纺织学报 ›› 2025, Vol. 46 ›› Issue (09): 232-241.doi: 10.13475/j.fzxb.20241002501
孟子钰1, 鲁文其2(
), 张颂2, 苗盛鸿2, 黄富华2, 彭来湖2
MENG Ziyu1, LU Wenqi2(
), ZHANG Song2, MIAO Shenghong2, HUANG Fuhua2, PENG Laihu2
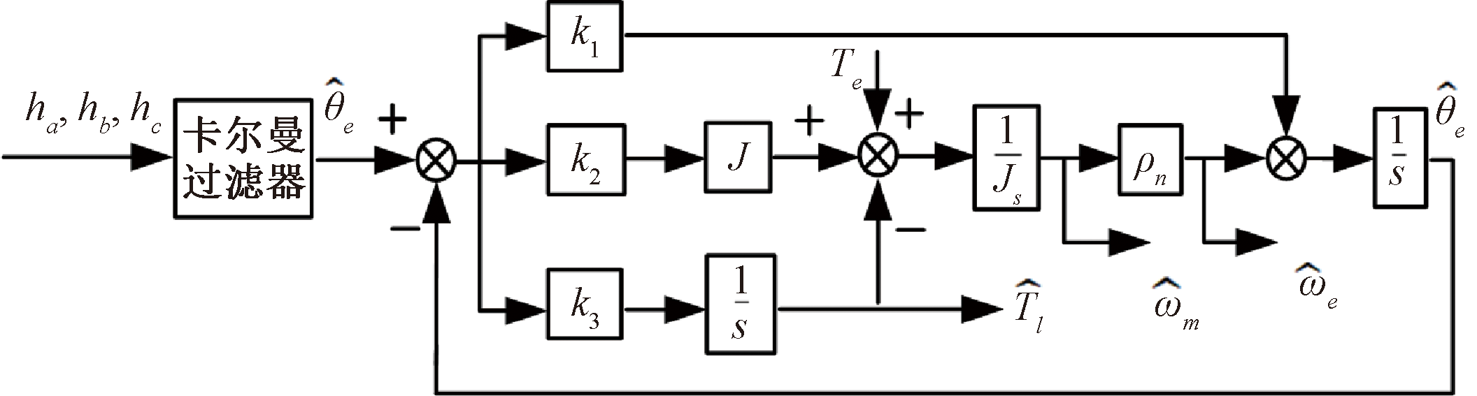
摘要: 基于开关型霍尔位置传感器的永磁同步电动机控制系统虽具有高功率密度、高效率等优势,但该类型传感器的信号跳变离散,使电动机的位置和速度估算出现较大误差,进而影响了储纬器纱线输送的运行性能。为提高电动机转子估算的精度,以增强储纬器纱线输送的稳定性,提出了基于卡尔曼前馈拟合状态观测器的电动机转子位置和速度估计方法。首先采用卡尔曼迭代算法对离散的霍尔信号进行滤波及拟合,以消除霍尔安装偏差造成的噪声扰动;其次,采用全维状态观测器对电动机的转子位置信息进行估算,最终获得连续的电动机转子位置和速度信息。为验证提出算法的有效性,搭建实验平台进行了测试。结果表明:相较于传统的线性外插算法,采用改进卡尔曼前馈拟合状态观测器算法的系统,在启动阶段,电动机转子位置及速度的估算精度更高;在整个运行过程,纱线输送的动态性能和稳态性能更好。
中图分类号:
| [1] | 钟开峰. 基于矢量控制的电子储纬器研制[D]. 杭州: 杭州电子科技大学, 2017:2-5. |
| ZHONG Kaifeng. Research on electronic weft storage based on vector control[D]. Hangzhou: Hangzhou Dianzi University, 2017:2-5. | |
| [2] | 沈之远. 基于无刷直流电机的电子储纬器系统研究[D]. 杭州: 浙江师范大学, 2015:3-7. |
| SHEN Zhiyuan. Research on electronic weft storage system based on brushless DC motor[D]. Hangzhou: Zhejiang Normal University, 2015:4-8. | |
| [3] | 潘湘高, 李晓峰. 纺织印染机械多电机群变频调速同步DCS[J]. 纺织学报, 2007, 28(4):116-120. |
| PAN Xianggao, LI Xiaofeng. DCS of multi-drive variable frequency adjusting speed synchronization system for weaving and dyeing machines[J]. Journal of Textile Research, 2007, 28(4): 116-120. | |
| [4] | 莫帅, 周长鹏, 李旭, 等. 机器人智能关节驱控结构一体化设计方法研究[J]. 纺织学报, 2022, 43(3): 160-167. |
| MO Shuai, ZHOU Changpeng, LI Xu, et al. Research on integrated design method of robot intelligent joint drive and control structure[J]. Journal of Textile Research, 2022, 43(3): 160-167. | |
| [5] | CANDELO Z C, RIBA J R, GARCIA A. PMSM parameter estimation for sensorless FOC based on differential power factor[J]. IEEE Transactions on Instrumentation and Measurement, 2021, 70: 1504212. |
| [6] | 黄云龙, 林忠能, 朱建江, 等. 自动袜机用伺服电动机的近似匀加减速控制方法[J]. 纺织学报, 2012, 33(4): 124-128. |
| HUANG Yunlong, LIN Zhongneng, ZHU Jianjiang, et al. Approximate uniform acceleration-deceleration control method of servo motor for hosiery[J]. Journal of Textile Research, 2012, 33(4): 124-128. | |
| [7] |
CHEN Z, SHI T, LIN Z, et al. Analysis and Control of current harmonic in IPMSM field-oriented control system[J]. IEEE Transactions on Power Electronics, 2022, 37(8): 9571-9585.
doi: 10.1109/TPEL.2022.3155243 |
| [8] |
WU Z Q, YANG Z J, DING K, et al. Transfer mechanism analysis of injected voltage harmonic and its effect on current harmonic regulation in FOC PMSM[J]. IEEE Transactions on Power Electronics, 2022, 37(1): 820-829.
doi: 10.1109/TPEL.2021.3097103 |
| [9] | 蒋林军, 张华. 无传感器参数自适应纱线卷绕张力控制方法[J]. 纺织学报, 2022, 43(4): 167-173. |
| JIANG Linjun, ZHANG Hua. Sensorless parameter adaptive tension control method of winding yarns[J]. Journal of Textile Research, 2022, 43(4): 167-173. | |
| [10] |
KHADAR S, ABU R H, KOUZOU A. Sensorless field-oriented control for open-end winding five-phase induction motor with parameters estimation[J]. IEEE Open Journal of the Industrial Electronics Society, 2021, 2: 266-279.
doi: 10.1109/OJIES.2021.3072232 |
| [11] |
YAN H, WANG W, XU Y, et al. Position sensorless control for PMSM drives with single current sensor[J]. IEEE Transactions on Industrial Electronics, 2023, 70(1): 178-188.
doi: 10.1109/TIE.2022.3148748 |
| [12] |
WANG Y, BAO X, HUA W, et al. Implementation of embedded magnetic encoder for rotor position detection based on arbitrary phase-shift phase-lock loop[J]. IEEE Transactions on Industrial Electronics, 2022, 69(2): 2033-2043.
doi: 10.1109/TIE.2021.3062270 |
| [13] |
NOVAK Z. Confidence weighted learning entropy for fault-tolerant control of a PMSM with a high-resolution hall encoder[J]. IEEE Transactions on Industrial Electronics, 2024, 71(5): 5176-5186.
doi: 10.1109/TIE.2023.3283690 |
| [14] | 戴宁, 胡旭东, 彭来湖, 等. 无缝内衣机密度电动机的控制技术[J]. 纺织学报, 2020, 41(6): 161-167. |
| DAI Ning, HU Xudong, PENG Laihu, et al. Control technology for density motor used in seamless underwear machines[J]. Journal of Textile Research, 2020, 41(6): 161-167. | |
| [15] | 彭来湖, 罗昌, 牛冲, 等. 针织纬编氨纶输送控制技术[J]. 纺织学报, 2021, 42(4): 162-169. |
| PENG Laihu, LUO Chang, NIU Chong, et al. Control technology for spandex yarn delivery in weft knitting[J]. Journal of Textile Research, 2021, 42(4): 162-169. | |
| [16] | 吕德刚, 都泽源, 姜彪, 等. 交流伺服电机霍尔位置传感器关机技术综述[J]. 哈尔滨理工大学学报, 2019, 24(6): 64-71. |
| LÜ Degang, DU Zeyuan, JIANG Biao, et al. Review of key technologies for AC servo motors with hall position sensors[J]. Journal of Harbin University of Science and Technology, 2019, 24(6): 64-71. | |
| [17] | 王凯, 王之赟, 宗兆伦, 等. 基于霍尔位置传感器的永磁同步电机速度估计方法研究[J]. 电机与控制学报, 2019, 23(7): 47-52. |
| WANG Kai, WANG Zhiyun, ZONG Zhaolun, et al. Research on speed estimation method of permanent magnet synchronous motor based on hall position sensor[J]. Electric Machines and Control, 2019, 23(7): 47-52. | |
| [18] | 韩安太, 郭小华. 新型交流伺服系统在工业缝纫机中的应用[J]. 纺织学报, 2009, 30(4): 117-122. |
| HAN Antai, GUO Xiaohua. Use of novel AC servo control system in industrial sewing machines[J]. Journal of Textile Research, 2009, 30(4): 117-122. | |
| [19] | 张涵, 王凯, 李健, 等. 基于开关型霍尔的交替极永磁电机位置估算策略[J]. 中国电机工程学报, 2020, 40(7): 2377-2384. |
| ZHANG Han, WANG Kai, LI Jian, et al. Position estimation strategy for alternating pole permanent magnet motor based on hall switch sensor[J]. Proceedings of the CSEE, 2020, 40(7): 2377-2384. | |
| [20] | DEGNER M W. Flux, position, and velocity estimation in AC machines using carrier signal injection[D]. Madison: The University of Wisconsin-Madison, 1998:8-11. |
| [21] |
TESCH T R, LORENZ R D. Disturbance torque state estimation with low-resolution position interfaces using heterodyning observers[J]. IEEE Transactions on Industry Applications, 2008, 44(1): 124-134.
doi: 10.1109/TIA.2007.912736 |
| [22] |
ZHANG Y, HUANG X, DING X, et al. Speed control strategy of low-cost modular permanent magnet synchronous linear motor based on sliding mode vector tracking observer[J]. IEEE Transactions on Industry Applications, 2023, 59(1): 866-872.
doi: 10.1109/TIA.2022.3207698 |
| [23] |
ZHANG Q, FENG M. Fast fault diagnosis method for Hall sensors in brushless DC motor drives[J]. IEEE Transactions on Power Electronics, 2019, 34(3): 2585-2596.
doi: 10.1109/TPEL.63 |
| [24] |
XIN Z, WANG J, ZHAO H. Rotor position estimation using harmonic-decomposition complex-coefficient filter-based PLL for PMSM with switch hall-effect sensors[J]. IEEE Journal of Emerging and Selected Topics in Power Electronics, 2024, 12(2):2249-2259.
doi: 10.1109/JESTPE.2024.3359610 |
| [25] |
CORZINE K A, SUDHOFF S D. A hybrid observer for high performance brushless DC motor drives[J]. IEEE Transactions on Energy Conversion, 1996, 11(2): 318-323.
doi: 10.1109/60.507184 |
| [1] | 姚俊红. 络筒机用计长仪的研制[J]. 纺织学报, 2012, 33(9): 126-129. |
| [2] | 韩安太;郭小华. 新型交流伺服控制系统在工业缝纫机中的应用[J]. 纺织学报, 2009, 30(04): 117-122. |
| [3] | 盛井龙;陈庆官;徐帅;郭恒勇. 基于虚拟仪器的蚕丝细度连续测量控制系统[J]. 纺织学报, 2008, 29(11): 107-110. |
|
||