纺织学报 ›› 2020, Vol. 41 ›› Issue (03): 1-7.doi: 10.13475/j.fzxb.20190401407

• 纤维材料 •    下一篇

碳化二亚胺/羟基丁二酰亚胺交联改性胶原蛋白纤维制备及其性能

岳程飞, 丁长坤(), 李璐, 程博闻   

  1. 天津工业大学 天津市先进纤维与储能技术重点实验室, 天津 300387
  • 收稿日期:2019-04-03 修回日期:2019-12-15 出版日期:2020-03-15 发布日期:2020-03-27
  • 通讯作者: 丁长坤
  • 作者简介:岳程飞(1993—),男,博士生。主要研究方向为生物质纤维材料。

Carbodiimide/hydroxysuccinimide crosslinking modification and properties of collagen fibers

YUE Chengfei, DING Changkun(), LI Lu, CHENG Bowen   

  1. Tianjin Key Laboratory of Advanced Fibers and Energy Storage, Tiangong University, Tianjin 300387, China
  • Received:2019-04-03 Revised:2019-12-15 Online:2020-03-15 Published:2020-03-27
  • Contact: DING Changkun

摘要:

为解决由湿法纺丝工艺制备的牛肌腱胶原蛋白纤维力学性能差、遇水易溶解等问题,采用1-乙基-3-(3-二甲基丙基)碳化二亚胺盐酸盐/N-羟基丁二酰亚胺(EDC/NHS)对胶原蛋白纤维进行交联改性。探究了原位交联方式的最优交联时间和交联剂质量分数,并着重对比了原位交联与交联浴交联2种交联方式对胶原蛋白纤维性能的影响。结果表明:原位交联可显著改善胶原蛋白纤维的性能,最优的交联时间和交联剂质量分数分别为11 h、15%,此时纤维断裂强度可达1.44 cN/dtex左右,较纯胶原蛋白纤维提高了35.8%,较交联浴交联纤维提高了19.0%;与主要发生在纤维表面的交联浴交联相比,原位交联能够使纤维内部的微纤结构更加致密,性能得到更为显著的提升,由原位交联制备的胶原蛋白纤维性能优于交联浴交联制备的纤维。

关键词: 胶原蛋白纤维, 湿法纺丝, 原位交联, 交联浴交联, 力学性能

Abstract:

In order to deal with problems in poor mechanical properties and water-dissolving, a collagen fiber prepared from bovine tendon type I collagen via wet spinning method process was modified by 1-ethyl-3-(3-dimethylpropys carbodiimide/N-hydroxysuccinimide)(EDC/NHS) crosslinking. The optimal reaction time and crosslinking concentration of EDC/NHS in the in-situ crosslinking mode were explored, and the effects of two crosslinking methods of in-situ crosslinking and bath crosslinking on the properties of collagen fibers were compared. The results show that in-situ crosslinking can significantly improve the performance of collagen fibers. The optimum crosslinking time and crosslinker concentration of in-situ crosslinking are 11 h and 15%, respectively. In this situation, the fiber breaking strength reached about 1.44 cN/dtex, which is 35.8% higher than that of the pure collagen fiber and 19.0% higher than that of bath crosslinked fiber. Compared with crosslinking baths that the crosslinking reaction mainly occur on the fiber surface, and in-situ crosslinking makes the microfibrous structure inside the fiber denser and the performance is improved more obviously. Furthermore, the performance of in-situ crosslinked collagen fibers is better than that of bath crosslinked collagen fibers.

Key words: collagen fiber, wet spinning, in-situ crosslinking, bath crosslinking, mechanical properties

中图分类号: 

  • TQ342.94

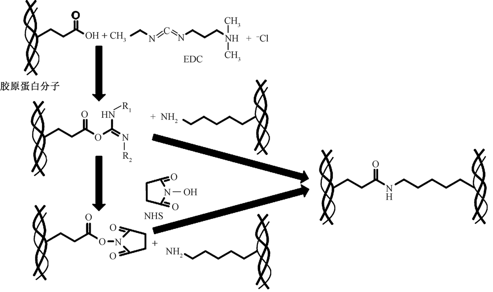
图1

EDC/NHS交联机制"

图2

不同原位交联时间的胶原蛋白纤维力学性能"

图3

不同原位交联剂质量分数的胶原蛋白纤维力学性能"

图4

不同交联剂质量分数的胶原蛋白纤维表面扫描电镜照片(×900)"

图5

不同交联剂质量分数的胶原蛋白纤维横截面扫描电镜照片(×2 000)"

图6

不同交联方式的胶原蛋白纤维XRD曲线"

图7

不同交联方式的胶原蛋白纤维红外谱图"

图8

不同交联方式的胶原蛋白纤维TG曲线"

表1

不同交联方式的胶原蛋白单纤维接触角和吸水率"

纤维名称 单纤维接触角/(°) 吸水率/%
0 s 60 s
纯胶原蛋白纤维 105.0±3.0 78.0±4.0 514.3±22.0
交联浴交联胶原蛋白纤维 117.0±4.0 90.0±3.0 200.0±19.0
原位交联胶原蛋白纤维 120.1±4.0 100.0±3.0 155.6±26.0

表2

不同交联方式的胶原蛋白纤维力学性能"

纤维名称 断裂强度/(cN·dtex-1) 断裂伸长率/%
纯胶原蛋白纤维 1.06±0.03 28±2
交联浴交联胶原蛋白纤维 1.21±0.02 33±2
原位交联胶原蛋白纤维 1.44±0.03 42±3
[1] RICARBLUM S. The collagen family[J]. Cold Spring Harbor Perspectives in Biology, 2011,3(1):a004978.
doi: 10.1101/cshperspect.a004978 pmid: 21421911
[2] GORDON M K, HAHN R A. Collagens[J]. Cell Tissue Res, 2010,339(1):247-257.
pmid: 19693541
[3] SORUSHANOVA A, DELGADO L M, WU Z N, et al. The collagen suprafamily: from biosynjournal to advanced biomaterial development[J]. Advanced Materials, 2019,31(1).DOI: 10.1002/adma.1801651.
pmid: 30272829
[4] MILLER J P, IRVING A, FISCHETTI T C, et al. The in situ supermolecular structure of type I collagen[J]. Structure, 2001,9(11):1061-1069.
pmid: 11709170
[5] ZHU Shichen, YUAN Qijuan, YIN Tao, et al. Self-assembly of collagen-based biomaterials: preparation, characterizations and biomedical applications[J]. Journal of Materials Chemistry B, 2018,6:2650-2676.
doi: 10.1039/c7tb02999c pmid: 32254220
[6] ZEUGOLI D I, PAUL R G, ATTENBURROW G. Factors influencing the properties of reconstituted collagen fibers prior to self-assembly: animal species and collagen extraction method[J]. Journal of Biomedical Materials Research: Part A, 2008,86(4):892-904.
[7] HUANG G P, SHANMUGASUNDARAM S, MASIH P, et al. An investigation of common crosslinking agents on the stability of electrospun collagen scaffolds[J]. Journal of Biomedical Materials Research: Part A, 2015,103(2):762-771.
[8] 赵林双, 赵新哲, 高晶, 等. 柠檬酸原位交联胶原超细纤维膜的制备及其性能[J]. 东华大学学报(自然科学版), 2018,44(1):38-44.
ZHAO Linshuang, ZHAO Xinzhe, GAO Jing, et al. Preparation and properties of microfiber membrane of collagen in-situ crosslinked by citric acid[J]. Journal of Donghua University (Natural Science Edition), 2018,44(1):38-44.
[9] 杜建华, 丁长坤, 阙金红, 等. 胶原蛋白纤维的物理交联改性及性能研究[J]. 合成纤维工业, 2019,42(4):46-51.
DU Jianhua, DING Changkun, QUE Jinhong, et al. Physical crosslinking modification and properties of collagen fibers[J]. China Synthetic Fiber Industry, 2019,42(4):46-51.
[10] WEADOCK K S, MILLER E J, BELLINCAMP L D, et al. Physical crosslinking of collagen fibers: comparison of ultraviolet irradiation and dehydrothermal treat-ment[J]. Journal of Biomedical Materials Research: Part A, 1995,29(11):1373-1379.
[11] GAO Jing, GUO Huiwen, ZHAO Linshuang, et al. Water-stability and biological behavior of electrospun collagen/PEO fibers by environmental friendly crosslinking[J]. Fibers and Polymers, 2017,18(8):1496-1503.
[12] 王雪娟, 杨其武, 吴炜誉, 等. 改性剂对胶原蛋白复合纤维结构性能的影响[J]. 合成纤维工业, 2008,31(2):1-4.
WANG Xuejuan, YANG Qiwu, WU Weiyu, et al. Effect of modifier on structure and properties of collagen composite fiber[J]. China Synthetic Fiber Industry, 2008,31(2):1-4.
[13] 张积财, 丁长坤, 杨宁, 等. 戊二醛交联改性鼠尾Ⅰ型胶原蛋白纤维的结构与性能研究[J]. 合成纤维工业, 2016,39(2):26-29.
ZHANG Jicai, DING Changkun, YANG Ning, et al. Structure and properties of rat tail tendon type I collagen fiber crosslinked with glutaraldehyde[J]. China Synthetic Fiber Industry, 2016,39(2):26-29.
[14] 王迎军, 杨春蓉, 汪凌云. EDC/NHS交联对胶原物理化学性能的影响[J]. 华南理工大学学报(自然科学版), 2007,35(12):66-70.
WANG Yingjun, YANG Chunrong, WANG Lingyun. Influence of EDC/NHS crosslinking on physicochemical properties of collagen[J]. Journal of South China University of Technology (Natural Science Edition), 2007,35(12):66-70.
[15] 姜东林, 杨骏宇, 姜升阳, 等. 京尼平交联L-赖氨酸修饰胶原蛋白支架的性能和生物相容性[J]. 生物医学工程学杂志, 2014(4):816-821.
JIANG Donglin, YANG Junyu, JIANG Shengyang, et al. Properties and biocompatibility of collagen scaffold modified by genipin cross-linked L-lysine[J]. Journal of Biomedical Engineering, 2014(4):816-821.
[16] 李倩. I型胶原基复合纤维的制备及自组装行为研究[D]. 天津:天津工业大学, 2018: 15-16.
LI Qian. Preparation and self-assembly behavior of type I collagen-based composite fibers[D]. Tianjin: Tiangong University, 2018: 15-16.
[17] USHA R, SREERAM K J, RAJARAM A. Stabilization of collagen with EDC/NHS in the presence of L-lysine: a comprehensive study[J]. Colloids and Surfaces B: Biointerfaces, 2012,90:83-90.
pmid: 22019452
[18] GREEN E C, ZHANG Yiying, LI Heng, et al. Gel-spinning of mimetic collagen and collagen/nano-carbon fibers: understanding multi-scale influences on molecular ordering and fibril alignment[J]. Journal of the Mechanical Behavior of Biomedical Materials, 2017,65:552-564.
doi: 10.1016/j.jmbbm.2016.08.022 pmid: 27697717
[19] 李倩, 丁长坤, 张静, 等. 胶原/高分子量壳聚糖复合纤维的制备及其性能[J]. 纺织学报, 2018,39(5):8-13.
LI Qian, DING Changkun, ZHANG Jing, et al. Preparation and properties of collagen/high-molecular weight chitosan composite fibers[J]. Journal of Textile Research, 2018,39(5):8-13.
[20] 杜建华. I型胶原蛋白纤维的制备、改性及其性能研究[D]. 天津:天津工业大学, 2019: 24-25.
DU Jianhua. Study on preparation, modification and properties of type I collagen fiber[D]. Tianjin: Tianjin Polytechnic University, 2019: 24-25.
[21] CHANG M C, TANAKA J. FT-IR study for hydroxyapatite/collagen nanocomposite cross-linked by glutaraldehyde[J]. Biomaterials, 2002,23(24):4811-4818.
pmid: 12361620
[22] 但卫华, 周文常, 曾睿, 等. 胶原-壳聚糖共混纺丝液的制备[J]. 中国皮革, 2006,35(7):35-38.
DAN Weihua, ZHOU Wenchang, ZENG Rui, et al. The preparation of collagen-chitosan blended spinning solution[J]. China Leather, 2006,35(7):35-38.
[1] 杨萍, 严飙, 马丕波. 网状结构织物制备与应用研究进展[J]. 纺织学报, 2021, 42(01): 175-180.
[2] 陈美玉, 刘玉琳, 胡革明, 孙润军. 涡流纺纱线的包缠加捻对其力学性能的影响[J]. 纺织学报, 2021, 42(01): 59-66.
[3] 宋星, 金肖克, 祝成炎, 蔡冯杰, 田伟. 玻璃纤维/光敏树脂复合材料的3D打印及其力学性能[J]. 纺织学报, 2021, 42(01): 73-77.
[4] 汪希铭, 程凤, 高晶, 王璐. 交联改性对敷料用壳聚糖/ 聚氧化乙烯纳米纤维膜性能的影响[J]. 纺织学报, 2020, 41(12): 31-36.
[5] 刘淑强, 武捷, 吴改红, 阴晓龙, 李甫, 张曼. 纳米SiO2 对玄武岩纤维的表面改性[J]. 纺织学报, 2020, 41(12): 37-41.
[6] 马跃, 郭静, 殷聚辉, 赵秒, 宫玉梅. 纤维素/氧化纤维素/南极磷虾蛋白复合抗菌纤维的制备与表征[J]. 纺织学报, 2020, 41(11): 34-40.
[7] 庞雅莉, 孟佳意, 李昕, 张群, 陈彦锟. 石墨烯纤维的湿法纺丝制备及其性能[J]. 纺织学报, 2020, 41(09): 1-7.
[8] 展晓晴, 李凤艳, 赵健, 李海琼. 超高分子量聚乙烯纤维的热力学稳定性能[J]. 纺织学报, 2020, 41(08): 9-14.
[9] 张祝辉, 张典堂, 钱坤, 徐阳, 陆健. 广角机织物的织造工艺及其偏轴拉伸力学性能[J]. 纺织学报, 2020, 41(08): 27-31.
[10] 刘稀, 王冬, 张丽平, 李敏, 付少海. 低折射率树脂对原液着色粘胶纤维结构和性能的影响[J]. 纺织学报, 2020, 41(07): 9-14.
[11] 李莉萍, 吴道义, 战奕凯, 何敏. 电泳沉积碳纳米管和氧化石墨烯修饰碳纤维表面的研究进展[J]. 纺织学报, 2020, 41(06): 168-173.
[12] 王宗乾, 杨海伟, 周剑, 李长龙. 尿素脱胶对丝素蛋白气凝胶力学性能的影响[J]. 纺织学报, 2020, 41(04): 9-14.
[13] 丁放, 任学宏. 磷氮阻燃剂对涤纶织物的阻燃整理[J]. 纺织学报, 2020, 41(03): 100-105.
[14] 欧阳鹏飞, 张玉芳, 贾春紫, 张嘉煜. 用竹浆粕/ 离子液体复配体系纺制的再生纤维及其性能 [J]. 纺织学报, 2020, 41(01): 21-25.
[15] 李阵群, 许多, 魏春艳, 钱永芳, 吕丽华. 棉秆皮纤维素/ 氧化石墨烯纤维的制备及其力学性能和吸附性能 [J]. 纺织学报, 2020, 41(01): 15-20.
Viewed
Full text


Abstract

Cited

  Shared   
  Discussed   
No Suggested Reading articles found!