly, without harsh reaction conditions and low cost. CCNC-based ionic conductors have microscopically and macroscopically enhanced multi-stage structures, which not only provide an effective strategy for the preparation of both sustainable and functional ionic conductors, but also show broad application prospects in flexible transparent electronic products and other fields.

Key words: intrinsically ionic conductive elastomer, ternary polymerizable deep eutectic solvent, carboxylated nanocellulose, flexibility, optical transparency

CLC Number: 

  • TS193

Tab.1

Raw material compositions and contents of each sample"

样品编号 AA的量/
mol
OA的量/
mol
CCNC的质量
分数/%
D-ICE/2 2 0 0
D-ICE/1.6 1.6 0 0
D-ICE/1.5 1.5 0 0
T-ICE/2 2 1 0
T-ICE/1.5 1.5 1 0
T-ICE/1 1 1 0
T-ICE/0.5 0.5 1 0
T-C-ICE-2% 0.5 1 2
T-C-ICE-5% 0.5 1 5
T-C-ICE-10% 0.5 1 10
T-C-ICE-15% 0.5 1 15
T-C-ICE-20% 0.5 1 20

Fig.1

Optical images of PDES before and after polymerization. (a) Physical image of two D-PDES;(b) Physical image of D-PDES and T-PDES;(c) Physical image of PDES before and after polymerization"

Fig.2

Infrared spectra (a) and ultraviolet light transmittance(b) of materials"

Fig.3

Electrical properties of ICE. (a) Electrical conductivity of each material without CCNC; (b) Electrical conductivity of each material after adding CCNC; (c) AC impedance diagram of materials after adding CCNC; (d) Content of carboxyl group in CCNC determined by titration"

Fig.4

TEM image of CCNC"

Fig.5

Mechanical properties of ICE"

Fig.6

Stress-strain curves of each material without CCNC (a) and after adding CCNC (b)"

Fig.7

Application of ICE in electronic components. (a) Stretched images of ICE; (b) ICE lighting LED images in initial and stretched states; (c) Bending and twisting images of ICE"

[1] 张团慧, 范萌琦, 王晋, 等. 导电材料的分类及其研究进展[J]. 化工新型材料, 2016, 44(10): 22-24.
ZHANG Tuanhui, FAN Mengqi, WANG Jin, et al. Classification and research progress of conductive materials[J]. New Chemical Materials, 2016, 44(10): 22-24.
[2] ZHANG P, GUO W, GUO Z, et al. Dynamically crosslinked dry ion-conducting elastomers for soft iontronics[J]. Advanced Materials (Deerfield Beach, Fla.), 2021. DOI:10.1002/adma.202101396.
[3] RYOTA T, KEI H, TATSUHIRO H, et al. Self-healing micellar ion gels based on multiple hydrogen bonding[J]. Advanced Materials, 2018. DOI:10.1002/adma.201802792.
[4] 张庆, 黄继军. 离子导电弹性体黏合剂的进展及应用[J]. 中国胶粘剂, 2024, 33(2): 1-21.
ZHANG Qing, HUANG Jijun. The progress and application of ion conductive elastomer binder[J]. China Adhesives, 2024, 33(2): 1-21.
[5] FENG B, ZHANG Y, ZEN N, et al. A mechanically robust and highly stretchable cross-linked dual-ionic conductive elastomer[J]. Chemical Engineering Journal, 2023. DOI: 10.1016/j.cej.2023.145497.
[6] 李楠, 高党鸽, 吕斌, 等. 皮胶原在柔性智能可穿戴领域的研究进展[J/OL]. 化工进展, 2024, 43(5): 2645-2660.
LI Nan, GAO Dangge, LV Bin, et al. References on research progress in the field of intelligent flexible wearable[J/OL]. Chemical Engineering Progress, 2024, 43(5): 2645-2660.
[7] LI S, SHUAI P, WANG A, et al. Tailoring the interfacial interaction of collagen fiber/waterborne polyurethane composite via plant polyphenol for mechanically robust and breathable wearable sub-strate[J]. Composites Part A, 2023. DOI: 10.1016/j.compositesa.2023.107810.
[8] 程斌, 陈家祥, 曹凌云, 等. 柔性触觉传感电子皮肤研究进展[J]. 科学通报, 2024, 69(20): 2978-2999.
CHENG Bin, CHEN Jiaxiang, CAO Lingyun, et al. Flexible tactile sensor electronic skin research pro-gress[J]. Chinese Science Bulletin, 2024, 69(20): 2978-2999.
[9] LIU J, WANG W, LI H, et al. Recent progress in fabrications, properties and applications of multifunctional conductive hydrogels[J]. European Polymer Journal, 2024. DOI: 10.1016/j.eurpolymj.2024.112895.
[10] WAN Z, QU R, SUN Y, et al. Physically crosslinked polyvinyl alcohol, phytic acid and glycerol hydrogels for wearable sensors with biocompatibility, antimicrobial stability and anti-freezing[J]. European Polymer Journal, 2024. DOI: 10.1016/j.eurpolymj.2024.112974.
[11] HANSEN B, SPITTLE S, CHEN B, et al. Deep eutectic solvents: a review of fundamentals and applications[J]. Chemical Reviews, 2020, 121(3): 1232-1285.
[12] ABBOTT A, CAPPER G, DAVIES D, et al. Novel solvent properties of choline chloride/urea mixtures[J]. Chemical Communications, 2003(1):70-71.
pmid: 12610970
[13] LI X, LIU J, GUO Q, et al. Polymerizable deep eutectic solvent-based skin-like elastomers with dynamic schemochrome and self-healing ability[J]. Small, 2022. DOI: 10.1002/smll.202201012.
[14] LI R, CHEN G, FAN T, et al. Transparent conductive elastomers with excellent autonomous self-healing capability in harsh organic solvent environments[J]. Journal of Materials Chemistry A, 2020, 8(10): 5056-5061.
[15] LI X, NING C, LI L, et al. Fabricating lignin-containing cellulose nanofibrils with unique properties from agricultural residues with assistance of deep eutectic solvents[J]. Carbohydrate Polymers, 2021. DOI: 10.1016/j.carbpol.2021.118650.
[16] 严忠杰, 丁世杰, 李维浩, 等. 纳米纤维素增强双网络介导水凝胶的制备及性能[J]. 纺织高校基础科学学报, 2022, 35(4): 16-22.
YAN Zhongjie, DING Shijie, LI Weihao, et al. Preparation and properties of nanocellulose enhanced double network mediated hydrogels[J]. Journal of Basic Science of Textile Universities, 2022, 35(4): 16-22.
[17] 王春芬, 胡香玉, 庄晓莎. 纳米纤维素在柔性电子器件的应用进展[J]. 纤维素科学与技, 2024, 32(1): 77-83.
WANG Chunfen, HU Xiangyu, ZHUANG Xiaosha. Application progress of nano cellulose in flexible electronics[J]. Journal of Cellulose Science and Technology, 2024, 32(1): 77-83.
[18] YUAN Z, ZHOU B, YUAN K, et al. High-aligned oppositely-charged nanocellulose/MXene aerogel membranes through synergy of directional freeze-casting and structural densification for osmotic-energy harves-ting[J]. Nano Energy, 2024. DOI: 10.1016/j.nanoen.2024.109450.
[19] LAI C, YU S. 3D printable strain sensors from deep eutectic solvents and cellulose nanocrystals[J]. ACS Applied Materials Interfaces, 2020, 12(30): 34235-34244.
[20] 林涛, 李杰, 殷学风, 等. 纤维素纳米晶体改性及应用研究进展[J]. 中国造纸, 2023, 42(9): 113-124,144.
LIN Tao, LI Jie, YIN Xuefeng, et al. Research progress on modification and application of cellulose nanocrystals[J]. China Paper, 2023, 42(9): 113-124,144.
[21] 吴坤泽. 纳米纤维素基复合碳气凝胶在柔性电子器件中的应用[D]. 广东: 华南理工大学, 2020: 8-15.
WU Kunze. Application of nanocellulosic composite carbon aerogel in flexible electronic devices[D]. Guangdong: South China University of Technology, 2020: 8-15.
[22] 朱顺顺, 木泰华, 孙红男. 纤维素纳米晶制备方法及应用研究进展[J]. 核农学报, 2022, 36(1): 174-182.
doi: 10.11869/j.issn.100-8551.2022.01.0174
ZHU Shunshun, MU Taihua, SUN Hongnan. Research progress on preparation methods and application of cellulose nanocrystals[J]. Chinese Journal of Nuclear Agriculture, 2022, 36(1): 174-182.
[23] DAI S, CHU Y, LIU D, et al. Intrinsically ionic conductive cellulose nanopapers applied as all solid dielectrics for low voltage organic transistors[J]. Nature Communications, 2018, 9(1): 1-10.
[24] 岑钰. 柠檬酸水解结合高压微射流优化制备纳米纤维素的研究[D]. 广东: 华南理工大学, 2022: 21-24.
CEN Yu. Study on preparation of nanocelluloses by citric acid hydrolysis combined with high pressure microjet[D]. Guangdong: South China University of Technology, 2022: 21-24.
[25] 宁晨汐, 张潇, 江闯, 等. 纳米纤维素-可聚合低共熔溶剂离子导电弹性体的制备及性能研究[J]. 中国造纸, 2023, 42(5):43-49.
NING Chenxi, ZHANG Xiao, JIANG Chuang, et al. Preparation and properties of nanocellulose ionic conductive elastomer with polymerizable eutectic sol-vent[J]. Chinese Paper Making, 2023, 42(5):43-49.
[26] 丛晓波, 华一新, 吴振, 等. 乙酰胺-氯化锌新型离子液体的合成及物化性质[J]. 化学研究, 2011, 22(4): 41-45.
CONG Xiaobo, HUA Yixin, WU Zhen, et al. Acetamide-new zinc chloride synthesis and physical and chemical properties of ionic liquid[J]. Journal of Chemical Research, 2011, 22(4): 41-45.
[1] GAO Yiping, LI Yichen, WANG Xiaohui, LIU Guojin, ZHOU Lan, SHAO Min, SHAO Jianzhong. Preparation and properties of flexible structural color film based on immobilization of liquid photonic crystals [J]. Journal of Textile Research, 2022, 43(12): 1-7.
[2] ZHANG Hengyu, ZHANG Xiansheng, XIAO Hong, SHI Meiwu. Research progress of two-dimensional carbide in field of flexible electromagnetic absorbing [J]. Journal of Textile Research, 2020, 41(03): 182-187.
[3] ZHEN Qi, ZHANG Heng, ZHU Feichao, SHI Jianhong, LIU Yong, ZHANG Yifeng. Fabrication and properties of polypropylene/polyester bicomponent micro-nanofiber webs via melt blowing process [J]. Journal of Textile Research, 2020, 41(02): 26-32.
[4] YANG Xiaobing, YANG Guang, TAN Wenli, GUO Jingwen, DING Songtao, ZHONG Jinyi. Impact of latest development trend of international standardization on GB 24539—2009 for chemical protective clothing [J]. Journal of Textile Research, 2019, 40(06): 165-170.
[5] . Novel test method and optimization for characterizing the flexibility of monofilaments [J]. JOURNAL OF TEXTILE RESEARCH, 2017, 38(11): 27-31.
[6] . Softening treatment of cotton-straw bast fibers by oxalic acid [J]. Journal of Textile Research, 2016, 37(3): 21-24.
[7] . Advances in research of ergonomic evaluation for protective clothing [J]. JOURNAL OF TEXTILE RESEARCH, 2014, 35(1): 158-0.
[8] CHEN ZHIHUA;WU Peiyun. Effect of blending ratio on the bending property of cotton and bamboo / cotton mixed fabric [J]. JOURNAL OF TEXTILE RESEARCH, 2010, 31(3): 50-54.
[9] CHU Yong-mei;WANG Qi;WANG Guo-he. Flexibility test and analysis of pure bamboo pulp yarns and blended yarns [J]. JOURNAL OF TEXTILE RESEARCH, 2006, 27(2): 68-70.
Viewed
Full text


Abstract

Cited

  Shared   
  Discussed   
No Suggested Reading articles found!