Journal of Textile Research ›› 2025, Vol. 46 ›› Issue (01): 16-24.doi: 10.13475/j.fzxb.20231201101

• Fiber Materials • Previous Articles     Next Articles

Process simulation of falling film liquid-state polymerization of polyester

CHEN Shichang1,2(), CAO Junhua1,2, CHEN Wenxing1   

  1. 1. National Engineering Laboratory for Textile Fiber Materials Processing Technology, Zhejiang Sci-Tech University, Hangzhou, Zhejiang 310018, China
    2. Zhejiang Provincial Innovation Center of Advanced Textile Technology, Shaoxing, Zhejiang 312000, China
  • Received:2023-12-08 Revised:2024-04-02 Online:2025-01-15 Published:2025-01-15

Abstract:

Objective This research develops a comprehensive model for enhancing poly(ethylene terephthalate) (PET) production via liquid-state polymerization. By focusing on falling film flow and process simulation, the model aims to optimize the design of falling film reactors and refine the polymerization process, thereby improving the overall efficiency of industrial PET fiber production.

Method A mathematical model for continuous polymerization was developed, focusing on a six-reactor system including five reactors and an additional falling film reactor, based on a specific industrial setup. This model, calibrated with industrial data, defines the input parameters for the falling film reactor. It analyzes changes in key quality metrics like molecular weight and end-group content and explores the influences of temperature and pressure on these metrics within the reactor.

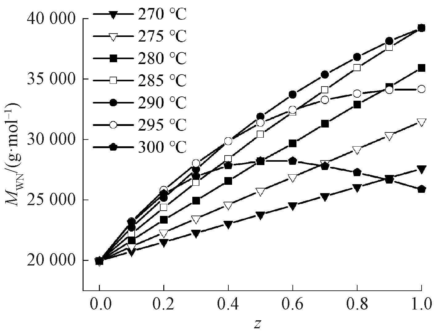
Results In this study, a mathematical model was constructed for a falling film liquid-phase polymerization reactor, tailored to simulate and analyze the distribution of component concentrations and polymer molecular weights within the reactor under varying operational conditions. The model demonstrated high accuracy, particularly under reaction conditions of 287 ℃ and 100 Pa, successfully yielding a product with an intrinsic viscosity (ηintr) value of 1.004 5 dL/g. The ηintr value at the product outlet showed only a 0.05% deviation, demonstrating the model's precision and its ability to reflect the reactor's production process accurately. The model meticulously details the axial distribution of components, showing a decrease in acid and hydroxyl end groups (Ea) and hydroxyl end group (Eg) along the reactor's length, while vinyl end groups (Ev) and degree of polymerization (DPN) increase almost linearly. Notably, the molecular flow rates of small molecules, ethylene glycol quality flow (QEG) and water quality flow (Qw), exhibit a nonlinear response along the reactor length, with an initially high evaporation rate that gradually slows as the reaction proceeds and the DPN increases. Furthermore, the model assesses how molecular weight (MWN) fluctuates with temperature changes, especially in the range of 270-300 ℃. The MWN initially rises with the temperature increase, then declines, particularly when the temperature exceeds 290 ℃, leading to a sharp increase in Ev concentration. At 300 ℃, the concentration of Ea surges dramatically to 40 mmol/kg. Concurrently, the contents of diethylene glycol (DEG) and DEG end groups (EDEG) decrease under these conditions. Under controlled conditions of 270-300 ℃ and 0.01-1.0 kPa, an increase in vacuum level results in a rise in MWN and a reduction in the production of Ea, EDEG, and DEG. This meticulous process optimization was evidenced by the enhanced MWN value of approximately 39 000 g/mol at the outlet, underscoring the model's effectiveness in optimizing PET production.

Conclusion This study established a mathematical model for a polyester falling film liquid-state polymerization reactor, integrating a liquid phase plug flow model, a fully mixed gas phase model, and coupling PET reaction kinetics with gas-liquid mass transfer and high-viscosity fluid dynamics to simulate the polycondensation process. This model reflects the concentration of components and molecular weight distribution inside the vertical falling film reactor, indicative of the degree and progression of high-viscosity molten polymerization, typically challenging to measure online in industrial production. Exploring the relationship between component and molecular weight distribution along the reactor axis could lead to the development of direct spinning processes for polyester products with different intrinsic viscosities. The model also analyzes the impact of reaction temperature and pressure on the molecular weight and end-group content during polymer melt polycondensation, suggesting that controlling reactor temperature (285-290 ℃) and pressure (0.1 kPa) with an input melt viscosity of 0.63 dL/g and carboxyl end group of 31 mmol/kg can produce high-viscosity polyester products with an ηintr value about 1.0 dL/g. Sensitivity analysis of the model to determine optimal operating parameters offers high industrial application value.

Key words: poly(ethylene terephthalate), liquid-state polymerization, reactor, polymerization, process simulation, polymerization process

CLC Number: 

  • TQ343.4

Fig.1

Continuous polymerization process model of polyester"

Tab.1

Comparison between model calculation and plant data of PET five kettle process"

反应釜类别 过程参数 ES/% τ/h MWN/(g·mol-1) [Ea]/(mmol·kg-1) [Eg]/ (mmol·kg-1)
酯化Ⅰ釜 目标值 92.0 2.0 720~980
模拟值 92.9 1.8 917 731 1 255
酯化Ⅱ釜 目标值 96.0 2.0 1 000~1 200
模拟值 95.0 1.9 1 203 520 1 062
预缩Ⅰ釜 目标值 98.5 1.0~2.0 2 800~4 000
模拟值 99.5 1.9 4 632 127 301
预缩Ⅱ釜 目标值 99.4 1~1.5 10 000~12 000
模拟值 99.7 0.9 10 890 55 127
终缩聚釜 目标值 99.9 1~1.2 19 200~21 000 28~32
模拟值 99.8 1.03 19 940 31 68

Tab.2

Outlet concentration in final polymerization process"

参数 符号 取值
反应温度/℃ T 282
数均分子量/(g·mol-1) MWN 19 940
特性黏度/(dL·g-1) ηintr 0.630
动力黏度/(Pa·s) μ 300
端羟基初始浓度/(mmol·kg-1) [Eg]0 68
端羧基初始浓度/(mmol·kg-1) [Ea]0 31
酯基初始浓度/(mmol·kg-1) [Z]0 5 200
乙烯基初始浓度/(mmol·kg-1) [Ev]0 0.048
端二甘醇基初始浓度/(mmol·kg-1) [EDEG]0 0.570
乙二醇初始浓度/(mmol·kg-1) [EG]0 0.025 7
水初始浓度/(mmol·kg-1) [W]0 0.016 2
二甘醇初始浓度/(mmol·kg-1) [DEG]0 0.012 27

Tab.3

Kinetic reactions for polymerization process"

序号 反应方程式
M1 Eg+Eg Z+EG
S2 Eg Ea+AA
S3 Ev+Eg Z+AA
S4 Eg+EG Ea+DEG
S5 Eg+EDEG Z+DEG
S6 Eg+Eg Ea+EDEG
S7 Ea+EG Eg+W
S8 Ea+Eg Z+W
S9 Z Ea+Ev

Fig.2

Schematic diagram of free falling liquid film flow"

Fig.3

Schematic of modeling process for vertical falling film reactor"

Tab.4

Simulation target values and simulation values of PET falling film polymerization reaction"

参数 目标值 模拟值
[Ea]/(mmol·kg-1) 20 16
[Eg]/(mmol·kg-1) 33
[Ev]/(mmol·kg-1) 0.11
[W]/(mmol·kg-1) 0 6.30×10-3
[EDEG]/(mmol·kg-1) 0.28
[Z]/(mmol·kg-1) 5.20×103
[EG]/(mmol·kg-1) 0 9.28×10-3
[DEG]/(mmol·kg-1) 0 2.90×10-3
τ/h 1.000 0 1.063 0
ηintr/(dL·g-1) 1.005 0 1.004 5

Fig.4

Distribution of components of liquid phase polyerization falling film kettle outside tube. (a) DPN and [Ea]; (b) [Eg] and [Ev]; (c) Qw and QEG"

Fig.5

MWN distribution along reactor axis at different temperatures"

Fig.6

Components concentration distribution of polymer along reactor axis at different temperatures"

Fig.7

MWN and components concentration distribution of polymer along reactor axis at different pressure"

[1] 刘海霆. 关于我国聚酯工业发展趋势的分析[J]. 合成技术及应用, 2023, 38(1): 24-27.
LIU Haiting. Analysis on the development trend of polyester industry in China[J]. Synthesis Technology and Application, 2023, 38(1):24-27.
[2] 钱伯章. 我国PET生产现状[J]. 聚酯工业, 2017, 30(1): 5-7,10.
QIAN Bozhang. Production status of PET in China[J]. Polyester Industry, 2017, 30(1): 5-7,10.
[3] 姚军义, 王玉合, 吴旭华, 等. 国内涤纶工业丝发展现状[J]. 合成技术及应用, 2017, 32(2): 26-30.
YAO Junyi, WANG Yuhe, WU Xuhua, et al. Development status of polyester industry filament in China[J]. Synthetic Technology and Application, 2017, 32(2): 26-30.
[4] 陈文兴, 马建平, 王建辉, 等. 涤纶工业丝熔体直纺生产技术的研发[J]. 合成纤维工业, 2013, 36(4): 1-4.
CHEN Wenxing, MA Jianping, WANG Jianhui, et al. Development of melt direct spinning process technology for polyester industrial yarn[J]. Synthetic Fiber Industry, 2013, 36(4): 1-4.
[5] 赵玲, 朱中南. 聚酯熔融缩聚增黏过程的工程分析[J]. 聚酯工业, 2004, 17(1): 1-4.
ZHAO Ling, ZHU Zhongnan. Engineering analysis of viscosity increasing process of polyester melt polycondensation[J]. Polyester Industry, 2004, 17(1): 1-4.
[6] CHEN S, ZHANG L, WANG Y, et al. Residence time distribution of high viscosity fluids falling film flow down outside of industrial-scale vertical wavy wall: experimental investigation and CFD prediction[J]. Chinese Journal of Chemical Engineering, 2019, 27(7): 1586-1594.
[7] WANG Y J, CHEN S C, LIN Q S, et al. Numerical simulation and experimental verification of the film-forming behavior of falling film flow down clamped channels with high-viscosity fluid[J]. Industrial & Engineering Chemistry Research, 2020, 59(44): 19698-19711.
[8] CHEN S, CHEN S, GUANG S, et al. Film reaction kinetics for melt postpolycondensation of poly(ethylene terephthalate)[J]. Journal of Applied Polymer Science, 2020. DOI:10.1002/app.48988.
[9] 吕陈秋, 顾爱军, 张宇航, 等. 基于Aspen Polymer的聚酯聚合反应研究及流程模拟[J]. 化工进展, 2014, 33(5): 1086-1092,1100.
LU Chenqiu, GU Aijun, ZHANG Yuhang, et al. PET polymerization analysis and process simulation with Aspen Polymer[J]. Chemical Industry and Engineering Progress, 2014, 33(5): 1086-1092,1100.
[10] 罗娜. 大型聚酯生产过程智能建模、控制与优化研究[D]. 上海: 华东理工大学, 2010:11-38.
LUO Na. Research on intelligent modeling,control and optimization for poly(ethylene terephalate)process[D]. Shanghai: East China University of Science and Technology, 2010:11-38.
[11] 张素贞, 叶心宇, 陈军. 聚酯工业生产过程模型及仿真[J]. 计算机与应用化学, 1994(4): 258-268.
ZHANG Suzhen, YE Xinyu, CHEN Jun. Modelling and simulation of PET industrial process[J]. Computers and Applied Chemistry, 1994(4): 258-268.
[12] 李文艳. 工业聚酯装置生产过程建模与分析[D]. 杭州: 浙江大学, 2011: 22-49.
LI Wenyan. Modeling and analysis of industrial poly(ethylene terephthalate)plant[D]. Hangzhou: Zhejiang University, 2011: 22-49.
[13] 王金堂, 周兴贵, 赵玲, 等. 五釜工艺聚酯工业装置的稳态模拟[J]. 合成纤维工业, 2012, 35(1): 59-63.
WANG Jintang, ZHOU Xinggui, ZHAO Ling, et al. A steady-state model for five-reactor PET industrial process[J]. Synthetic Fiber Industry, 2012, 35(1): 59-63.
[14] LAUBRIET C, LECORRE B, CHOI K Y. Two-phase model for continuous final stage melt polycondensation of poly(ethylene terephthalate): 1: steady-state analy-sis[J]. Industrial & Engineering Chemistry Research, 1991, 30(1): 2-12.
[15] RIECKMANN T, VÖLKER S. Micro-kinetics and mass transfer in poly(ethylene terephthalate) synthesis[J]. Chemical Engineering Science, 2001, 56(3): 945-953.
[16] 刘向文, 朱中南. 聚对苯二甲酸乙二醇酯缩聚反应动力学研究[J]. 聚酯工业, 1994(4): 5-8; 1995(1):17-21.
LIU Xiangwen, ZHU Zhongnan. Study on the kinetics of polycondensation polymerization of polyethylene terephthalate[J]. Polyester Industry, 1994(4): 5-8; 1995(1):17-21.
[17] RAVINDRANATH K, MASHELKAR R A. Modeling of poly(ethylene terephthalate) reactors[J]. Polymer Engineering & Science, 1982, 22(10): 628-636; 1984, 24(1): 30-41.
[18] SCHEIRS J, LONG T E. Modern polyesters:chemistry and technology of polyesters and copolyesters[M]. New York: John Wiley & Sons, 2005:69-71.
[19] RAVINDRANATH K, MASHELKAR R A. Finishing stages of PET synthesis: a comprehensive model[J]. AIChE Journal, 1984, 30(3): 415-422.
[20] 赵玲, 朱中南, 戴干策. PET缩聚过程反应与传质:Ⅰ:反应动力学研究[J]. 化学反应工程与工艺, 2000(2): 159-163.
ZHAO Ling, ZHU Zhongnan, DAI Gance. Study on reaction and mass transfer:Ⅰ:reaction kinetics of PET polycondensation process[J]. Chemical Reaction Engineering and Technology, 2000(2): 159-163.
[21] 赵玲, 朱中南, 戴干策. PET缩聚过程反应与传质:Ⅱ:传质规律研究[J]. 化学反应工程与工艺, 2000(2): 164-168.
ZHAO Ling, ZHU Zhongnan, DAI Gance. Study on the reaction and mass transfer:II:mass transfer rules of PET polycondensation process[J]. Chemical Reaction Engineering and Technology, 2000(2): 164-168.
[22] RENWEN H, FENG Y, TINZHENG H, et al. The kinetics of formation of diethylene glycol in preparation of polyethylene terephthalate and its control in reactor design and operation[J]. Die Angewandte Makromolekulare Chemie, 1983, 119(1): 159-172.
[1] WEI Yi, XU Hong, ZHONG Yi, ZHANG Linping, MAO Zhiping. Synthesis and application of poly(cyclotriphosphazene-phloroglucinol) microspheres for enhancing flame retardancy of poly(ethylene terephthalate) [J]. Journal of Textile Research, 2025, 46(01): 119-129.
[2] JIANG Mengmin, WANG Yifan, JIN Xin, WANG Wenyu, XIAO Changfa. Effect of pyrrole-conjugated structure on the thermal cycle stability of carbon fiber reinforced resin-based composites [J]. Journal of Textile Research, 2024, 45(10): 23-30.
[3] DENG Gang, ZHANG Tao, WU Chaoping, WANG Jun, ZHANG Lei. Simulation of dry spinning process and cross-section analysis of profiled diacetate fibers [J]. Journal of Textile Research, 2024, 45(09): 42-49.
[4] WEI Peng, LI Zhiqiang, LI Jiaojiao, LI Junhui, LIU Dong, GENG Jiajun. Influence of solid-state polymerization on structure and properties of naphthalene ring structure aromatic liquid crystal copolyester [J]. Journal of Textile Research, 2024, 45(09): 50-55.
[5] KE Wentao, CHEN Ming, ZHENG Chuntian, SHI Xiaoli, ZHU Xinsheng. Preparation and properties of paraffin Pickering emulsion and its microcapsule phase change nonwoven materials [J]. Journal of Textile Research, 2024, 45(07): 130-139.
[6] WU Yuhang, WEI Jianfei, GU Weiwen, WANG Yuping, ZHANG Anying, WANG Rui. Preparation and properties of flame retardant modified polyethylene terephthalate by in-situ polymerization [J]. Journal of Textile Research, 2024, 45(06): 1-10.
[7] SUN Langtao, YANG Yushan. Preparation of thermoregulation and antibacterial microcapsules and its application in cotton fabrics [J]. Journal of Textile Research, 2024, 45(02): 171-178.
[8] ZHOU Xinru, FAN Mengjing, YUE Xinyan, HONG Jianhan, HAN Xiao. Preparation of conductive micro-nano fiber composite yarns and their gas-sensitive properties [J]. Journal of Textile Research, 2024, 45(02): 52-58.
[9] CHEN Yong, YE Mengting, WANG Chaosheng, WU Jing, WANG Huaping. Research progress in performance regulation strategies of polybutylene succinate [J]. Journal of Textile Research, 2024, 45(01): 220-229.
[10] AI Jingwen, LU Dongxing, LIAO Shiqin, WANG Qingqing. Preparation and strain sensing properties of yarn sensor prepared by in-situ freezing interfacial polymerization [J]. Journal of Textile Research, 2024, 45(01): 74-82.
[11] LI Xiutian, SONG Weiguang, ZHANG Liping, DU Changsen, FU Shaohai. Preparation and properties of masterbatch for polyamide dope dyeing [J]. Journal of Textile Research, 2023, 44(11): 45-51.
[12] LI Rui, WANG Mengke, YU Chunxiao, ZHENG Xiaodi, QIU Zhicheng, LI Zhiyong, WU Shufang. Fabrication and properties of polyamide 6/carbon black composite fibers via in situ polymerization [J]. Journal of Textile Research, 2023, 44(10): 1-8.
[13] SHANG Xiaoyu, ZHU Jian, WANG Ying, ZHANG Xianming, CHEN Wenxing. Synthesis and solid-state polymerization of flame retardant copolyester containing phosphorus side groups [J]. Journal of Textile Research, 2023, 44(07): 1-9.
[14] FAN Yangrui, QIAN Jianhua, XU Kaiyang, WANG Ao, TAO Zhenglong. Interfacial polymerization modification of chlorinated polyvinyl chloride/polyvinyl butyral blend membrane [J]. Journal of Textile Research, 2023, 44(07): 33-41.
[15] GUAN Zhenhong, LI Dan, SONG Jinling, LENG Xiangyang, SONG Xiquan. Preparation and properties of dyeable meta-aramid fiber [J]. Journal of Textile Research, 2023, 44(06): 28-32.
Viewed
Full text


Abstract

Cited

  Shared   
  Discussed   
No Suggested Reading articles found!