纺织学报 ›› 2020, Vol. 41 ›› Issue (10): 81-86.doi: 10.13475/j.fzxb.20191106806

• 染整与化学品 • 上一篇    下一篇

磷酸酯-己酸酯化淀粉的制备及其浆膜性能

李伟1(), 张正桥1, 吴兰娟1, 徐珍珍1, 倪庆清2, 鲁育豪3   

  1. 1.安徽工程大学 纺织服装学院, 安徽 芜湖 241000
    2.日本信州大学, 日本 长野 3868567
    3.合肥塞夫特淀粉有限公司, 安徽 合肥 230000
  • 收稿日期:2019-11-28 修回日期:2020-06-15 出版日期:2020-10-15 发布日期:2020-10-27
  • 作者简介:李伟(1986—),男,副教授,博士。主要研究方向为浆料化学、高分子材料和纺织加工化学。E-mail:fangzhiliweiwu@sina.com
  • 基金资助:
    安徽省自然科学基金面上项目(1908085ME124);安徽省高校自然科学研究重大项目(KJ2018ZD012);安徽省重点研发计划项目(201904a06020001);芜湖市科技计划项目(2018pt04);安徽工程大学国家自然科学基金预研项目(2018yyzr08)

Preparation of phosphorylated-caproylated starch and its membrane properties

LI Wei1(), ZHANG Zhengqiao1, WU Lanjuan1, XU Zhenzhen1, NI Qingqing2, LU Yuhao3   

  1. 1. College of Textiles and Garments, Anhui Polytechnic University, Wuhu, Anhui 241000, China
    2. Faculty of Textile Science and Technology, Shinshu University, Nagano 3868567, Japan
    3. Hefei Safood Starch Co., Ltd., Hefei, Anhui 230000, China
  • Received:2019-11-28 Revised:2020-06-15 Online:2020-10-15 Published:2020-10-27

摘要:

为降低淀粉膜的脆性,以改善淀粉浆料在经纱上浆中的使用效果,采用三聚磷酸钠和己酸酐为酯化剂,对酸解淀粉进行了磷酸酯-己酸酯化变性处理,以膜的断裂强度、断裂伸长率、水溶时间为评价指标,研究了双重酯化改性对淀粉膜性能的影响,并对改性前后淀粉所制备薄膜进行了X射线衍射表征分析。结果表明:这种复合改性不仅能够降低淀粉膜结晶度,明显提升淀粉膜断裂伸长率,降低其断裂强度,从而减少了淀粉膜的脆性,提升了其韧性,而且可以改善淀粉膜的水溶性;磷酸酯-己酸酯化淀粉(PCS)浆膜的断裂伸长率从3.15%(总取代度0.028)增加到3.91%(总取代度0.059),而断裂强度从32.8 MPa降低到28.1 MPa,显示这种复合改性对淀粉膜脆性的降低作用逐渐增强。

关键词: 淀粉, 浆料, 磷酸酯-己酸酯化, 磷酸酯-己酸酯化淀粉, 表观黏度, 浆膜性能

Abstract:

In order to reduce the brittleness of starch membrane for promoting the application effect of starch in warp sizing, starch was phosphorylated with sodium tripolyphosphate and then caproylated with caproic anhydride. The influence of double esterification on the tensile properties of starch membrane was investigated in terms of tensile strength, elongation at break and time required for breaking the membrane. The starch membranes before and after modification were analyzed using X-ray diffraction. The experimental results show that the phosphorylation-caproylation could not only reduce the crystallinity of starch membrane, significantly increase the elongation and decrease the strength of starch membrane, thus reducing the membrane brittleness and improving its toughness, but could also improve the water-solubility. With the increase in total degree of substitution from 0.028 to 0.059, the elongation of phosphorylation-caproylation starch (PCS) membrane increases from 3.15% to 3.91% and the strength decreases from 32.8 MPa to 28.1 MPa, indicating the reduction of the brittleness is gradually enhanced.

Key words: starch, size, phosphorylation-caproylation, phosphorylated-caproylated starch, apparent viscosity, membrane property

中图分类号: 

  • TS103.846

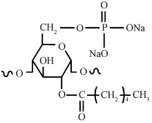
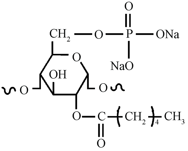
图1

PCS的分子结构式"

图2

PCS和ACS的红外光谱曲线"

图3

ACS和PCS样品颗粒的扫描电镜照片(×1 500"

表1

PCS样品的取代度和反应效率"

磷酸酯化 己酸酯化
STP用量/g Dp Rp/% CA用量/g Dx Rx/%
12 0.013 49.2 7.5 0.015 52.9
12 0.013 49.2 15.0 0.025 44.1
12 0.013 49.2 22.5 0.037 43.5
12 0.013 49.2 30.0 0.046 40.6

图4

磷酸酯-己酸酯化对淀粉浆液表观黏度的影响"

图5

磷酸酯-己酸酯化对淀粉膜力学性能的影响"

图6

PCS和ACS膜的X射线衍射图"

图7

磷酸酯-己酸酯化对淀粉膜水溶时间的影响"

[1] 王苗, 祝志峰. 马来酸酐酯化变性对淀粉浆料的影响[J]. 纺织学报, 2013,34(5):53-57.
WANG Miao, ZHU Zhifeng. Effect of esterifying modification of maleic anhydride on its sizing proper-ties[J]. Journal of Textile Research, 2013,34(5):53-57.
[2] 李伟, 祝志峰, 徐珍珍, 等. 淀粉浆料用极性增塑剂及其增塑作用的研究进展[J]. 纺织学报, 2017,38(4):171-176.
LI Wei, ZHU Zhifeng, XU Zhenzhen, et al. Research progress and plasticization effect of polar plasticizers for starch sizing agents[J]. Journal of Textile Research, 2017,38(4):171-176.
[3] LI W, XU Z Z, WANG Z Q, et al. Tertiary amination/hydroxypropylsulfonation of cornstarch to improve the adhesion-to-fibers and film properties for warp sizing[J]. Fibers and Polymers, 2018,19(7):1386-1394.
doi: 10.1007/s12221-018-7973-x
[4] 李伟, 刘新华, 徐珍珍, 等. 电中性双重醚化淀粉浆料的制备及其浆膜性能[J]. 纺织学报, 2017,38(12):81-86.
LI Wei, LIU Xinhua, XU Zhenzhen, et al. Preparation and film properties of electroneutral double-etherified corn starch[J]. Journal of Textile Research, 2017,38(12):81-86.
doi: 10.1177/004051756803800110
[5] KIM M, LEE S J. Characteristics of crosslinked potato starch and starch-filled linear low-density polyethylene films[J]. Carbohydrate Polymers, 2002,50(4):331-337.
doi: 10.1016/S0144-8617(02)00057-7
[6] LOPEZ O V, GARCIA M A, ZARITZKY N E. Film forming capacity of chemically modified corn star-ches[J]. Carbohydrate Polymers, 2008,73(4):573-581.
doi: 10.1016/j.carbpol.2007.12.023
[7] ZHU Z F, ZHENG H, LI X C. Effects of succinic acid cross-linking and mono-phosphorylation of oxidized cassava starch on its paste viscosity stability and sizability[J]. Starch/Stärke, 2013,65(9/10):854-863.
doi: 10.1002/star.v65.9/10
[8] JANSSON A, THUVANDER F. Influence of thickness on the mechanical properties for starch films[J]. Carbohydrate Polymers, 2004,56(4):499-503.
doi: 10.1016/j.carbpol.2004.03.019
[9] ZHU Z F, CHENG Z Q. Effect of inorganic phosphates on the adhesion of mono-phosphorylated cornstarch to fibers[J]. Starch/Stärke, 2008,60(6):315-320.
doi: 10.1002/(ISSN)1521-379X
[10] 郑浩. 氧化木薯淀粉热浆黏度稳定化技术的研究[D]. 无锡: 江南大学, 2013: 12-13.
ZHENG Hao. Study on the technology for stabilizing the viscosity of cooked OCS paste under high tempera-ture[D]. Wuxi: Jiangnan University, 2013: 12-13.
[11] 张朝辉, 徐珍珍, 刘新华, 等. 乙酰乙酸酯化淀粉浆料的制备及其性能[J]. 纺织学报, 2017,38(11):68-72.
ZHANG Chaohui, XU Zhenzhen, LIU Xinhua, et al. Preparation and properties of acetoacetylated starch used as sizing agent[J]. Journal of Textile Research, 2017,38(11):68-72.
[12] ZHU Z F, CHEN P H. Carbamoyl ethylation of starch for enhancing the adhesion capacity to fibers[J]. Journal of Applied Polymer Science, 2007,106(4):2763-2768.
doi: 10.1002/(ISSN)1097-4628
[13] LI W, ZHU Z F. Electroneutral maize starch by quaterization and sulfosuccination for strong adhesion-to-viscose fibers and easy removal[J]. Journal of Adhesion, 2016,92(4):257-272.
doi: 10.1080/00218464.2015.1025953
[14] SECHI N S M, MARQUES P T. Preparation and physicochemical, structural and morphological characterization of phosphorylated starch[J]. Materials Research, 2017,20(2):174-180.
doi: 10.1590/1980-5373-mr-2016-1008
[15] 张惠, 祝志峰. 丙酸酯变性淀粉浆料的研究[J]. 东华大学学报(自然科学版), 2009,35(5):537-540.
ZHANG Hui, ZHU Zhifeng. Study on the properties of propionylated starch used as warp sizing agents[J]. Journal of Donghua University (Natural Science), 2009,35(5):537-540.
[16] 李伟, 祝志峰. 马来酸酯化及磺基丁二酸酯化对淀粉浆液老化与薄膜性能的影响[J]. 高分子材料科学与工程, 2015,31(2):77-80, 87.
LI Wei, ZHU Zhifeng. Effects of maleation and sulfosuccination on paste ageing and film properties of starch[J]. Polymer Materials Science and Engineering, 2015,31(2):77-80, 87.
[17] ZHU Z F. Starch mono-phosphorylation for enhancing the stability of starch/PVA blend pastes for warp siz-ing[J]. Carbohydrate Polymers, 2003,54(1):115-118.
doi: 10.1016/S0144-8617(03)00074-2
[1] 段方燕, 王闻宇, 金欣, 牛家嵘, 林童, 朱正涛. 淀粉纤维的成形及其载药控释研究进展[J]. 纺织学报, 2020, 41(10): 170-177.
[2] 李伟, 张正桥, 吴兰娟, 吴杰, 祝志峰. 双亲性淀粉浆料的研究进展[J]. 纺织学报, 2020, 41(07): 182-187.
[3] 李伟, 景元炜, 张正桥, 倪庆清, 徐珍珍, 刘新华. 己酸酯淀粉的制备及其上浆性能[J]. 纺织学报, 2020, 41(06): 76-80.
[4] 沈艳琴, 杨树, 武海良, 王忠梁. 浆纱用中低温水溶性淀粉浆料的研究进展[J]. 纺织学报, 2019, 40(06): 142-151.
[5] 周步光, 王平, 王强, 范雪荣, 袁久刚. 辣根过氧化物酶在纤维材料生物整理中的应用研究进展[J]. 纺织学报, 2019, 40(04): 170-176.
[6] 汪风波, 王加毅, 孙正, 马颜雪, 吕迎智, 张魏峰, 吕艳, 吕明明, 陈思雨, 李毓陵, 陈小光. 聚丙烯酸酯浆料废水处理中试研究[J]. 纺织学报, 2019, 40(01): 108-113.
[7] 郭淑华 王建坤 钱晓明. 微波辅助羧甲基玉米淀粉的制备及其上浆性能[J]. 纺织学报, 2018, 39(12): 59-66.
[8] 张朝辉 徐珍珍 李伟. 季铵阳离子醚化-十二烯基琥珀酸酯化淀粉浆料的黏附性能[J]. 纺织学报, 2018, 39(12): 67-71.
[9] 王建坤 郭晶 张昊 郑帼. 交联氨基淀粉对亚甲基蓝染料的吸附性能[J]. 纺织学报, 2018, 39(11): 103-110.
[10] 张朝辉 徐珍珍 徐文正 李伟. 季铵阳离子型接枝淀粉浆料的浆膜性能[J]. 纺织学报, 2018, 39(11): 68-72.
[11] 曹新伟 宋秦杰 朱博 刘建立 王鸿博 高卫东. 冷水可溶性马铃薯淀粉的低温上浆性能[J]. 纺织学报, 2018, 39(03): 79-85.
[12] 李伟 刘新华 徐珍珍 李长龙 王旭 魏安方 张朝辉. 电中性双重醚化淀粉浆料的制备及其浆膜性能[J]. 纺织学报, 2017, 38(12): 77-82.
[13] 沈艳琴 武海良 熊锐 毛宁涛. 中低温水溶季铵阳离子淀粉浆料的合成及其浆纱性能[J]. 纺织学报, 2017, 38(11): 73-78.
[14] 张朝辉 徐珍珍 刘新华 李伟. 乙酰乙酸酯化淀粉浆料的制备及其性能[J]. 纺织学报, 2017, 38(11): 68-72.
[15] 武海良 姚一军 沈艳琴 毛宁涛. 浆料混溶性对共混浆膜力学性能的影响[J]. 纺织学报, 2017, 38(10): 65-69.
Viewed
Full text


Abstract

Cited

  Shared   
  Discussed   
No Suggested Reading articles found!