纺织学报 ›› 2024, Vol. 45 ›› Issue (02): 67-76.doi: 10.13475/j.fzxb.20231005001
居傲1,2, 向卫宏1,2, 崔艳超3, 孙颖1,2(
), 陈利1,2
JU Ao1,2, XIANG Weihong1,2, CUI Yanchao3, SUN Ying1,2(
), CHEN Li1,2
摘要:
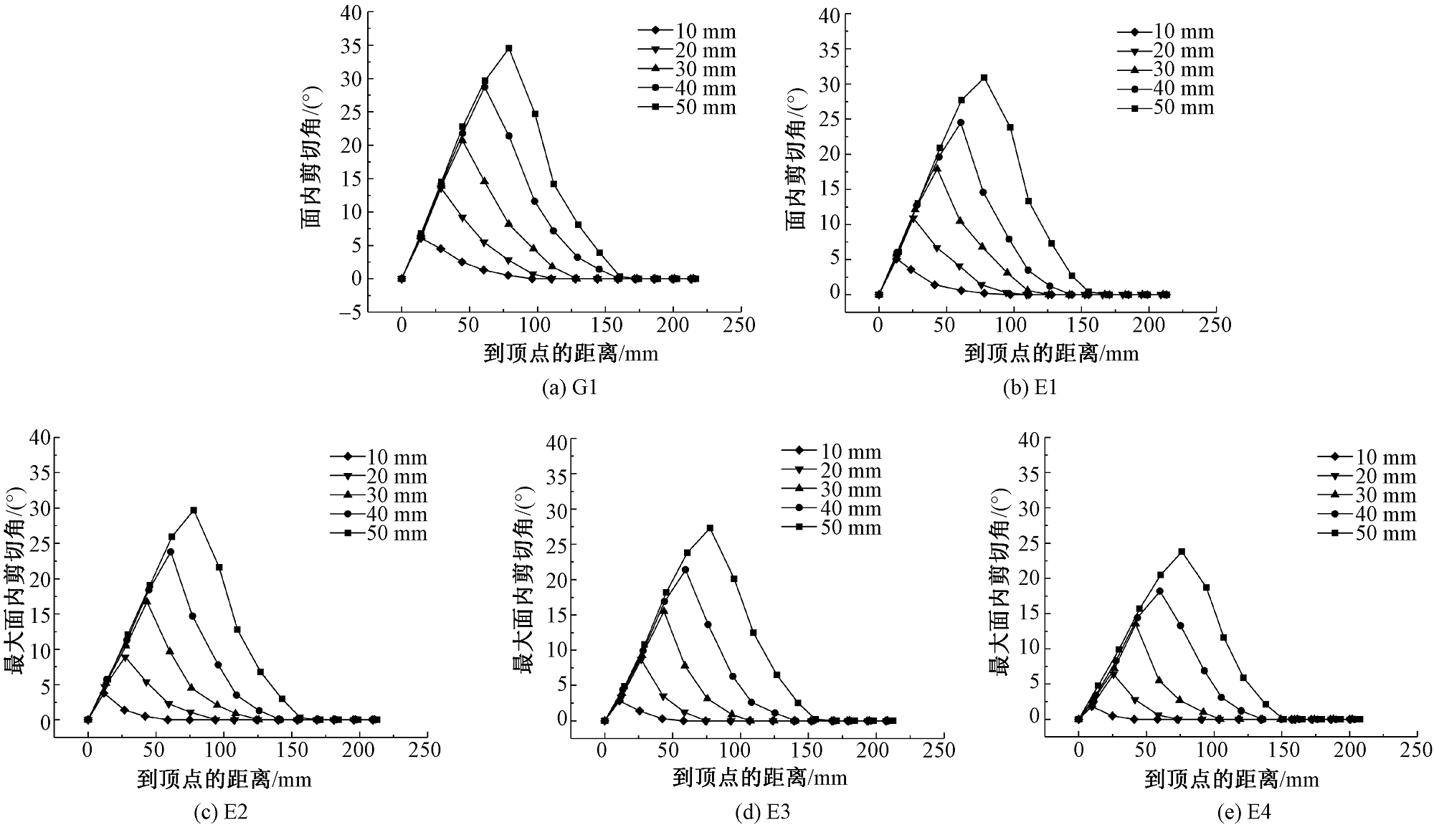
为开发既具有电热性能又满足对三维表面具有一定适应性的电加热织物,采用定制纤维铺放(TFP)工艺设计制备直线形、正弦波形、锯齿形和尖角形4种镍铬合金丝排布方式的电加热织物,研究电加热织物的电热性能和半球成型性能。结果表明:10 V直流电压下通电30 s,4种电加热织物表面最高平衡温度分别达到159.5、92.8、66.7和31.5 ℃,温度分布均匀;反作用力与镍铬合金丝排布方式密切相关;半球成型最终状态下,直线形电加热织物成型反作用力最小,表面褶皱和细观缺陷最少,且最大面内剪切角为32.26°;与未引入镍铬合金丝玻璃纤维基底织物相近,即直线形电加热织物半球成型性优于正弦波形、锯齿形和尖角形电加热织物。
中图分类号:
| [1] | 许静娴, 刘莉, 李俊. 镀银纱线电热针织物的开发及性能评价[J]. 纺织学报, 2016, 37 (12): 24-28. |
| XU Jingxian, LIU Li, LI Jun. Development and perfor mance evaluation of electrically-heated textile based on silver-coated yarn[J]. Journal of Textile Research, 2016, 37 (12): 24-28. | |
| [2] | 谌广昌, 纪双英, 赵文明, 等. 直升机旋翼除冰系统加热垫试验研究[J]. 航空工程进展, 2019, 10 (2): 201-205. |
| CHEN Guangchang, JI Shuangying, ZHAO Wenming, et al. Experimental study on hheating pad of helicopter ro-tor deicing system[J]. Progress in Aviation Engineering, 2019, 10(2):201-205. | |
| [3] | YUE Chengming, ZHANG Yingying, LU Weibang, et al. Realizing the curing of polymer composite materials by using electrical resistance heating: a review[J]. Composite Part A, 2022. DOI: 10.1016/j.compositesa.2022.107181. |
| [4] |
HAN Shuangye, WEI Haibin, HAN Leilei, et al. Durability and electrical conductivity of carbon fiber cloth/ethylene propylene diene monomer rubber composite for active deicing and snow melting[J]. Polymers, 2019, 11 (12): 2051.
doi: 10.3390/polym11122051 |
| [5] | LEE J S, JO H, CHOE H S, et al. Electro-thermal heating element with a nickel-plated carbon fabric for the leading edge of a wing-shaped composite applica-tion[J]. Composite Structures, 2022. DOI: 10.1016/j.compstruct.2022.115510. |
| [6] | 方纾, 刘皓, 刘莉. 柔性电加热元件与智能加热服装服饰研究进展[J]. 北京服装学院学报, 2019, 39(2): 83-94. |
| FANG Shu, LIU Hao, LIU Li. Research progress of flexible electric heating element and smart heating garments[J]. Joumal of Beijing Institute of Clothing Technology, 2019, 39(2): 83-94. | |
| [7] |
SYED T A H, ANURA F, MUHAMMAD M. Thermo-mechanical behavior of stainless steel knitted struc-tures[J]. Heat Mass Transfer, 2015, 52: 1-10.
doi: 10.1007/s00231-015-1573-8 |
| [8] | ROH J S, KIM S. All-fabric intelligent temperature regulation system for smart clothing applications[J]. Journal of lntelligent Material Systems and Structures, 2016, 27: 1165-1175. |
| [9] |
BAI Yanyan, LI Hongxia, GAN Shijin, et al. Flexible heating fabrics with temperature perception based on fine copper wire and fusible interlining fabrics[J]. Measurement, 2018, 122: 192-200.
doi: 10.1016/j.measurement.2018.03.021 |
| [10] | 戴海军, 李嘉禄, 孙颖, 等. 纬编双轴向织物/环氧树脂电加热复合材料电热及层间剪切性能[J]. 复合材料学报, 2020, 37(8): 1997-2004. |
| DAI Haijun, LI Jialu, SUN Ying, et al. Electrothermal and interlaminar shear properties of weft knitted biaxial fabric/epoxy electrically heated composites[J]. Acta Materiae Compositae Sinica, 2020, 37(8):1997-2004. | |
| [11] |
WU Qian, HU Jinlian. Waterborne polyurethane based thermoelectric composites and their application potential in wearable thermoelectric textiles[J]. Composites Part B, 2016, 107:59-66.
doi: 10.1016/j.compositesb.2016.09.068 |
| [12] |
MORAES M R, ALVES A C, TOPTAN F, et al. Glycerol/pedot:pss coated woven fabric as flexible heating element on textiles[J]. Journal of Materials Chemistry C, 2017, 5:3807-3822.
doi: 10.1039/C7TC00486A |
| [13] | UHLIG Kai, BITTRICH Lars, SPICKENHEUER Axel, et al. Waviness and fiber volume content analysis in continuous carbon fiber reinforced plastics made by tailored fiber placement[J]. Composite Structures, 2019. DOI: 10.1016/j.compstruct.2019.110910. |
| [14] | 张艳明, 姜亚明, 邱冠雄, 等. 纬编双轴向多层衬纱织物的双半球成型性[J]. 纺织学报, 2005, 26 (3): 54-56. |
| ZHANG Yanming, JIANG Yaming, QIU Guanxiong, et al. Formability of multi-layered biaxial weft knitted fabrics on double hemisphere[J]. Journal of Textile Research, 2005, 26 (3): 54-56. | |
| [15] | JIAO Wei, CHEN Li, XIE Junbo, et al. Deformation mechanisms of 3d ltl woven preforms in hemisphere forming tests[J]. Composite Structures, 2022. DOI: 10.1016/j.compstruct.2021.115156. |
| [16] |
RASHIDI A, MILANI A S. Passive control of wrinkles in woven fabric preforms using a geometrical modification of blank holders[J]. Composite Part A, 2018, 105: 300-309.
doi: 10.1016/j.compositesa.2017.11.023 |
| [17] |
LABANIEH AR, GARNIER C, OUAGNE P, et al. Intra-ply yarn sliding defect in hemisphere preforming of a woven preform[J]. Composite Part A, 2018, 107: 432-446.
doi: 10.1016/j.compositesa.2018.01.018 |
| [18] | MEI Ming, HE Yujia, YANG Xujing, et al. Shear deformation characteristics and defect evolution of the biaxial ±45° and 0/90° glass non-crimp fabrics[J]. Composites Science and Technology, 2020. DOI: 10.1016/j.compscitech.2020.108137. |
| [1] | 程子琪, 卢业虎, 许静娴. 电热织物系统热传递模拟及其参数设计[J]. 纺织学报, 2024, 45(02): 206-213. |
| [2] | 贾丽萍, 黎明, 李威龙, 冉建华, 毕曙光, 李时伟. 基于长银纳米线的应变传感与电热双功能包芯纱的制备及其性能[J]. 纺织学报, 2023, 44(10): 113-119. |
| [3] | 黄锦波, 邵灵达, 祝成炎. 炭化三维间隔棉织物的制备及其电加热性能[J]. 纺织学报, 2023, 44(04): 139-145. |
| [4] | 姚明远, 刘宁娟, 王嘉宁, 许福军, 刘玮. 功能化碳纳米管复合薄膜及其膜卷纱的电热性能[J]. 纺织学报, 2022, 43(05): 86-91. |
| [5] | 许静娴 刘莉 李俊. 镀银纱线电热针织物的开发及性能评价[J]. 纺织学报, 2016, 37(12): 24-28. |
| [6] | 陈莉 刘皓. 可加热纬编针织物的电热性能[J]. 纺织学报, 2015, 36(04): 50-54. |
|
||