Journal of Textile Research ›› 2020, Vol. 41 ›› Issue (11): 81-88.doi: 10.13475/j.fzxb.20200101308

• Dyeing and Finishing & Chemicals • Previous Articles     Next Articles

Effect of anthraquinone additive on properties of glycol solvent degummed ramie fibers

QU Yongshuai1,2, SHI Zhaohe1,2, ZHANG Ruiyun1,2,3(), ZHAO Shuyuan1,2, LIU Liu3   

  1. 1. College of Textiles, Donghua University, Shanghai 201620, China
    2. Key Laboratory of Textile Science & Technology,Ministry of Education, Donghua University, Shanghai 201620, China
    3. Innovation Center for Textile Science and Technology, Donghua University, Shanghai 201620, China
  • Received:2020-01-08 Revised:2020-03-10 Online:2020-11-15 Published:2020-11-26
  • Contact: ZHANG Ruiyun E-mail:ryzhang@dhu.edu.cn

Abstract:

In order to solve the problem of property degradation of ramie fiber due to easy oxidation during degumming process using glycol organic solvent, anthraquinone (AQ) as degumming additive was used with glycol solvent. The properties of fibers prepared with different amounts of AQ were characterized, including polymerization degree, crystallinity, hemicellulose contents, physical and mechanical properties, and so on. The results show that the hemicellulose contents increase when AQ concentration arises. Meanwhile, the polymerization degree value, crystallinity, physical and mechanical properties of fiber show formation of peaks with the increase of AQ content. Under the best AQ mass fraction of 0.3%, the polymerization degree value, crystallinity, yield, tenacity, elongation and fracture work of fiber increase by 7.32%, 20.53%, 1.46%, 9.55%, 6.89%, 33.33%, respectively, while the residual gum content and density of fiber decrease by 17.91%, 7.24%, respectively.

Key words: ramie, glycol, anthraquinone, degumming, cellulose, hemicellulose, lignin

CLC Number: 

  • S563.1

Fig.1

Oxidation of hydroxyl group in glucose ring"

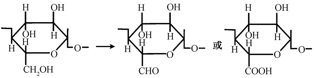
Fig.2

Peeling reaction of cellulose"

Fig.3

Stopping reaction of cellulose"

Fig.4

Reaction among anthraquinone,carbohydrates and lignin"

Tab.1

Chemical composition and yield of ramie fiber treated with and without anthraquinone%"

类型 纤维素 半纤维素 木质素 其他 制成率
未加蒽醌 95.98 2.28 0.42 1.32 74.2
添加蒽醌 96.70 2.69 0.33 0.28 75.3

Fig.5

Effect of AQ mass fraction on hemicellulose contents and DP value of fiber"

Fig.6

Effect of AQ mass fraction on density and residual gum content of fibers"

Fig.7

Effect of AQ mass fraction on X-ray diffraction curves of fibers"

Fig.8

Effect of AQ mass fraction on fiber crystallinity"

Fig.9

Effect of AQ mass fraction on physical and mechanical properties of fibers"

Fig.10

FT-IR pattern of raw ramie and ramie fibers with different treatments"

Fig.11

Effect of AQ on degumming rate"

Tab.2

Effect of AQ on fiber properties in different stages of degumming"

阶段 蒽醌质量分数/% 残胶率/% 制成率/% 半纤维素含量/% 线密度/dtex 断裂强度/(cN·dtex-1) 断裂伸长率/%
升温阶段 0 7.82 77.34 4.53 7.23 6.27 2.01
(0~60 min) 0.3 6.23 75.93 3.96 6.99 6.02 2.32
保温阶段 0 4.02 74.20 2.28 6.88 6.44 2.71
(60~120 min) 0.3 3.30 75.10 2.76 6.39 7.12 2.92
[1] 熊和平. 我国麻类生产的现状与政策建议[J]. 中国麻业科学, 2010,32(6):301-304.
XIONG Heping. The production status and policy suggestion of bast and leaf fiber crops in china[J]. Plant Fiber Sciences in China, 2010,32(6):301-304.
[2] QI H, CHEN H, MAO K, et al. Investigation of the structure of ramie fibers by enzymatic peeling[J]. Cellulose, 2019,26(5):2955-2968.
[3] 孟超然, 毕雪蓉, 李佳蔚, 等. 丹蒽醌对氧化脱胶苎麻纤维理化性能的调控[J]. 纺织学报, 2018,39(2):78-85.
MENG Chaoran, BI Xuerong, LI Jiawei, et al. Control of physical and chemical properties of oxidation degummed ramie fiber with 1,8-dihydroxyanthraquinone[J]. Journal of Textile Research, 2018,39(2):78-85.
[4] QU Y, YIN W, ZHANG R, et al. Isolation and characterization of cellulosic fibers from ramie using organosolv degumming process[J]. Cellulose, 2020,27(3):1225-1237.
[5] FAN X S, LIU Z W, LIU Z T, et al. A novel chemical degumming process for ramie bast fiber[J]. Textile Research Journal, 2010,80(19):2046-2051.
doi: 10.1177/0040517510373632
[6] 成莉凤, 刘正初, 冯湘沅, 等. 苎麻脱胶果胶复合酶的优选及其效果分析[J]. 纺织学报, 2017,38(6):64-68.
CHENG Lifeng, LIU Zhengchu, FENG Xiangyuan, et al. Screening on compound pectinase for ramie degumming and its effect analysis[J]. Journal of Textile Research, 2017,38(6):64-68.
[7] MUKHOPADHYAY A, DUTTA N, CHATTOPADHYAY D, et al. Degumming of ramie fiber and the production of reducing sugars from waste peels using nanoparticle supplemented pectate lyase[J]. Bioresource Technology, 2013,137:202-208.
doi: 10.1016/j.biortech.2013.03.139 pmid: 23587821
[8] ZHANG Q, YAN S. Degumming of ramie bast fibers by Ca2+-activated composite enzyme [J]. Journal of The Textile Institute, 2013,104(1):78-83.
[9] MENG C, YANG J, ZHANG B, et al. Rapid and energy-saving preparation of ramie fiber in TEMPO- mediated selective oxidation system[J]. Industrial Crops and Products, 2018,126:143-150.
[10] ZHANG Y, HOU Q, FU Y, et al. One-step fractionation of the main components of bamboo by formic acid-based organosolv process under pressure[J]. Journal of Wood Chemistry and Technology, 2018,38(3):170-182.
[11] JASCHINSKI T, GUNNARS S, BESEMER A C, et al. Oxidized polymeric carbohydrates and products made thereof:US6635755[P]. 2003-10-21.
[12] 张美云, 谭国民. 龙须草自催化乙醇法制浆工艺及反应历程的研究[J]. 中国造纸学报, 2001,16(2):18-23.
ZHANG Meiyun, TAN Guomin. Auto-catalytic ethanol pulping of chinese alpine rush and its reaction course[J]. Transactions of China Pulp and Paper, 2001,16(2):18-23.
[13] 李万利, 罗学刚. 芦苇乙醇法分离木素制浆研究:I[J]. 中华纸业, 2005,26(7):30-33.
LI Wanli, LUO Xuegang. Studies on delignification from reed by ethanol:I[J]. China Pulp & Paper Industry, 2005,26(7):30-33.
[14] NAVAEE-ARDEH S, MOHAMMADI-ROVSHAND EH J, POURJOOZI M. Influence of rice straw cooking conditions in the soda-ethanol-water pulping on the mechanical properties of produced paper sheets[J]. Bioresource Technology, 2004,92(1):65-69.
pmid: 14643987
[15] YU H, XING Y, LEI F, et al. Improvement of the enzymatic hydrolysis of furfural residues by pretreatment with combined green liquor and ethanol organosolv[J]. Bioresource Technology, 2014,167:46-52.
doi: 10.1016/j.biortech.2014.05.111 pmid: 24968111
[16] ZHANG W, YI Z, HUANG J, et al. Three lignocellulose features that distinctively affect biomass enzymatic digestibility under NaOH and H2SO4 pretreatments in Miscanthus[J]. Bioresource Technology, 2013,130:30-37.
doi: 10.1016/j.biortech.2012.12.029 pmid: 23298647
[17] SEGAL L, CREELY J, MARTIN JR A, et al. An empirical method for estimating the degree of crystallinity of native cellulose using the X-ray diffractometer[J]. Textile Research Journal, 1959,29(10):786-794.
[18] 王德骥. 苎麻纤维素化学与工艺学: 脱胶和改性 [M]. 北京: 科学出版社, 2001: 1-20.
WANG Deji. Ramie cellulose chemistry and technology degumming and modification[M]. Beijing: Science Press, 2001: 1-20.
[19] ZIDERMAN I I, BELAYCHE J. Effect of anthraquinones on endwise degradation of hydrocellulose in relation to alkaline pulping[J]. Carbohydrate Polymers, 1986,6(2):109-19.
[20] APRIL G C, NAYAK R G. Method and pulping composition for the selective delignification of lignocellulosic materials with an aqueous amine-alcohol mixture in the presence of a catalyst:US4597830[P]. 1986-07-01.
[21] FUJII J S, WHALLEY W G, SCHMIDT F L. Pretreatment of lignocellulose with anthraquinone prior to pulping: US4127439[P]. 1978-11-28.
[22] 崔锐谦, 黎国康. 蒽醌作苎麻脱胶添加剂的研究[J]. 麻纺织技术, 1981(4):27-34.
CUI Ruiqian, LI Guokang. Study on the use of anthraquinone as additive for ramie degumming[J]. Ramie Textile Science Technology, 1981(4):27-34.
[23] OBST J R. Kinetics of alkaline cleavage of β-Aryl ether bonds in lignin models: significance to delignifica-tion[J]. Holzforschung, 1983,37(1):23-28.
[24] GIERER J, LINDEBERG O, NOREN I. Alkaline delignification in the presence of anthraquinone/anthrahydroquinone[J]. Holzforschung, 1979,33(6):213-214.
[25] LI Z, LI Z, DING R, et al. Composition of ramie hemicelluloses and effect of polysaccharides on fiber properties[J]. Textile Research Journal, 2016,86(5):451-460.
[26] AMIRALIAN N, ANNAMALAI P K, MEMMOTTP, et al. Isolation of cellulose nanofibrils from Triodia pungens via different mechanical methods[J]. Cellulose, 2015,22(4):2483-2498.
[27] JORRAND P, PERDRIX S. Cellulose crystallinity index: measurement techniques and their impact on interpreting cellulase performance[J]. Biotechnology for Biofuels, 2010,3(1):1-10.
doi: 10.1186/1754-6834-3-1 pmid: 20047650
[28] HOYOS C G, ALVAREZ V A, ROJO P G, et al. Fique fibers: enhancement of the tensile strength of alkali treated fibers during tensile load application[J]. Fibers and Polymers, 2012,13(5):632-640.
[29] 张景强, 林鹿, 孙勇, 等. 纤维素结构与解结晶的研究进展[J]. 林产化学与工业, 2008,28(6):109-114.
ZHANG Jingqiang, LIN Lu, SUN Yong, et al. Advance of studies on structure and decrystallization of cellu-lose[J]. Chemistry and Industry of Forest Products, 2008,28(6):109-114.
[30] SONG Y, JIANG W, ZHANG Y, et al. Isolation and characterization of cellulosic fibers from kenaf bast using steam explosion and Fenton oxidation treatment[J]. Cellulose, 2018,25(9):4979-4992.
[1] YUAN Jiugang, JI Ji, XUE Qi, JIANG Zhe, FAN Xuerong, GAO Weidong. Dissolution and regeneration of wool keratin in choline thioglycolate [J]. Journal of Textile Research, 2021, 42(01): 35-39.
[2] JIN Linlin, TIAN Junkai, LI Jiawei, QI Dongming, SHEN Xiaowei, WU Chuntao. Synthesis and properties of biodegradable polyglycolic acid oligomer modified polyester [J]. Journal of Textile Research, 2021, 42(01): 16-21.
[3] MA Junzhi, GE Hong, WANG Dong, FU Shaohai. Preparation and properties of sol-gel modified flame retardant viscose fiber [J]. Journal of Textile Research, 2021, 42(01): 10-15.
[4] XIAO Mengyuan, ZHOU Xinke, ZHANG Jiayue, REN Yuanlin. Research progress of bio-based lignin flame retardant and its applications [J]. Journal of Textile Research, 2020, 41(12): 182-188.
[5] LI Junyu, JIANG Peiqing, ZHANG Wenqi, LI Wenbin. Effect of atomic layer deposition technology on functionalization of cellulose membrane [J]. Journal of Textile Research, 2020, 41(12): 26-30.
[6] MA Yue, GUO Jing, YIN Juhui, ZHAO Miao, GONG Yumei. Preparation and characterization of cellulose/dialdehyde cellulose/Antarctic krill protein antibacterial fibers [J]. Journal of Textile Research, 2020, 41(11): 34-40.
[7] LIU Fang, MA Yanxue, CHEN Xiaoguang, LIU Shuhui, ZHANG Yizhen, REN Zhipeng, LI Kangqi, TONG Yixuan, REN Luotong, LI Yuling. Study on process performance of ramie fiber anaerobic biological degumming system [J]. Journal of Textile Research, 2020, 41(11): 89-94.
[8] LU Linna, LI Yonggui, LU Qilin. One-pot synthesis and characterization of aminated cellulose nanocrystals [J]. Journal of Textile Research, 2020, 41(10): 14-19.
[9] PAN Lu, CHENG Tingting, XU Lan. Preparation of polycaprolactone/polyethylene glycol nanofiber membranes with large pore sizes and its application for tissue engineering scaffold [J]. Journal of Textile Research, 2020, 41(09): 167-173.
[10] TANG Feng, YU Houyong, ZHOU Ying, LI Yingzhan, YAO Juming, WANG Chuang, JIN Wanhui. Preparation and property of poly(3-hydroxybutyrate-co-3-hydroxyvalerate) composite films [J]. Journal of Textile Research, 2020, 41(09): 8-15.
[11] YUAN Wei, YAO Yongbo, ZHANG Yumei, WANG Huaping. Alkaline enzyme treatment process for preparation of Lyocell cellulose pulp [J]. Journal of Textile Research, 2020, 41(07): 1-8.
[12] LIU Sijia, YU Qian, WANG Rui, KONG Xianming. Preparation of flexible Au nanoparticle decorated regenerated regenerated cellulose fiber compound and quickly detection of Nile Blue [J]. Journal of Textile Research, 2020, 41(07): 23-28.
[13] LIU Yanchun, BAI Gang. Application of berberine in polyacrylonitrile / cellulose acetate composite fiber dyeing [J]. Journal of Textile Research, 2020, 41(05): 94-98.
[14] WANG Zongqian, YANG Haiwei, ZHOU Jian, LI Changlong. Effect of urea degumming on mechanical properties of silk fibroin aerogels [J]. Journal of Textile Research, 2020, 41(04): 9-14.
[15] MA Junzhi, WANG Dong, FU Shaohai. Preparation and properties of flame-retardant viscose fiber / dithiopyrophosphate incorporated with graphene oxide [J]. Journal of Textile Research, 2020, 41(03): 15-19.
Viewed
Full text


Abstract

Cited

  Shared   
  Discussed   
No Suggested Reading articles found!