纺织学报 ›› 2021, Vol. 42 ›› Issue (07): 82-88.doi: 10.13475/j.fzxb.20201007007

• 纺织工程 • 上一篇    下一篇

涤纶与芳纶及超高分子量聚乙烯纤维复合纱防刺织物的制备及其性能

李凤艳(), 叶天宇, 展晓晴, 赵健, 李聃阳, 王瑞   

  1. 天津工业大学 纺织科学与工程学院, 天津 300387
  • 收稿日期:2020-10-29 修回日期:2021-03-08 出版日期:2021-07-15 发布日期:2021-07-22
  • 作者简介:李凤艳(1978—),女,副教授,博士。主要研究方向为纺织纤维、纱线及产品开发。E-mail: fengyanli@tiangong.edu.cn

Preparation and properties of puncture-resistant fabrics made from polyester and aramid or ultrahigh molecular weight polyethylene compound yarns

LI Fengyan(), YE Tianyu, ZHAN Xiaoqing, ZHAO Jian, LI Danyang, WANG Rui   

  1. School of Textile Science and Engineering, Tiangong University, Tianjin 300387, China
  • Received:2020-10-29 Revised:2021-03-08 Published:2021-07-15 Online:2021-07-22

摘要:

为降低高性能纤维防刺织物的成本,改善产品的舒适性,通过将芳纶、超高分子量聚乙烯纤维与涤纶进行复合纺纱并制备防刺织物,测试分析了复合纱线基织物以及铺叠层数等对其静态防刺、透气和透湿性能的影响。结果表明:织物穿刺载荷随着面密度的增加而增加,复合纱中引入涤纶可保持或提高织物的防穿刺性能;增加复合纱线织物堆叠层数,织物刺破载荷值最大提升536%;通过增加纤维根数可在较低铺叠层数下达到相当程度的穿刺载荷;加入复合纱后,织物的透湿性和透气性无明显变化;多层织物堆叠对织物透气性有明显影响,随织物经纬密增大,堆叠后织物透气率下降,最大为64.82%。

关键词: 防刺织物, 复合纱, 静态穿刺, 芳纶, 超高分子量聚乙烯纤维, 涤纶, 高性能纤维

Abstract:

In order to reduce the costs and improve comfortability of puncture-resistant fabrics made from high performance fibers, the compound yarn with aramid or ultrahigh molecular weight polyethylene fiber (UHMWPE) and polyester were prepared and used as the yarn materials of puncture-resistant fabrics. The influence of compound yarn, fabric density and overlying layers on static puncture properties, air and moisture permeability of fabrics were measured and analyzed. The results show that the puncture force increases with the increase in fabric areal density, and the addition of polyester fibers either maintain or improve the puncture resistance of the fabrics. By increasing the fabric layers, the maximal load improvement is close to 536%. In addition, the puncture load could be achieved by increasing fiber content with small fabric layers.The addition of compound yarn has no influence on air and moisture permeability of the fabrics. However, the air permeability are significantly decreased with overlying layers to 64.82% with the increase of fabric warp and weft densities.

Key words: puncture-resistant fabric, compound yarn, static puncture, aramid, ultrahigh molecular weight polyethylene fiber, polyester, high performance fiber

中图分类号: 

  • TS156

表1

织物规格"

样品编号 经纱原料 纬纱原料 面密度/(g·m-2) 织物厚度/mm 织物密度/(根·(10 cm)-1) 纱线线密度
经向 纬向 经纱 纬纱
Z-1 2# 2# 388.15 0.76 170 130 111 tex(667 f)+
8.33 tex(72 f)
111 tex(667 f)+
8.33 tex(72 f)
Z-2 393.91 0.88 170 130
Z-3 364.95 0.82 170 110
Z-4 K 351.34 0.70 170 100 111 tex(667 f)
Z-5 U 6# 105.77 0.25 200 160 22.22 tex(198 f) 22.22 tex(198 f)+
8.33 tex(72 f)
Z-6 120.02 0.24 200 200
Z-7 133.65 0.26 200 240
Z-8 6# 6# 119.97 0.35 240 160 22.22 tex(198 f)+
8.33 tex(72 f)
22.22 tex(198 f)+
8.33 tex(72 f)
Z-9 154.27 0.37 240 200
Z-10 162.41 0.34 240 240
Z-11 148.76 0.36 240 240
Z-12 171.65 0.45 240 280

表2

市售样品的规格"

样品编号 经纱原料 纬纱原料 面密度/(g·m-2) 织物厚度/mm 织物密度/(根·(10 cm)-1) 纱线线密度
经向 纬向 经纱 纬纱
Y-1 K K 200 0.283 54 54 166.67 tex(1 000 f) 166.67 tex(1 000 f)
Y-2 220 0.316 100 100 111.11 tex(667 f) 111.11 tex(667 f)
Y-3 240 0.317 70 70 166.67 tex(1 000 f) 166.67 tex(1 000 f)
Y-4 400 0.574 60 54 333.33 tex(1 300 f) 333.33 tex(1 300 f)
Y-5 U U 90 0.180 200 180 22.22 tex(198 f) 22.22 tex(198 f)
Y-6 130 0.329 150 150 44.44 tex(240 f) 44.44 tex(240 f)
Y-7 180 0.405 220 240
Y-8 240 0.620 90 90 133.33 tex(768 f) 133.33 tex(768 f)

图1

防刺测试用工具"

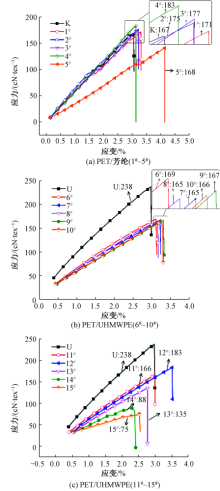
图2

复合纱的应力与应变曲线"

表3

单层织物防刺性能"

样品编号 高性能纤维根数/
(根·m-2)
纤维总根数/
(根·m-2)
载荷/N
Y-1 108 000 108 000 33.597
Y-2 133 400 133 400 44.394
Y-3 140 000 140 000 66.480
Y-4 148 200 148 200 95.267
Y-5 75 240 75 240 20.753
Y-6 72 000 72 000 24.341
Y-7 110 400 110 400 40.799
Y-8 138 240 138 240 59.761
Z-1 115 284 221 700 119.427
Z-2 100 504 206 920 112.418
Z-3 115 284 221 700 165.119
Z-4 139 122 192 330 50.325
Z-5 63 359 828 00 20.023
Z-6 74 159 93 600 22.601
Z-7 84 961 104 400 24.196
Z-8 69 120 108 000 23.791
Z-9 83 160 118 800 28.151
Z-10 87 182 129 600 30.118
Z-11 90 720 129 600 27.044
Z-12 101 523 140 400 30.511

表4

堆叠层数对织物防穿刺性能的影响"

样品
编号
堆叠
层数
高性能纤维根数/
(根·m-2)
纤维总根数/
(根·m-2)
载荷/N
Y-5 1 108 000 108 000 20.753
2 150 480 150 480 38.352
3 225 720 225 720 65.854
4 300 960 300 960 90.843
Y-6 1 72 000 72 000 24.341
2 144 000 144 000 47.791
3 216 000 216 000 76.222
4 288 000 288 000 99.749
Y-7 1 110 400 110 400 40.799
2 220 800 220 800 95.359
3 331 200 331 200 170.436
4 441 600 441 600 173.404
Y-8 1 138 240 138 240 59.761
2 276 480 276 480 127.175
3 414 720 414 720 274.523
4 552 960 552 960 295.710
Z-5 1 63 359 82 800 20.023
2 126 718 165 600 35.345
3 190 077 248 400 56.139
4 253 436 331 200 61.908
Z-6 1 74 159 93 600 22.601
2 148 318 187 200 52.491
3 222 477 280 800 72.993
4 296 636 374 400 110.396
Z-7 1 84 961 104 400 24.196
2 169 922 208 800 65.473
3 254 883 313 200 92.010
4 339 844 417 600 172.197

图3

单层织物刺穿形貌照片"

图4

多层织物刺穿形貌照片"

表5

织物的透气率"

样品编号 堆叠层数 透气率/(mm·s-1)
Y-5 1 36.22
2 23.11
4 17.12
Z-5 1 44.35
2 31.88
4 26.97
Z-6 1 37.37
2 27.39
4 18.94
Z-7 1 29.99
2 17.67
4 10.55

表6

织物的透湿率"

样品编号 透湿率/(g·m-2·h-1)
Y-5 124.42
Z-5 124.20
Z-6 119.05
Z-7 106.57
[1] JI Tingchao, QIAN Xinming, YUAN Mengqi, et al. Experimental study of thermal comfort on stab resistant body armor[J]. Springer Plus, 2016, 5(1):1168-1182.
doi: 10.1186/s40064-016-2432-x
[2] 李宁, 宋广礼, 刘梁森, 等. 芳纶针织物的防刺性能[J]. 纺织学报, 2014, 35(12):31-35,56.
LI Ning, SONG Guangli, LIU Liangsen, et al. Stabbing-resistance performance of aramid fabric[J]. Journal of Textile Research, 2014, 35(12):31-35,56.
[3] 艾青松, 虎龙, 吴中伟, 等. 芳纶无纬布防刺性能初探[J]. 玻璃钢/复合材料, 2019(5):106-109.
AI Qingsong, HU Long, WU Zhongwei, et al. Study on the stab performance of aramid UD cloth[J]. Fiber Reinforced Plastics/Composites, 2019(5):106-109.
[4] MILLAN M R, DIAZ A A, RUIZ A J, et al. Experimental analysis for stabbing resistance of different aramid composite architectures[J]. Composite Structures, 2019, 208:525-534.
doi: 10.1016/j.compstruct.2018.10.042
[5] LI Changsheng, HUANG Xiancong, LI Yan, et al. Stab resistance of UHMWPE fiber composites impregnated with thermoplastics[J]. Polymers for Advanced Technologies, 2014, 25(9):1014-1019.
doi: 10.1002/pat.3344
[6] YANG Shasha, DU Zhaoqun. Analysis of stabbing performance of UHMWPE fabric at different angles[J]. Advanced Materials Research, 2013, 821:223-225.
[7] 张恒, 甄琪, 钱晓明, 等. 仿生树型超高分子量聚乙烯柔性防刺复合材料制备及其透湿性能[J]. 纺织学报, 2018, 39(4):63-68.
ZHANG Heng, ZHEN Qi, QIAN Xiaoming, et al. Preparation and moisture permeability of ultra-high molecular weight polyethylene flexible stab-resistant composite with dendritic structure[J]. Journal of Textile Research, 2018, 39(4):63-68.
[8] WEI Rubin. Enhancing stab resistance of thermoset-aramid composite fabrics by coating with SiC particles[J]. Journal of Industrial Textiles, 2019, 48(7):1228-1241.
doi: 10.1177/1528083718760804
[9] 王新厚, 张琳梅, 孙晓霞. 柔性防刺聚酯/碳化硅织物的制备及其防刺性能[J]. 纺织学报, 2019, 40(6):172-176,182.
WANG Xinhou, ZHANG Linmei, ZHANG Xiaoxia. Preparation of flexible puncture-proof polyester/SiC and puncture-proof property[J]. Journal of Textile Research, 2019, 40(6):172-176,182.
[10] MILLANA R M, DIAZ A A, RUIZB A J. Experimental analysis for stabbing resistance of different aramid composite architectures[J]. Composite Structures, 2019, 208:525-534.
doi: 10.1016/j.compstruct.2018.10.042
[11] LEE Chohsun, LOU Chingwen, CHEN Jinmao, et al. Process technology and performance evaluation of nylon 6/PU stab resistance fabric matrix[J]. Key Engineering Materials, 2010, 443:631-636.
doi: 10.4028/www.scientific.net/KEM.443
[12] LIU X, HUO J, LI T, et al. Effect of plasma-treated silica on the stab resistance of shear thickening fluid impregnated aramid fabrics[J]. Materials Reports, 2019, 33(8):2799-2803.
[13] LI Tingting, DAI Wenna, WU Liwei, et al. Effects of STF and fiber characteristics on quasi-static stab resistant properties of shear thickening fluid (STF)-impregnated UHMWPE/Kevlar composite fabrics[J]. Fibers and Polymers, 2019, 20(2):328-336.
doi: 10.1007/s12221-019-8446-6
[14] 钟智丽, 王玉新. 聚丙烯长丝/芳纶复合纱捻度的优化[J]. 纺织学报, 2014, 35(6):40-44.
ZHONG Zhili, WANG Yuxin. Twist optimization of polypropylene filament/aramid wrapped yarn[J]. Journal of Textile Research, 2014, 35(6):40-44.
[1] 徐凯, 田星, 曹英, 何雅琦, 夏延致, 全凤玉. 阻燃涤纶/海藻酸钙纤维复合材料的制备及其性能[J]. 纺织学报, 2021, 42(07): 19-24.
[2] 孟灵灵, 魏取福, 严忠杰, 仲珍珍, 王小慧, 沈佳宇, 陈洪炜. 磁控溅射Ag/ZnO纳米薄膜涤纶织物的制备及其性能[J]. 纺织学报, 2021, 42(03): 143-148.
[3] 黄笛, 李芳, 李刚. 涤纶/蚕丝机织心脏瓣膜的制备及其性能[J]. 纺织学报, 2021, 42(02): 74-79.
[4] 邵景峰, 李宁, 蔡再生. 基于模糊多准则的涤纶低弹丝生产工艺参数优化[J]. 纺织学报, 2021, 42(01): 46-52.
[5] 陈洁如, 邱诗苑, 杨青青, 周熠. 基于可调张力装置的芳纶织物交织阻力研究[J]. 纺织学报, 2021, 42(01): 67-72.
[6] 马丽芸, 吴荣辉, 刘赛, 张玉泽, 汪军. 包缠复合纱摩擦纳米发电机的制备及其电学性能[J]. 纺织学报, 2021, 42(01): 53-58.
[7] 李美真, 赵士毅, 冯艳丽, 郭晓卿, 于晓庆. F-12芳纶织物输送带的制备及其性能[J]. 纺织学报, 2020, 41(12): 87-93.
[8] 刘淑强, 武捷, 吴改红, 阴晓龙, 李甫, 张曼. 纳米SiO2对玄武岩纤维的表面改性[J]. 纺织学报, 2020, 41(12): 37-41.
[9] 杨雅茹, 沈小军, 唐柏林, 牛梅. 超高分子量聚乙烯纤维的无卤阻燃整理[J]. 纺织学报, 2020, 41(11): 109-115.
[10] 王秋萍, 张瑞萍, 李成红, 张葛成. 导电涤纶非织造布的制备及其性能[J]. 纺织学报, 2020, 41(10): 116-121.
[11] 李亮, 刘静芳, 胡泽栋, 耿长军, 刘让同. 涤纶织物的氧化石墨烯负载及其抗静电性能[J]. 纺织学报, 2020, 41(09): 102-107.
[12] 展晓晴, 李凤艳, 赵健, 李海琼. 超高分子量聚乙烯纤维的热力学稳定性能[J]. 纺织学报, 2020, 41(08): 9-14.
[13] 马飞飞. 离散树脂成型复合材料的防刺与服用性能[J]. 纺织学报, 2020, 41(07): 67-71.
[14] 许黛芳. 磷酸改性芳纶对聚氨酯硬质泡沫阻燃抑烟性能的影响[J]. 纺织学报, 2020, 41(05): 30-37.
[15] 刘国金, 韩朋帅, 柴丽琴, 吴钰, 李慧, 高雅芳, 周岚. 涤纶织物上自交联型P(St-NMA)光子晶体的构筑及其结构稳固性[J]. 纺织学报, 2020, 41(05): 99-104.
Viewed
Full text


Abstract

Cited

  Shared   
  Discussed   
No Suggested Reading articles found!