纺织学报 ›› 2021, Vol. 42 ›› Issue (02): 161-167.doi: 10.13475/j.fzxb.20200908807

• 染整与化学品 • 上一篇    下一篇

自交联氟化聚丙烯酸酯乳液的制备及其应用性能

蔡露(), 康佳良, 吕存, 何雪梅   

  1. 盐城工学院 纺织服装学院, 江苏 盐城 224051
  • 收稿日期:2020-09-30 修回日期:2020-11-03 出版日期:2021-02-15 发布日期:2021-02-23
  • 作者简介:蔡露(1988—),女,讲师,博士。主要研究方向为纺织用特种功能材料的制备及构效关系。E-mail: sudacaicai@163.com
  • 基金资助:
    国家自然科学基金青年科学基金项目(51803175)

Preparation of self-crosslinking fluorinated polyacrylate emulsion and its application properties

CAI Lu(), KANG Jialiang, LÜ Cun, HE Xuemei   

  1. College of Textiles and Clothing, Yancheng Institute of Technology, Yancheng, Jiangsu 224051, China
  • Received:2020-09-30 Revised:2020-11-03 Online:2021-02-15 Published:2021-02-23

摘要:

针对长链全氟烷基化合物对环境和人体的危害性,以环境友好的全氟己基乙基丙烯酸酯为功能单体,γ-甲基丙烯酰氧基丙基三甲氧基硅烷为交联单体,采用乳液聚合法制备了4种不同交联剂含量的氟化聚丙烯酸酯乳液,以此替代长链全氟烷基化合物。借助激光粒度仪、傅里叶红外光谱仪、热重分析仪对氟化聚丙烯酸酯乳液结构和性能进行分析。并以棉织物为对象,考察了自交联氟化聚丙烯酸酯乳液的应用性能。结果表明:交联剂的加入可以提高氟化聚丙烯酸酯的热稳定性能;自交联氟化聚丙烯酸酯可在棉织物表面形成完整的拒水膜,其静态接触角可达138.2°;随着交联剂质量分数的增加,整理后棉织物的静态接触角下降至90.6°;当交联剂添加量为1.68 g时,整理棉织物表现出良好的耐洗性能。

关键词: 自交联, 氟化聚丙烯酸酯, 乳液聚合, 拒水整理, 耐洗性能, 棉织物

Abstract:

In view of the risks of long-chain perfluoroalkyl compounds to the environment and human body, four types of self-crosslinking fluorinated polyacrylates with different crosslinking agent contents were prepared by emulsion polymerization in this research. The long-chain perfluoroalkyl compounds were replaced by using environmentally friendly perfluorohexyl ethyl acrylate as functional monomer and γ-methacryloxypropyltrimethoxysilane as the crosslinking agent. The structure and performance of the self-crosslinking fluorinated polyacrylate emulsions were analyzed using particle size tester, Zeta potential analyzer, Fourier transform infrared spectrum and thermo-gravimetric analysis, and the application performance of self-crosslinking fluorinated polyacrylate emulsions were investigated with on cotton fabrics as the application object. The results show that the addition of crosslinking agent works in improving the thermal stability of fluorinated polyacrylate.Self-crosslinking fluorinated polyacrylate forms a complete water-repellent film on the surface of cotton fabric, and its static contact angle reaches as high as 138.2°. As the content of the crosslinking agent is further increased, the static contact angle of the treated cotton fabric drops to 90.6°.When the amount of crosslinking agent is 1.68 g, the treated cotton fabric demonstrats good washability.

Key words: self-crosslinking, fluorinated polyacrylate, emulsion polymerization, water-repellent finishing, washing resistance, cotton fabric

中图分类号: 

  • TQ211

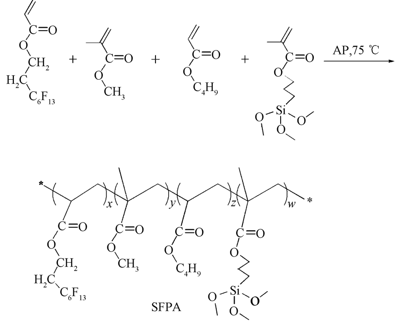
图1

自交联氟化聚丙烯酸酯的合成路线"

表1

自交联氟化聚丙烯酸酯的乳液聚合配方"

样品名称 FA BA MMA KH-570
SFPA-0 6.00 12.00 3.00 0
SFPA-4 6.00 12.00 3.00 0.84
SFPA-8 6.00 12.00 3.00 1.68
SFPA-12 6.00 12.00 3.00 2.52

表2

自交联氟化聚丙烯酸酯乳液的粒径及Zeta电位"

样品名称 乳液粒径/nm Zeta电位/mV
SFPA-0 86.0 -56.5
SFPA-4 98.0 -52.3
SFPA-8 101.5 -51.1
SFPA-12 191.8 -30.7

图2

不同交联剂含量的自交联氟化聚丙烯酸酯的红外图谱"

图3

自交联氟化聚丙烯酸酯的热重图谱"

图4

自交联氟化聚丙烯酸酯整理棉织物的红外图谱"

图5

自交联氟化聚丙烯酸酯整理前后棉织物的SEM照片(×3 000)"

图6

交联剂KH-570含量对整理棉织物静态接触角的影响"

图7

交联剂质量分数对整理棉织物耐洗性能的影响"

图8

自交联氟化聚丙烯酸酯整理棉织物的XPS图谱"

表3

自交联氟化聚丙烯酸酯整理棉织物表面F元素含量"

样品编号 洗涤情况 F元素含量/%
SFPA-0-棉 未洗涤 36.8
SFPA-8-棉 未洗涤 25.6
SFPA-0-棉 洗涤25次 13.1
SFPA-8-棉 洗涤25次 14.7
[1] 单良, 李战雄, 臧雄, 等. 核壳型含氟丙烯酸酯乳液的合成及其在棉织物整理中的应用[J]. 纺织学报, 2015,36(1):123-128.
SHAN Liang, LI Zhanxiong, ZANG Xiong, et al. Synjournal of fluoro-acrylate emulsion with core-shell structure and its application on cotton fabric finishing[J]. Journal of Textile Research, 2015,36(1):123-128.
[2] 蒲泽佳, 周向东. 聚丙烯酸酯改性硅溶胶的合成及其应用性能[J]. 纺织学报, 2017,38(5):86-92.
PU Zejia, ZHOU Xiangdong. Synjournal and application performance of polyacrylate modified silica sol[J]. Journal of Textile Research, 2017,38(5):86-92.
[3] 郑君红, 李可昕, 黄婵娟, 等. 含氟丙烯酸酯乳液的制备及对织物的整理与应用[J]. 高分子材料科学与工程, 2019,35(2):29-35.
ZHENG Junhong, LI Kexin, HUANG Chanjuan, et al. Preparation of fluorinated acrylate emulsion and its application to fabric[J]. Polymer Materials Science and Engineering, 2019,35(2):29-35.
[4] 隋智慧, 伞景龙, 王旭, 等. 纳米ZnO/有机氟硅改性聚丙烯酸酯乳液的合成及应用[J]. 纺织学报, 2020,41(4):84-90.
SUI Zhihui, SAN Jinglong, WANG Xu, et al. Synjournal and application of nano-ZnO/organic fluorosilicon modified polyacrylate emulsion[J]. Journal of Textile Research, 2020,41(4):84-90.
[5] 李凤艳, 胡月, 赵劲, 等. 交联改性提高水性含氟丙烯酸树脂力学性能[J]. 石油化工高等学校学报, 2020,33(2):1-5.
LI Fengyan, HU Yue, ZHAO Jin, et al. Crosslinking modification improves mechanical properties of hydrophobic fluorinated acrylic resin[J]. Journal of Petrochemical Universities, 2020,33(2):1-5.
[6] CHU S, LETCHER R J. Side-chain fluorinated polymer surfactants in aquatic sediment and biosolid-augmented agricultural soil from the Great Lakes basin of North America[J]. Science of the Total Environment, 2017,608:262-270.
[7] CHU S, LETCHER R J, MCGOLDRICK D J, et al. A new fluorinated surfactant contaminant in biota: perfluorobutane sulfonamide in several fish species[J]. Environmental Science & Technology, 2016,50:669-675.
doi: 10.1021/acs.est.5b05058
[8] 钱海洪, 王鸿博, 杜金梅, 等. 基于短链含氟丙烯酸酯细乳液的棉织物拒水拒油整理[J]. 纺织学报, 2019,40(3):83-89.
QIAN Haihong, WANG Hongbo, DU Jinmei, et al. Water and oil repellent finishing of cotton fabric based on fluoroacrylate miniemulsion[J]. Journal of Textile Research, 2019,40(3):83-89.
[9] CHU S, LETCHER R J. In vitro metabolic formation of perfluoroalkyl sulfonamides from copolymer surfactants of pre- and post-2002 scotchgard fabric protector products[J]. Environmental Science & Technology, 2014,48:6184-6191.
doi: 10.1021/es500169x pmid: 24784168
[10] 钱国华, 陈蕾, 张佳平, 等. 有机硅交联改性含氟共聚物及其棉织物拒水整理耐久性研究[J]. 印染助剂, 2019,36(1):15-19.
QIAN Guohua, CHEN Lei, ZHANG Jiaping, et al. Fluorinated copolymer modified with organicsilicone and its durability of water repellent finishing of cotton fab-rics[J]. Textile Auxiliaries, 2019,36(1):15-19.
[11] YANG W, ZHU L Q, CHEN Y C. One-step fabrication of 3-methacryloxypropyltrimethoxysilane modified silica and investigation of fluorinated polyacrylate/silica nanocomposite films[J]. RSC Advances, 2015,5(73):58973-58979.
[12] XU W, AN Q F, HAO L F, et al. Synjournal and characterization of self-crosslinking fluorinated polyacrylate soap-free latices with core-shell struc-ture[J]. Applied Surface Science, 2013,268:373-380.
[13] 隋智慧, 杨康乐, 陈杰, 等. 含氟聚丙烯酸酯乳液整理剂的性能及其应用[J]. 纺织学报, 2016,37(9):100-105.
SUI Zhihui, YANG Kangle, CHEN Jie, et al. Properties and application of fluorine-containing acrylate copolymer emulsion as finishing agent[J]. Journal of Textile Research, 2016,37(9):100-105.
[1] 卢雪 刘秀明 房宽峻 李瀚宇 李翔 高闯. 无氟拒水剂对锦纶/棉混纺织物的整理研究[J]. , 2021, 42(03): 0-0.
[2] 郝尚, 谢源, 翁佳丽, 张维, 姚继明. 溶解刻蚀辅助构建棉织物超疏水表面[J]. 纺织学报, 2021, 42(02): 168-173.
[3] 侯文双, 闵洁, 纪峰, 张建祥, 苏梦, 何瑞娴. 织物紧度和抗皱整理工艺对纯棉机织物折皱回复性的影响[J]. 纺织学报, 2021, 42(01): 118-124.
[4] 曾凡鑫, 秦宗益, 沈玥莹, 陈园余, 胡铄. 自熄性棉织物的喷涂辅助层层自组装法制备及其阻燃性能[J]. 纺织学报, 2021, 42(01): 103-111.
[5] 张艳艳, 詹璐瑶, 王培, 耿俊昭, 付飞亚, 刘向东. 用无机纳米粒子制备耐久性抗菌棉织物的研究进展[J]. 纺织学报, 2020, 41(11): 174-180.
[6] 王博, 凡力华, 原韵, 殷允杰, 王潮霞. 可拉伸聚吡咯/棉针织物的制备及其储电性能[J]. 纺织学报, 2020, 41(10): 101-106.
[7] 盛明非, 张丽平, 付少海. 基于染料掺杂型液晶微胶囊的电刺激响应智能纺织品的制备及其性能[J]. 纺织学报, 2020, 41(08): 63-68.
[8] 刘国金, 石峰, 陈新祥, 张国庆, 周岚. 聚氨酯/相变蜡蓄热调温功能整理剂的制备及其在棉织物上的应用[J]. 纺织学报, 2020, 41(07): 129-134.
[9] 成世杰, 王晨洋, 张宏伟, 左丹英. 硼氮掺杂碳点对棉织物防紫外线性能的影响[J]. 纺织学报, 2020, 41(06): 93-98.
[10] 周青青, 陈嘉毅, 祁珍明, 陈为健, 邵建中. 阻燃抗菌棉织物的制备及其性能表征[J]. 纺织学报, 2020, 41(05): 112-120.
[11] 刘国金, 韩朋帅, 柴丽琴, 吴钰, 李慧, 高雅芳, 周岚. 涤纶织物上自交联型P(St-NMA)光子晶体的构筑及其结构稳固性[J]. 纺织学报, 2020, 41(05): 99-104.
[12] 谭淋, 施亦东, 周文雅. 棉织物的硅溶胶疏水整理[J]. 纺织学报, 2020, 41(04): 106-111.
[13] 赵兵, 黄小萃, 祁宁, 钟洲, 车明国, 葛亮亮. 基于共价结合的纳米银抗菌棉织物研究进展[J]. 纺织学报, 2020, 41(03): 188-196.
[14] 高思梦, 王鸿博, 杜金梅, 王文聪. 甜菜碱聚合物的合成及其在棉织物抗菌整理中的应用[J]. 纺织学报, 2020, 41(02): 89-94.
[15] 易领, 张何, 傅昕, 李雯. 石墨烯基锆钛复合材料改性棉织物的制备及其远红外发射性能[J]. 纺织学报, 2020, 41(01): 102-109.
Viewed
Full text


Abstract

Cited

  Shared   
  Discussed   
No Suggested Reading articles found!