Journal of Textile Research ›› 2025, Vol. 46 ›› Issue (02): 188-196.doi: 10.13475/j.fzxb.20240904001

• Dyeing and Finishing Engineering • Previous Articles     Next Articles

Preparation and performance of flame-retardant viscose fabrics with both mechanical and efficient flame-retardant properties

SONG Wanmeng1,2,3, WANG Baohong1,2,3, SUN Yu1,2,3, YANG Jiaxiang1,2,3, LIU Yun1,2,3(), WANG Yuzhong4   

  1. 1. College of Textiles & Clothing, Qingdao University, Qingdao, Shandong 266071, China
    2. Institute of Functional Textiles and Advanced Materials, Qingdao University, Qingdao, Shandong 266071, China
    3. National Engineering Research Center for Advanced Fire-Safety Materials Development & Application (Shandong), Qindao University, Qingdao, Shandong 266071, China
    4. College of Chemistry, Sichuan University, Chengdu, Sichuan 610064, China
  • Received:2024-09-23 Revised:2024-11-06 Online:2025-02-15 Published:2025-03-04
  • Contact: LIU Yun E-mail:yliu@qdu.edu.cn

Abstract:

Objective Viscose fabrics, known for their breathability, dyeability, and comfort as renewable cellulose-based textiles, have found widespread use in daily life. However, viscose fabrics retain the flammable nature of cellulose-based materials, with a limiting oxygen index (LOI) of only about 18.5%. As their usage grows, so does the potential fire hazard they pose. Therefore, the flame-retardant finishing of viscose fabrics is crucial to safeguard human lives and property. Furthermore, viscose fabrics often have lower tensile strength, and most flame retardants are acidic, potentially compromising the fabric's strength during finishing. Hence, achieving flame retardancy while maintaining mechanical properties is a highly significant challenge.

Method Phytic acid (PA) and maltitol were mixed in a three-necked flask with specific molar ratios i.e., 1∶1, 1∶2, 1∶3, 1∶4, and 1∶5, and reacted under magnetic stirring at 130 ℃ for 3 h to produce the flame retardant, named PAMAab (ab presents the molar ratio of PA to maltitol). PAMA was dissolved in water to prepare aqueous solutions of 100 g/L and 200 g/L, respectively. Then, viscose fabrics were soaked in the flame-retardant solution with a bath ratio of 1∶20, and 5% sodium hypophosphite was added as a stabilizer. The flame retardant was applied to viscose fabrics using a pad-dry-curing method, in which the viscose fabrics were immersed into the solution at 70 ℃ for 20 min, then pre-dried at 80 ℃ for 3 min, followed by curing at 170 ℃ for 3 min to obtain the flame retardant treated viscose fabrics.

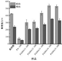
Results To prepare the flame-retardant treated viscose fabrics with better flame retardancy and mechanical properties, the effect of different molar ratios of PA to maltitol on the flame retardancy and mechanical properties of treated viscose fabrics was investigated in detail. The results indicated that the flame-retardant treated viscose fabrics achieved an improved balanced combination of the flame retardancy and mechanical properties when the molar ratio of PA to maltitol was 1∶3. Scanning electron microscope results showed that the flame retardant and PAMA successfully covered the surface of the fibers without noticeably blocking the orifices between them. With a flame-retardant concentration of 100 g/L, LOI value of the PAMA13-100 treated viscose fabric increased from 18.5% to 30.1%, enabling self-extinguishing with no after-flame or after-glow time. Thermal stability analysis revealed that PAMA13-100 exhibited reduced thermal stability in the low-temperature range but improved thermal stability in higher temperature zones, with a significant increase in char residues at 700 ℃. The peak heat release rate and total heat release of PAMA13-100 were decreased by 83% and 51%, respectively, and total smoke production was decreased from 3.3 m2 to 0.2 m2. PAMA13-100 demonstrated denser and more stable residual chars after cone calorimeter test, effectively preventing further flame spread and greatly enhancing the fire safety of finished viscose fabrics. Additionally, it is noteworthy that the tensile strength retention in warp direction of PAMA13-100 approached 100%, nearly 400% higher compared with that of fabrics treated with pure PA, and the tensile strength in weft direction arrived at 114%, ensuring the secured subsequent processing and use of finished viscose fabrics. This system enabled the finished viscose fabrics to achieve a UPF value of over 40, meeting the requirements for ultraviolet protection textiles and demonstrating potential as a multifunctional product.

Conclusion In conclusion, the flame retardant, PAMA, enhanced the flame retardancy and tensile strength retention of viscose fabrics treated with PA-based flame retardants through the pad-dry-curing finishing process. This system exhibited self-extinguishing properties without after-glow or after-flame time when the weight gain was 10.1%, and it effectively reduced smoke release. It can be applied to carpets, curtains, and other textiles. In subsequent research, efforts will focus on optimizing and improving its washing durability to achieve higher practical value.

Key words: viscose fabric, bio-based flame retardant, flame retardancy, tensile strength, phytic acid, maltitol, functional textile

CLC Number: 

  • TS195.2

Fig.1

Ideal reaction equation for phytic acid and maltitol"

Tab.1

VFT and LOI test data of control and flame-retardant viscose fabrics"

样品 增重
率/%
续燃时
间/s
阴燃时
间/s
损毁长
度/mm
LOI值/
%
原粘胶织物 0 24 40 300 18.5
PA-100 10.5 0 0 53 38.2
PAMA11-100 7.2 0 0 155 29.8
PAMA12-100 8.8 0 0 161 29.6
PAMA13-100 10.1 0 0 97 30.1
PAMA14-100 5.9 18 0 300 26.4
PAMA15-100 5.7 14 0 300 26.6

Fig.2

Breaking force of control and flame-retardant viscose fabrics"

Fig.3

SEM images of control and flame-retardant viscose fabrics.(a)Control;(b)PA-200;(c)PAMA13-100;(d)PAMA13-200"

Tab.2

Data from TG and DTG curves of control and flame-retardant viscose fabrics in air and N2"

气体
氛围
样品 T5%/
Tmax1/
Rmax1/
(%·℃-1)
Tmax2/
Rmax2/
(%·
-1)
700 ℃
时残
炭量/
%
原粘胶织物 156 343 1.25 8.5
氮气 PA-200 202 230 0.46 43.7
PAMA13-100 227 255 0.47 43.0
PAMA13-200 216 246 0.44 44.0
原粘胶织物 183 323 0.84 460 0.27 1.0
空气 PA-200 208 228 0.46 509 0.17 9.4
PAMA13-100 224 262 0.48 501 0.20 12.7
PAMA13-200 227 254 0.47 503 0.13 21.5

Fig.4

TG and DTG curves of control and flame-retardant viscose fabrics in N2 (a) and air (b)"

Fig.5

HRR (a), THR (b), COP (c), CO2P (d), SPR (e), and TSP (f) curves of control and flame-retardant viscose fabrics"

Tab.3

Detailed data of CCT for control and flame-retardant viscose fabrics"

样品 TTI/s PHRR/
(kW·m-2)
THR/
(MJ·m-2)
TSP/
m2
原粘胶织物 27 171 5.9 3.3
PA-200 - 15 2.9 0.2
PAMA13-100 25 29 2.9 0.2
PAMA13-200 - 12 2.2 0.9

Fig.6

Digital photos and SEM images of char residues in Control and flame-retardant viscose fabrics after CCT.(a) Char residues in control; (b) Char residues in PA-100; (c)Char residues in PAMA13-100"

Tab.4

Ultraviolet resistance of control and flame-retardant viscose fabrics"

样品 UVA
透过率/%
UVB
透过率/%
UPF值
原粘胶织物 19.75 24.74 8.35
PAMA13-100 4.33 4.28 45.70
PAMA13-200 4.52 3.45 48.21
[1] 张超, 蒋之铭, 朱少彤, 等. 超支化磷酰胺在粘胶织物阻燃整理中的应用[J]. 纺织学报, 2021, 42(7): 39-45.
ZHANG Chao, JIANG Zhiming, ZHU Shaotong, et al. Application of hyperbranched phosphoramide in flame retardant finishing of viscose fabrics[J]. Journal of Textile Research, 2021, 42(7): 39-45.
[2] 马君志, 葛红, 王冬, 等. 溶胶-凝胶法改性阻燃粘胶纤维的制备及其性能[J]. 纺织学报, 2021, 42(1): 10-15.
MA Junzhi, GE Hong, WANG Dong, et al. Preparation and properties of sol-gel modified flame retardant viscose fiber[J]. Journal of Textile Research, 2021, 42(1): 10-15.
[3] 张姣姣, 李雨洋, 刘云, 等. 棉/粘胶混纺织物的阻燃抗菌整理[J]. 纺织学报, 2021, 42(7): 31-38.
ZHANG Jiaojiao, LI Yuyang, LIU Yun, et al. Flame retardant and antibacterial treatments for cotton-viscose blended fabrics[J]. Journal of Textile Research, 2021, 42(7): 31-38.
[4] 徐英俊, 王芳, 倪延朋, 等. 纺织品的阻燃及多功能化研究进展[J]. 纺织学报, 2022, 43(2): 1-9.
XU Yingjun, WANG Fang, NI Yanpeng, et al. Research progress on flame-retardation and multi-functionalization of textiles[J]. Journal of Textile Research, 2022, 43(2): 1-9.
[5] 全凤玉, 纪全, 夏延致, 等. 阻燃粘胶纤维的研究及其进展[J]. 纺织学报, 2004, 25(1): 121-123.
QUAN Fengyu, JI Quan, XIA Yanzhi, et al. Research and advancement of flame-retardant fiber of regenerated cellulose[J]. Journal of Textile Research, 2004, 25(1): 121-123.
[6] SONG W M, ZHANG L Y, LI P, et al. The fabrication of flame-retardant viscose fabrics with phytic acid-based flame retardants: balancing efficient flame retardancy and tensile strength[J]. International Journal of Biological Macromolecules, 2024.DOI:10.1016/j.ijbiomac.2024.129596.
[7] LI P, WANG B, LIU Y Y, et al. Fully bio-based coating from chitosan and phytate for fire-safety and antibacterial cotton fabrics[J]. Carbohydrate Polymers, 2020.DOI:10.1016/j.carbpol.2020.116173.
[8] 李平, 朱平, 刘云. 壳聚糖基膨胀阻燃涤纶/棉混纺织物的制备及其性能[J]. 纺织学报, 2024, 45(2): 162-170.
LI Ping, ZHU Ping, LIU Yun. Preparation and properties of flame-retardant polyester-cotton fabrics with chitosan-based intumescent flame retardant system[J]. Journal of Textile Research, 2024, 45(2): 162-170.
[9] 蒋之铭, 张超, 张晨曦, 等. 磷酸酯化聚乙烯亚胺阻燃粘胶织物的制备与性能[J]. 纺织学报, 2023, 44(6):161-167.
JIANG Zhiming, ZHANG Chao, ZHANG Chenxi, et al. Preparation and properties of flame-retardant viscose fabrics modified with phosphated polyethylenei-mine[J]. Journal of Textile Research, 2023, 44(6): 161-167.
[10] FANG Y C, SUN W H, LI J W, et al. Eco-friendly flame retardant and dripping-resistant of polyester/cotton blend fabrics through layer-by-layer assembly fully bio-based chitosan/phytic acid coating[J]. International Journal of Biological Macromolecules, 2021, 175: 140-146.
doi: 10.1016/j.ijbiomac.2021.02.023 pmid: 33556399
[11] SONG F, ZHAO Q, ZHU T Y, et al. Biobased coating derived from fish scale protein and phytic acid for flame-retardant cotton fabrics[J]. Materials & Design, 2022.DOI:10.1016/j.matdes.2022.110925.
[12] 蒋琦, 刘云, 朱平. 茶多酚基阻燃/防紫外线棉织物的制备及其性能[J]. 纺织学报, 2023, 44(2): 222-229.
JIANG Qi, LIU Yun, ZHU Ping. Preparation and properties of flame retardant/anti-ultraviolet cotton fabrics with tea polyphenol based flame retardants[J]. Journal of Textile Research, 2023, 44(2): 222-229.
[13] SONG W M, ZHANG L Y, LI P, et al. High-efficient flame-retardant finishing of cotton fabrics based on phytic acid[J]. International Journal of Molecular Sciences, 2023. DOI:10.3390/ijms24021093.
[14] ZHANG Z H, MA Z Y, LENG Q, et al. Eco-friendly flame retardant coating deposited on cotton fabrics from bio-based chitosan, phytic acid and divalent metal ions[J]. International Journal of Biological Macromolecules, 2019, 140: 303-310.
doi: S0141-8130(19)33223-4 pmid: 31415853
[15] ZHU W J, HAO S S, YANG M Y, et al. A synergistic flame retardant of glycosyl cross-linking boron acid and ammonium salt of phytic acid to enhance durable flame retardancy of cotton fabrics[J]. Cellulose, 2020, 27(16): 9699-9710.
[16] CHEN F, QI P, LIU J, et al. Rationally designed lentinan outer layer to improve the comprehensive performance of flame-retardant cotton fabrics[J]. Chemical Engineering Journal, 2023. DOI:10.1016/j.cej.2023.146427.
[17] LI P, LIU C, WANG B, et al. Eco-friendly coating based on an intumescent flame-retardant system for viscose fabrics with multi-function properties: flame retardancy, smoke suppression, and antibacterial properties[J]. Progress in Organic Coatings, 2021.DOI:10.1016/j.porgcoat.2021.106400.
[1] CUI Fang, ZHANG Xinqing, YIN Fei, LI Dawei, LEI Miaomiao, XIE Zhiyong. Urea-free printing on viscose fabrics using Reactive Red 24 by foam fed alkali [J]. Journal of Textile Research, 2025, 46(02): 138-144.
[2] GUO Qing, MAO Yangshun, REN Yajie, LIU Jimin, WANG Huaifang, ZHU Ping. Simultaneous in-situ dyeing and flame retardant functionalization of wool fabrics based on laccase catalysis [J]. Journal of Textile Research, 2025, 46(02): 161-169.
[3] ZHANG Jie, GUO Xinyuan, GUAN Jinping, CHENG Xianwei, CHEN Guoqiang. Modification of cotton fabric by in-situ deposition of phosphorus/nitrogen flame retardants for durable flame retardancy [J]. Journal of Textile Research, 2025, 46(02): 180-187.
[4] YUAN Huabin, WANG Yifeng, WANG Jiapeng, XIANG Yongxuan, CHEN Guoqiang, XING Tieling. Modification of cotton fabrics by behenic acid and ZIF-8 for superhydrophobic and anti-icing performance [J]. Journal of Textile Research, 2025, 46(02): 197-206.
[5] LI Xin, YE Peipei, ZHAO Xiaoman, WANG Hongbo, YANG Guorong, HONG Jianhan. Preparation and properties of bismuth oxide-silicone rubber-based X-ray protective fabrics [J]. Journal of Textile Research, 2025, 46(02): 227-235.
[6] XIAO Xin, LI Wei, LU Run, JIANG Huiyu, LI Qing. Scouring and bleaching of cotton nonwoven fabrics using plasma-assisted hydrogen peroxide activation system [J]. Journal of Textile Research, 2024, 45(12): 118-127.
[7] HUANG Tiantian, SONG Yuanzhu, ZHAO Bin. Tannic acid-based flame retardant multifunctional coating for surface finishing Lyocell fabrics [J]. Journal of Textile Research, 2024, 45(12): 152-158.
[8] GUAN Yu, WANG Dong, GUO Yifang, FU Shaohai. Preparation and properties of MoS2/MXene flame retardant gas sensitive cotton fabrics [J]. Journal of Textile Research, 2024, 45(12): 159-165.
[9] WANG Xinyu, GUO Mingming, ZHANG Lele, ZHENG Weijie, AMJAD Farooq, WANG Zongqian. Preparation and performance analysis of durable antimicrobial and superhydrophobic cotton fabrics [J]. Journal of Textile Research, 2024, 45(11): 170-177.
[10] ZHAO Qiang, LIU Zhengjiang, GAO Xiaoping, ZHANG Yunting, ZHANG Hong. Functionality of cotton fabrics finished by montmorillonite combined with TiO2 [J]. Journal of Textile Research, 2024, 45(09): 121-128.
[11] LIU Hui, LI Ping, ZHU Ping, LIU Yun. Preparation and properties of flame retardant and antibacterial cotton fabrics treated by γ-urea-propyltriethoxysilane/phenylphosphonic acid [J]. Journal of Textile Research, 2024, 45(08): 205-214.
[12] HE Mantang, GUO Junze, WANG Liming, QIN Xiaohong. Simulation of coupled thermal-moisture transfer in cross-section of nanofiber core-spun yarns [J]. Journal of Textile Research, 2024, 45(08): 142-149.
[13] XU Yusong, ZHOU Jie, GAN Jiayi, ZHANG Tao, ZHANG Xianming. Preparation of phosphorus and nitrogen containing waterborne polyurethane and its application in polyester fabrics for flame retardant finishing [J]. Journal of Textile Research, 2024, 45(07): 112-120.
[14] LI Xu, LIU Xiangji, JIN Xin, YANG Chenghao, DONG Chaohong. Preparation of durable and efficient P/N synergical flame retardant and its application on cotton fabrics [J]. Journal of Textile Research, 2024, 45(07): 121-129.
[15] MA Yiping, FAN Wuhou, HU Xiao, WANG Bin, LI Linhua, LIANG Juan, WU Jinchuan, LIAO Zhengke. Preparation and application of durable aqueous organic-inorganic hybrid fluorine-free water-repellant finishing agents [J]. Journal of Textile Research, 2024, 45(06): 113-119.
Viewed
Full text


Abstract

Cited

  Shared   
  Discussed   
No Suggested Reading articles found!