纺织学报 ›› 2020, Vol. 41 ›› Issue (02): 187-192.doi: 10.13475/j.fzxb.20190304706

• 综合述评 • 上一篇    

新型纺织用生物基抗菌整理剂的研究进展

高雪1,2, 李政1,2,3,4(), 巩继贤1,2,3, 李秋瑾1,2,3, 李凤艳1,2, 张健飞1,2,3   

  1. 1.天津工业大学 纺织科学与工程学院, 天津 300387
    2.天津工业大学 先进纺织复合材料教育部重点实验室, 天津 300387
    3.山东省生态纺织协同创新中心, 山东 青岛 266071
    4.天津中天精科科技有限公司, 天津 300385
  • 收稿日期:2019-03-15 修回日期:2019-10-10 出版日期:2020-02-15 发布日期:2020-02-21
  • 通讯作者: 李政
  • 作者简介:高雪(1995—),女,硕士生。主要研究方向为纺织用抗菌整理剂。
  • 基金资助:
    国家重点研发计划项目(2017YFB0309800);国家重点研发计划项目(2016YFC0400503-02);新疆自治区重大专项资助(2016A03006-3);天津自然科学基金项目(18JCBJC89600);中国纺织工业联合会科技指导性项目(2017011)

Research progress on new bio-antibacterial agents for textiles

GAO Xue1,2, LI Zheng1,2,3,4(), GONG Jixian1,2,3, LI Qiujin1,2,3, LI Fengyan1,2, ZHANG Jianfei1,2,3   

  1. 1. School of Textile Science and Engineering, Tiangong University, Tianjin 300387, China
    2. Key Laboratory for Advanced Textile Composites(Ministry of Education), Tiangong University, Tianjin 300387, China
    3. Collaborative Innovation Center for Eco-Textiles of Shandong Province, Qingdao, Shandong 266071,China
    4. Tianjin Zhongtian Jingke Technology Co., Ltd., Tianjin 300385, China
  • Received:2019-03-15 Revised:2019-10-10 Online:2020-02-15 Published:2020-02-21
  • Contact: LI Zheng

摘要:

为深入了解目前生物基抗菌整理剂的研究进展,分别介绍了微生物基抗菌整理剂ε-聚赖氨酸和灵菌红素,动物基抗菌整理剂复合型壳聚糖、改性壳聚糖和纳米壳聚糖,以及多种类型植物基抗菌整理剂的抗菌机制及性能特点;针对性地介绍了3类抗菌整理剂在纺织领域的应用基础与目前国内外的最新研究进展,分析了其产品的抑菌效果及与传统纺织用抗菌整理剂相比的性能优势;最后总结了这些新型生物基抗菌整理剂仍然存在的问题,并对其在未来的发展方向进行了展望。

关键词: 纺织品, 生物抗菌整理剂, 抗菌机制, 抗菌整理

Abstract:

In order to gain a deeper understanding of the current research progress of bio-based antibacterial finishing agents, this paper introduces the antibacterial mechanisms and performance characteristics of several microbial-based antibacterial finishing agents, including ε-polylysine and prodigiosin, animal-based antibacterial finishing agent complex chitosan, modified chitosan and nano-chitosan and various types of plant-based antibacterial finishing agents. In particular, three types of antibacterial finishing agents used in treating textiles were introduced together with the latest research progress worldwide, and the antibacterial effect of the products and the performance advantages were compared with the traditional antibacterial finishing agent for textiles. Problems associated with these new bio-based antibacterial finishing agents were identified and trend for future development was indicated.

Key words: textile, biological antibacterial finishing agent, antibacterial mechanism, antibacterial finishing

中图分类号: 

  • TS195.2

表1

不同种类复合型壳聚糖抗菌整理剂归纳总结"

复合材料 性能特点 参考文献
CS/黏土/AgNPs 整理后棉织物形态均一,热稳定性提高,洗涤20次后仍具有良好的抑菌效果 [14]
CMC/AgNPs 整理剂耐洗性能优异,洗涤50次后抑菌率仍高于94% [15]
CS/银沸石(SZ) 使用传统干-干法工艺,对大肠杆菌、金黄色葡萄球菌、念珠菌和毛癣菌均有较好的抑菌活性 [16]
CS/布洛芬 对医用纱布进行药物及抗菌涂层,抗菌性能显著提高,功能性增加 [17]
CS/聚苯胺(PANI) 使用原位聚合法将CS/PANI沉积在羊毛织物表面,导电性能可达11.32 S/cm,颜色均一,抑菌率超过99% [18]
CS/丝胶蛋白 通过酰胺键固定在氧化棉织物上,赋予棉织物良好的柔软性、润湿性,抑菌率达95%以上 [19]
CS/MONPs(金属氧化物纳
米粒子)
与ZnO、TiO2和SiO2等进行复合后整理涤/棉混纺织物,织物耐用性和功能性提高 [20]
CS/中药纳米粒子 织物抗菌性能和紫外线防护性能增强,具有作为防护服的潜在应用可能 [21]
CS/蜂胶、蜂蜡 整理后织物可作新型伤口敷料,加速伤口愈合,防止伤口感染 [22]
CS/姜黄素 织物抗菌性、抗氧化性提高 [23]
CS/聚吡咯/聚类(3,4-乙二噻吩)
(PEDOT)
织物具有一定的导电性、抗菌性,可作为新型智能材料 [24]
CS/水性聚氨酯 整理后的羊毛织物更柔软,聚氨酯总用量降低但仍保持良好的抗毡性 [25]

图1

超声波辅助法合成季铵盐化羧甲基壳聚糖"

图2

壳聚糖水杨醛席夫碱制备过程"

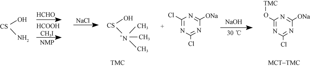
图3

TMC、MCT-TMC的制备过程"

表2

植物类抗菌整理剂"

抗菌物质 性能特点 参考文献
茶叶提取物:茶多酚 经茶多酚染色、固色处理后的织物耐摩擦、耐水洗、耐日晒牢度和抗紫外线性得到明显提高,对金黄色葡萄球菌抑菌率可达85%以上 [33]
罗布麻提取物:
黄酮类物质
黄酮染色后棉织物耐摩擦较好,具有一定的抗紫外线性和抗菌性 [34]
柚木叶提取物 对羊毛织物有一定的着色能力,赋予织物抗氧化性和耐久的抗菌性,具有应用于医疗保健领域的潜力 [35]
亚麻籽油 对帆布进行抗菌整理,对整理后织物各项性能不产生任何负影响,具有一定的抑菌能力 [36]
绿茶、茜草、姜黄、藏红花
花瓣、指甲花
天然抗菌染料对羊毛进行染色,使用硫酸铝对织物进行预处理,经5次洗涤和300 min光照后抗菌效果良好 [37]
罗望子果皮:单宁类
物质
提取罗望子果皮中的单宁类物质作天然媒染剂,并与金属媒染剂共同用于棉、毛、丝织物染色,提高染色织物的色牢度、耐洗性和耐光牢度,对革兰氏阴性、阳性菌最低抑菌浓度均为1%,抑菌效果良好 [38]
椰子纤维提取物:
木质素
采用控制微生物水解工艺,从椰子纤维中提取大量木质素制备纳米木质素,用丙烯酸接合剂将其固定在棉麻织物表面,织物具有优良的抗菌性、抗紫外线性和抗氧化性 [39]
黄岑提取物:黄岑苷 利用黄芩根中的生物活性成分黄芩苷与蚕丝之间所表现出的静电相互作用,将其用于蚕丝功能整理,赋予蚕丝抗菌、抗氧化、防紫外线等能力,黄芩苷功能化蚕丝可用作防护服装和医用纺织品 [40]
艾蒿油 利用乳化交联法制备艾蒿油-壳聚糖抗菌微胶囊,对革兰氏阴性、阳性菌抑菌率均可达96%以上,可对医用非织造布进行抗菌整理 [41]
红萝卜 红萝卜提取物通过氢键、范德华力等作用吸附于蚕丝织物上,赋予织物良好的抗氧化性、抗菌活性和防紫外线性能 [42]
芦荟、金银花 将提取得到的2种有效成分对棉织物进行整理,复合抗菌剂对金黄色葡萄球菌和大肠杆菌抑菌率可达91.5%以上,对白色念珠菌抑菌率可达68.8%,且具有一定的耐洗涤性 [43]
[1] GAO Y, CRANSTON R. Recent advances in antimicrobial treatments of textiles[J]. Textile Research Journal, 2008,78(1):60-72.
[2] 王小娟. 抗菌剂的种类及其在纺织品上的应用[J]. 纺织科技进展, 2017(6):21-24.
WANG Xiaojuan. Types of antibacterial agents and their application in textiles[J]. Progress in Textile Science & Technology, 2017(6):21-24.
[3] 陈仕国, 郭玉娟, 陈少军, 等. 纺织品抗菌整理剂研究进展[J]. 材料导报, 2012(7):89-94.
CHEN Shiguo, GUO Yujuan, CHEN Shaojun, et al. Progress in antibacterial finishing agents for textiles[J]. Materials Reports, 2012(7):89-94.
[4] SHIMA S, MATSUOKA H, IWAMOTO T, et al. Antimicrobial action of epsilon-poly-L-lysine.[J]. The Journal of Antibiotics, 1984,37(11):1449-1455.
doi: 10.7164/antibiotics.37.1449 pmid: 6392269
[5] 谭之磊. ε-聚赖氨酸及其复合材料的制备与抑菌活性研究[D]. 天津:天津大学, 2014: 2-11.
TAN Zhilei. Preparation and antibacterial activity of ε-polylysine and its composites[D]. Tianjin: Tianjin University, 2014: 2-11.
[6] YANG J, HAO L, WANG S, et al. Preparation of a novel bio-antibacterial PET nonwoven fabrics and antibacterial activity evaluation[C]// International Conference on Bioinformatics and Biomedical Engineering.[s.l.], IEEE, 2010: 1-5.
[7] CHEN J, WANG W, HU P, et al. Dual antimicrobial actions on modified fabric leads to inactivation of drug-resistant bacteria[J]. Dyes and Pigments, 2017,140:236-243.
[8] DANEVCIC T, VEZJAK M B, ZOREC M, et al. Prodigiosin: a multifaceted escherichia coli antimicrobial agent[J]. Plos One, 2016. DOI: 10.1371/journal.pone.0162412.
doi: 10.1371/journal.pone.0242444 pmid: 33651832
[9] 任燕飞, 巩继贤, 付冉冉, 等. 微生物合成纳米灵菌红素及其对羊毛织物抗菌染色[J]. 纺织学报, 2018,39(2):91-96.
REN Yanfei, GONG Jixian, FU Ranran, et al. Antibacterial dyeing of wool fabric with nano prodigiosin produced by microorganism[J]. Journal of Textile Research, 2018,39(2):91-96.
[10] REN Y, GONG J, FU R, et al. Antibacterial dyeing of silk with prodigiosins suspention produced by liquid fermentation[J]. Journal of Cleaner Production, 2018,201:648-656.
[11] REN Y, GONG J, FU R, et al. Dyeing and antibacterial properties of cotton dyed with prodigiosins nanomicelles produced by microbial fermentation[J]. Dyes and Pigments, 2017,138:147-153.
[12] RINAUDO M. Chitin and chitosan: properties and applications[J]. Progress in Polymer Science, 2006,31(7):603-632.
doi: 10.1016/j.progpolymsci.2006.06.001
[13] KONG M, CHEN X G, XING K, et al. Antimicrobial properties of chitosan and mode of action: a state of the art review[J]. International Journal of Food Microbiology, 2010,144(1):51-63.
doi: 10.1016/j.ijfoodmicro.2010.09.012 pmid: 20951455
[14] REHAN M, EL-NAGGAR M E, MASHALY H M, et al. Nanocomposites based on chitosan/silver/clay for durable multi-functional properties of cotton fabrics[J]. Carbohydrate Polymers, 2018,182:29-41.
doi: 10.1016/j.carbpol.2017.11.007 pmid: 29279123
[15] XU Q, KE X, SHEN L, et al. Surface modification by carboxymethy chitosan via pad-dry-cure method for binding Ag NPs onto cotton fabric[J]. International Journal of Biological Macromolecules, 2018,111:796-803.
doi: 10.1016/j.ijbiomac.2018.01.091 pmid: 29367162
[16] SCACCHETTI F A P, PINTO E, SOARES G M B. Thermal and antimicrobial evaluation of cotton functionalized with a chitosan-zeolite composite and microcapsules of phase-change materials[J]. Journal of Applied Polymer Science, 2018. DOI: 10.1002/app.461315.
doi: 10.1002/app.40297 pmid: 25382868
[17] 栗洪彬, 吴忠慧, 董璐璐, 等. 载布洛芬医用纱布的制备及性能研究[J]. 棉纺织技术, 2017,45(5):67-70.
LI Hongbin, WU Zhonghui, DONG Lulu, et al. Preparation and property study of medical gauze carrying ibuprofen[J]. Cotton Textile Technology, 2017,45(5):67-70.
[18] YU J, PANG Z, ZHANG J, et al. Conductivity and antibacterial properties of wool fabrics finished by polyaniline/chitosan[J]. Clloids and Surfaces A:Physicochemical and Engineering Aspects, 2018,548:117-124.
[19] 章淑娟. 壳聚糖/丝胶对氧化棉织物复合整理[D]. 上海:东华大学, 2017: 9-24.
ZHANG Shujuan. Study on chitosan/sericin composite finishing for oxidized cotton fabric[D]. Shanghai:Donghua University, 2017: 9-24.
[20] IBRAHIM N A, EID B M, ABD EL-AZIZ E, et al. Loading of chitosan-nano metal oxide hybrids onto cotton/polyester fabrics to impart permanent and effective multifunctions[J]. International Journal of Biological Macromolecules, 2017,105(1):769-776.
doi: 10.1016/j.ijbiomac.2017.07.099
[21] SUBRAMANI K, MURUGAN V, SHANMUGAM B K, et al. An ecofriendly route to enhance the antibacterial and textural properties of cotton fabrics using herbal nanoparticles from Azadirachta indica (neem)[J]. Journal of Alloys and Compounds, 2017,723:698-707.
doi: 10.1016/j.jallcom.2017.06.242
[22] CERNAT I F, CIOBANU L, MURESAN R, et al. Medical efficiency of antibacterial wound dressings[J]. Industria Textila, 2015,66(3):131-135.
[23] ZEMLJIC L F, VOLMAJER J, RISTIC T, et al. Antimicrobial and antioxidant functionalization of viscose fabric using chitosan-curcumin formulations[J]. Textile Research Journal, 2014,84(8):819-830.
doi: 10.1177/0040517513512396
[24] KIEFER R, LEE R, TEMMER R, et al. Chitosan combined with conducting polymers for novel functionality: antioxidant and antibacterial activity[J]. Key Engineering Materials, 2014,605:428-431.
doi: 10.4028/www.scientific.net/KEM.605.428
[25] SHI J, HAN X, YAN K. A novel bio-functional finishing agent for wool based on waterborne polyurethane mixed with chitosan[J]. Textile Research Journal, 2014,84(11):1174-1182.
doi: 10.1177/0040517513517969
[26] 韩哲, 王唤霞, 金子坤, 等. 季铵盐化羧甲基壳聚糖处理对棉纤维结构和性能的影响[J]. 纺织科技进展, 2017(6):1-4.
HAN Zhe, WANG Huanxia, JIN Zikun, et al. Effect of quaternary ammonium carboxymethyl chitosan treatment on structure and properties of cotton fiber[J]. Progress in Textile Science & Technology, 2017(6):1-4.
[27] EL-SHAFEI A M, FOUDA M M G, KNITTEL D, et al. Antibacterial activity of cationically modified cotton fabric with carboxymethyl chitosan[J]. Journal of Applied Polymer Science, 2008,110(3):1289-1296.
doi: 10.1002/app.v110:3
[28] 刘建, 朱平, 倪超, 等. 壳聚糖席夫碱对棉织物抗菌防皱性能研究[J]. 纤维素科学与技术, 2018(1):37-42.
LIU Jian, ZHU Ping, NI Chao, et al. Study on antibacterial and anti-wrinkle properties of cotton fabric with chitosan Schiff base[J]. Journal of Cellulose Science and Technology, 2018(1):37-42.
[29] 车秋凌, 辛梅华, 李明春, 等. O-一氯均三嗪-N,N,N-三甲基壳聚糖的合成及其在羊毛织物抗菌中的应用[J]. 化工进展, 2018(3):1098-1104.
CHE Qiuling, XIN Meihua, LI Mingchun, et al. Synjournal and application of O-monochlotriazinyl-N, N, N-trimethyl chitosan for antibacterial wool fabric[J]. Chemical Industry and Engineering Progress, 2018(3):1098-1104.
[30] 王成, 林红, 陈宇岳, 等. 纳米壳聚糖对桑蚕丝织物抗菌抗皱性能的影响[J]. 丝绸, 2013,50(1):10-13.
WANG Cheng, LIN Hong, CHEN Yuyue, et al. Influences of nano-chitosan on anti-bacterial and wrinkle-resistant performances of mulberry silk fabrics[J]. Journal of Silk, 2013,50(1):10-13.
[31] RAZA Z A, ANWAR F. Fabrication of chitosan nanoparticles and multi-response optimization in their application on cotton fabric by using a Taguchi app-roach[J]. Nano-Structures & Nano-Objects, 2017,10:80-90.
[32] WU T, WU C, FU S, et al. Integration of lysozyme into chitosan nanoparticles for improving antibacterial acti-vity[J]. Carbohydrate Polymers, 2017,155:192-200.
pmid: 27702504
[33] 娄江飞. 棉织物茶色素染色的固色方法和机理研究[D]. 天津:天津工业大学, 2017: 20-36.
LOU Jiangfei. Study on the fixing method and mechanism of cotton fabric tea pigment dyeing[D]. Tianjin: Tiangong University, 2017: 20-36.
[34] 刘昆, 巩继贤, 李辉芹, 等. 草本植物黄酮类化合物的染色应用研究[J]. 针织工业, 2018(5):32-35.
LIU Kun, GONG Jixian, LI Huiqin, et al. Dyeing application of her baceous plant flavonoids on cotton fabrics[J]. Knitting Industries, 2018(5):32-35.
[35] SHAHID-UL-ISLAM, WANI S A, Mohammad F. Imparting functionality viz color, antioxidant and antibacterial properties to develop multifunctional wool with Tectona grandis leaves extract using reflectance spectroscopy[J]. International Journal of Biological Macromolecules, 2018,109:907-913.
doi: 10.1016/j.ijbiomac.2017.11.068 pmid: 29133104
[36] HARLAPUR S F, HARLAPUR S F, SHRIDHAR A H. Reveal on the effect of linseed oil on fabrics: a competent antimicrobial agent[J]. Materials Today-Proceedings, 2018,5(103):22638-22642.
doi: 10.1016/j.matpr.2018.06.638
[37] GHAHEH F S, MORTAZAVI S M, ALIHOSSEINI F, et al. Assessment of antibacterial activity of wool fabrics dyed with natural dyes[J]. Journal of Cleaner Production, 2014,72:139-145.
doi: 10.1016/j.jclepro2014.02.050
[38] PRABHU K H, TELI M D. Eco-dyeing using Tamarindus indica L. seed coat tannin as a natural mordant for textiles with antibacterial activity[J]. Journal of Saudi Chemical Society, 2014,18(6):864-872.
doi: 10.1016/j.jscs.2011.10.014
[39] JUIKAR S J, VIGNESHWARANi N. Microbial production of coconut fiber nanolignin for application onto cotton and linen fabrics to impart multifunctional properties[J]. Surfaces and Interfaces, 2017(9):147-153.
[40] ZHOU Y, YANG Z, TANG R. Bioactive and UV protective silk materials containing baicalin-the multifunctional plant extract from Scutellaria baicalensis Georgi[J]. Materials Science & Engineering C-Materials for Biologicai Applications, 2016,67:336-344.
[41] 王亚, 黄菁菁, 张如全. 艾蒿油-壳聚糖抗菌微胶囊的制备及其应用[J]. 纺织学报, 2018,39(10):99-103.
WANG Ya, HUANG Jingjing, ZHANG Ruquan. Preparation and application of artemisia oil-chitosan antibacterial microcapsule[J]. Journal of Textile Research, 2018,39(10):99-103.
[42] ZHOU Y, YANG Z, TANG R. Facile and green preparation of bioactive and UV protective silk materials using the extract from red radish (Raphanus sativus L.) through adsorption technique[J]. Arabian Journal of Chemistry, 2020,13(1):3276-3285.
doi: 10.1016/j.arabjc.2018.11.003
[43] 周洪荣. 芦荟和金银花抗菌成分提取及其对棉织物的整理[D]. 苏州: 苏州大学, 2008: 3-21.
ZHOU Hongrong. Extraction of aloe and honey suckle antibacterial Ingredients and Application to Antibiotic Finishing of Cotton.[D]. Suzhou: Soochow University, 2008: 3-21.
[1] 殷聚辉, 郭静, 王艳, 曹政, 管福成, 刘树兴. 基于海藻酸钠/ 磷虾蛋白的支架材料制备及其性能[J]. 纺织学报, 2021, 42(02): 53-59.
[2] 王晓辉, 李义臣, 刘国金, 唐族平, 周岚, 邵建中. 柔性光子晶体结构生色膜的制备及其光学性质[J]. 纺织学报, 2021, 42(02): 12-20.
[3] 陈云博, 朱翔宇, 李祥, 余弘, 李卫东, 徐红, 隋晓锋. 相变调温纺织品制备方法的研究进展[J]. 纺织学报, 2021, 42(01): 167-174.
[4] 杨刚, 李海迪, 乔燕莎, 李彦, 王璐, 何红兵. 聚乳酸-己内酯/纤维蛋白原纳米纤维基补片的制备与表征[J]. 纺织学报, 2021, 42(01): 40-45.
[5] 马丽芸, 吴荣辉, 刘赛, 张玉泽, 汪军. 包缠复合纱摩擦纳米发电机的制备及其电学性能[J]. 纺织学报, 2021, 42(01): 53-58.
[6] 杨宇晨, 覃小红, 俞建勇. 静电纺纳米纤维功能性纱线的研究进展[J]. 纺织学报, 2021, 42(01): 1-9.
[7] 肖渊, 王盼, 张威, 张成坤. 织物表面导电线路喷射打印起始端凸起形成过程研究[J]. 纺织学报, 2020, 41(12): 81-86.
[8] 张倩, 毛吉富, 吕璐瑶, 徐仲棉, 王璐. 腱骨修复用缝线在锚钉孔眼处的耐磨性能及其影响因素[J]. 纺织学报, 2020, 41(12): 66-72.
[9] 刘明洁, 林婧, 关国平, BROCHU G, GUIDOIN R, 王璐. 典型纺织基人工韧带及其移出物结构与力学性能[J]. 纺织学报, 2020, 41(11): 66-72.
[10] 余钰骢, 史晓龙, 刘琳, 姚菊明. 用于油水分离的超润湿性纺织品研究进展[J]. 纺织学报, 2020, 41(11): 189-196.
[11] 张艳艳, 詹璐瑶, 王培, 耿俊昭, 付飞亚, 刘向东. 用无机纳米粒子制备耐久性抗菌棉织物的研究进展[J]. 纺织学报, 2020, 41(11): 174-180.
[12] 段方燕, 王闻宇, 金欣, 牛家嵘, 林童, 朱正涛. 淀粉纤维的成形及其载药控释研究进展[J]. 纺织学报, 2020, 41(10): 170-177.
[13] 乔燕莎, 王茜, 李彦, 桑佳雯, 王璐. 聚多巴胺涂层聚丙烯疝气补片的制备及其体外炎性反应[J]. 纺织学报, 2020, 41(09): 162-166.
[14] 严佳, 李刚. 医用纺织品的研究进展[J]. 纺织学报, 2020, 41(09): 191-200.
[15] 裘柯槟, 陈维国, 周华, 应双双. 成像技术在纺织品颜色测量中的应用进展[J]. 纺织学报, 2020, 41(09): 155-161.
Viewed
Full text


Abstract

Cited

  Shared   
  Discussed   
No Suggested Reading articles found!