纺织学报 ›› 2021, Vol. 42 ›› Issue (02): 148-155.doi: 10.13475/j.fzxb.20200800408

• 染整与化学品 • 上一篇    下一篇

壳聚糖基杂化气凝胶对活性染料的吸附性能

何雪梅(), 冒海燕, 蔡露   

  1. 盐城工学院 纺织服装学院, 江苏 盐城 224051
  • 收稿日期:2020-08-03 修回日期:2020-11-23 出版日期:2021-02-15 发布日期:2021-02-23
  • 作者简介:何雪梅(1978—),女,副教授,博士。主要研究方向为多糖源生物杂化材料在印染加工中的应用。E-mail: hexuemeitry@163.com
  • 基金资助:
    江苏省自然科学基金青年基金项目(BK20191045)

Adsorption performance of chitosan based hybrid aerogel on reactive dyes

HE Xuemei(), MAO Haiyan, CAI Lu   

  1. School of Textiles and Clothing, Yancheng Institute of Technology, Yancheng, Jiangsu 224051, China
  • Received:2020-08-03 Revised:2020-11-23 Online:2021-02-15 Published:2021-02-23

摘要:

为有效去除印染废水中的活性染料,以壳聚糖高分子为骨架材料,甲壳素微晶作为偶联剂,多巴胺作为交联剂,原位生成的纳米二氧化钛为掺杂剂,通过溶液共混和冷冻干燥技术制备了壳聚糖/微晶/聚多巴胺/二氧化钛(CS/WSK/PDA/TiO2)杂化气凝胶,并用于吸附活性红紫X-2R、活性红KE-3B和活性黄M-3BE。借助全反射红外光谱仪与扫描电子显微镜对所制备的壳聚糖基杂化气凝胶的结构进行表征,并对影响其吸附染料性能的条件进行探讨。结果表明:CS/WSK/PDA/TiO2杂化气凝胶具有片层状,多孔结构,其中纳米二氧化钛负载于壳聚糖基杂化气凝胶的聚合物网络框架上;在30 ℃和中性条件下,CS/WSK/PDA/TiO2杂化气凝胶对活性红紫X-2R、活性红KE-3B和活性黄M-3BE的吸附量可分别达到400.0、398.4、404.9 mg/g,且吸附动力学行为符合准二级动力学模型。

关键词: 壳聚糖, 气凝胶, 二氧化钛, 吸附, 活性染料, 废水处理

Abstract:

In order to effectively remove reactive dyes in textile dyeing wastewater,and hence to reduce the impact on water environment and human health hazards, achitosan based hybrid aerogel (CS/WSK/PDA/TiO2) was prepared by solution blending and freeze-drying techniques, using chitosan(CS) polymer as the skeleton material, dopamine(WSK) as bio-adhesive agent, and chitin whisker(PDA) as cross-linking agent. The hybrid aerogel was used to absorb the Reactive Violet X-2R, Reactive Red KE-3B and Reactive Yellow M-3BE. The morphology and structure of the prepared chitosan hybrid aerogels were characterized by attenuated total reflection Fourier transform in frared spectroscopy and scanning electron microscope. The effects of different conditions on the adsorption performance of the hybrid aerogel were studied. The experimental results show that chitosan-based hybrid aerogels have lamellar, porous functional structure,and the nano titanium oxide is embedded in the chitosan based hybrid aerogel. When the adsorption conditions are set to 30 ℃ and neutral pH value,the adsorption capacity of CS/WSK/PDA/TiO2 aerogels for Reactive Violet X-2R, Reactive Red KE-3B and Reactive Yellow M-3RE Reaches 400 mg/g, 398.4 mg/g, and 404.9 mg/g, respectively. The adsorption kinetic results are well described by the pseudo-second order kinetic.

Key words: chitosan, aerogel, titanium dioxide, adsorption, reactive dye, wastewater treatment

中图分类号: 

  • TQ264.17

图1

3种活性染料的化学结构"

图2

杂化气凝胶全反射红外光谱"

图3

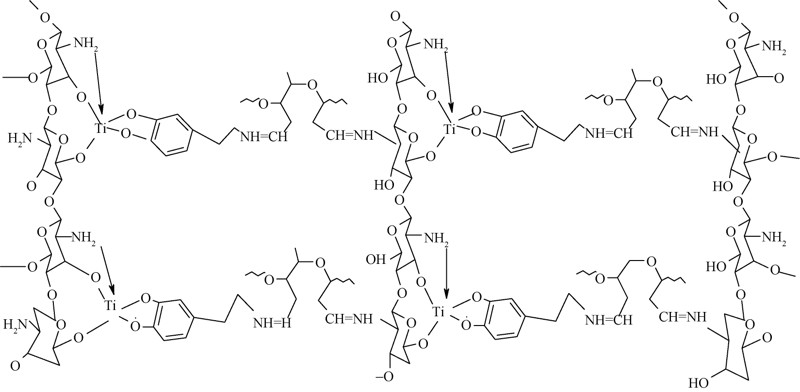
CS/WSK/PDA/TiO2气凝胶的结构示意图"

图4

杂化气凝胶的光学和SEM照片"

图5

杂化气凝胶X 射线衍射谱图"

图6

pH值对杂化气凝胶吸附量的影响"

图7

温度对杂化气凝胶吸附量的影响"

图8

杂化气凝胶质量对吸附量的影响"

图9

时间对杂化气凝胶吸附量影响"

图10

杂化气凝胶吸附3种活性染料的动力学拟合曲线"

表1

杂化气凝胶吸附3种活性染料的动力学参数"

染料 准一级动力学模型 准二级动力学模型
k1/min-1 R2 k2/(min·g·mg-1) R2 Qmax/(mg·g-1)
活性红紫X-2R 0.039 12 0.937 1 0.000 902 0.999 9 400.0
活性红KE-3B 0.022 70 0.976 5 0.000 122 0.996 9 398.4
活性黄M-3RE 0.044 73 0.982 2 0.000 438 0.998 5 404.9

图11

杂化气凝胶吸附3种活性染料的等温曲线"

图12

杂化气凝胶吸附3种活性染料吸附等温线模型拟合"

表2

杂化气凝胶吸附3种活性染料的吸附等温线模型参数"

染料 Langmuir Freundlich
KL/(L ·mg-1) aL R2 KF/(mg(n-1)/n·L1/n·g-1) 1/n R2
活性红紫X-2R 8.344 0.029 54 0.984 5 23.11 0.422 2 0.984 9
活性红KE-3B 4.080 0.018 65 0.980 4 16.6 0.406 0 0.996 7
活性黄M-3RE 4.578 0.016 48 0.964 2 17.2 0.441 1 0.993 9
[1] WANGPRADIT R, CHITPRASERT P. Chitosan-coated LentinuspolychrousLév: integrated biosorption and biodegradation systems for decolorization of anionic reactive dyes[J]. International Biodeterioration & Biodegradation, 2014,93:168-176.
[2] 贾艳萍, 姜成, 郭泽辉, 等. 印染废水深度处理及回用研究进展[J]. 纺织学报, 2017,38(8):172-180.
JIA Yanping, JIANG Cheng, GUO Zehui, et al. Research progress on deep treatment and recycling of dye wastewater[J]. Journal of Textile Research, 2017,38(8):172-180.
[3] 兰慧芳, 邹专勇, 朱卫红, 等. 颗粒活性炭对模拟活性染料废水的吸附脱色效果[J]. 纺织学报, 2013,34(5):70-75.
LAN Huifang, ZOU Zhuanyong, ZHU Weihong, et al. Analysis of adsorption decoloring effect of granular activated carbon for simulative reactive dye waste-water[J]. Journal of Textile Research, 2013,34(5):70-75.
[4] KAMAL T, ANWAR Y, KHAN S B, et al. Dye adsorption and bactericidal properties of TiO2/chitosan coating layer[J]. Carbohydr Polym, 2016,148:153-60.
doi: 10.1016/j.carbpol.2016.04.042 pmid: 27185126
[5] TAKESHITA S, SATOSHI Y. Chitosan aerogels: transparent, flexible thermal insulators[J]. Chemistry of Materials, 2015,27(22):7569-7572.
[6] 王世贤, 降帅, 李萌萌, 等. 硅烷偶联剂改性纳米纤维素气凝胶的制备及其表征[J]. 纺织学报, 2020,41(3):33-38.
WANG Shixian, JIANG Shuai, LI Mengmeng, et al. Preparation and characterization of nanocellulose aerogel modified by silane coupling agent[J]. Journal of Textile Research, 2020,41(3):33-38.
[7] YAN M, HUANG W, LI Z. Chitosan cross-linked graphene oxide/lignosulfonate composite aerogel for enhanced adsorption of methylene blue in water[J]. International Journal of Biological Macromolecules, 2019,136:927-935.
pmid: 31233788
[8] SHAO L, LIU H, ZENG W, et al. Immobilized and photocatalytic performances of PDMS-SiO2-chitosan@TiO2 composites on pumice under simulated sunlight irradiation[J]. Applied Surface Science, 2019,478:1017-1026.
[9] ABDULHAMEED A S, MOHAMMAD A T, JAWAD A H. Application of response surface methodology for enhanced synjournal of chitosan tripolyphosphate/TiO2 nanocomposite and adsorption of reactive orange 16 dyes[J]. Journal of Cleaner Production, 2019,232:43-56.
[10] BINAEIAN E, BABAEE ZADVARZI S, YUAN D. Anionic dye uptake via composite using chitosan-polyacrylamide hydrogel as matrix containing TiO2 nanoparticles; comprehensive adsorption studies[J]. Int J Biol Macromol, 2020,162:150-162.
pmid: 32565298
[11] SALZANO D L M, ASCIONE C, SANTILLO C, et al. Optimization of dye adsorption capacity and mechanical strength of chitosan aerogels through crosslinking strategy and graphene oxide addition[J]. Carbohydrate Polymers, 2019,211:195-203.
doi: 10.1016/j.carbpol.2019.02.002 pmid: 30824079
[12] GUO D M, AN Q D, XIAO Z Y, et al. Efficient removal of Pb(II), Cr(VI) and organic dyes by polydopamine modified chitosan aerogels[J]. Carbohydrate Polymers, 2018,202:306-314.
doi: 10.1016/j.carbpol.2018.08.140
[13] WANG X L, GUO D M, AN Q D, et al. High-efficacy adsorption of Cr(VI) and anionic dyes onto β-cyclodextrin/chitosan/hexamethylenetetramine aerogel beads with task-specific, integrated components[J]. International Journal of Biological Macromolecules, 2019,128:268-278.
pmid: 30695726
[14] YANG H, SHEIKHI A, VAN De Ven Tgm. Reusable green aerogels from cross-linked hairy nanocrystalline cellulose and modified chitosan for dye removal[J]. Langmuir, 2016,32(45):11771-11779.
pmid: 27775358
[15] RUAN Changqing, MARIA Strømme, JONASL Indh. Preparation of porous 2,3-dialdehyde cellulose beads crosslinked with chitosan and their application in adsorption of Congo red dye[J]. Carbohydrate Polymers, 2018,181:200-207.
pmid: 29253964
[1] 刘立东, 李新荣, 刘汉邦, 李丹丹. 服装面料静电吸附抓取转移电极板优化设计[J]. 纺织学报, 2021, 42(02): 185-192.
[2] 娄娅娅, 王静, 董燕超, 王春梅. 粘胶基沸石咪唑骨架材料的制备及其对染料的脱色[J]. 纺织学报, 2021, 42(02): 142-147.
[3] 徐保律, 吴伟, 钟毅, 徐红, 毛志平. 有机溶剂对液体活性染料分散和水解稳定性影响的模拟研究[J]. 纺织学报, 2021, 42(02): 113-121.
[4] 程绿竹, 王宗乾, 王邓峰, 申佳锟, 李长龙. 高中空生物质活性碳纤维制备及其对亚甲基蓝的吸附性能[J]. 纺织学报, 2021, 42(02): 129-134.
[5] 杨亚, 闫凤祎, 王卉, 张克勤. 丝素蛋白/磷酸八钙复合材料生物界面的蛋白质吸附和细胞响应[J]. 纺织学报, 2021, 42(02): 41-46.
[6] 鲁鹏, 洪思思, 林旭, 李慧, 刘国金, 周岚, 邵建中, 柴丽琴. 活性染料/聚苯乙烯复合胶体微球的制备及其在桑蚕丝织物上的结构生色[J]. 纺织学报, 2021, 42(01): 90-95.
[7] 刘汉邦, 李新荣, 刘立东. 服装面料自动抓取转移方法的研究进展[J]. 纺织学报, 2021, 42(01): 190-196.
[8] 夏云, 吕汪洋, 陈文兴. 模拟太阳光下金属酞菁/多壁碳纳米管催化降解染料[J]. 纺织学报, 2020, 41(12): 94-101.
[9] 宋英琦, 潘家豪, 吴礼光, 王挺, 董春颖. 可见光激发降解甲基橙的光催化漂浮球的制备[J]. 纺织学报, 2020, 41(12): 102-110.
[10] 汪希铭, 程凤, 高晶, 王璐. 交联改性对敷料用壳聚糖/聚氧化乙烯纳米纤维膜性能的影响[J]. 纺织学报, 2020, 41(12): 31-36.
[11] 孟晶, 高珊, 卢业虎. 石墨烯气凝胶复合防火面料防护性能的影响因素[J]. 纺织学报, 2020, 41(11): 116-121.
[12] 余钰骢, 史晓龙, 刘琳, 姚菊明. 用于油水分离的超润湿性纺织品研究进展[J]. 纺织学报, 2020, 41(11): 189-196.
[13] 李庆, 管斌斌, 王雅, 刘天卉, 张洛红, 樊增禄. 光敏剂敏化Cu-有机骨架对活性深蓝K-R的高效光催化降解[J]. 纺织学报, 2020, 41(10): 87-93.
[14] 杨凯, 张啸梅, 焦明立, 贾万顺, 刁泉, 李咏, 张彩云, 曹健. 高邻位酚醛基纳米活性碳纤维制备及其吸附性能[J]. 纺织学报, 2020, 41(08): 1-8.
[15] 张凌云, 钱晓明, 邹驰, 邹志伟. SiO2气凝胶/聚酯-聚乙烯双组分纤维复合保暖材料的制备及其性能[J]. 纺织学报, 2020, 41(08): 22-26.
Viewed
Full text


Abstract

Cited

  Shared   
  Discussed   
No Suggested Reading articles found!