纺织学报 ›› 2023, Vol. 44 ›› Issue (10): 127-133.doi: 10.13475/j.fzxb.20220808201

• 服装工程 • 上一篇    下一篇

电加热鞋帮二维瞬态传热模型及其实验验证

刘广菊1, 苏云1,2(), 田苗1,2, 李俊1,2   

  1. 1.东华大学 服装与艺术设计学院, 上海 200051
    2.东华大学 现代服装设计与技术教育部重点实验室, 上海 200051
  • 收稿日期:2022-08-17 修回日期:2023-01-09 出版日期:2023-10-15 发布日期:2023-12-07
  • 通讯作者: 苏云(1990—),男,副教授,博士。主要研究方向为功能防护服及纺织材料热湿传递模型。E-mail:suyun150@dhu.edu.cn
  • 作者简介:刘广菊(1998—),女,硕士生。主要研究方向为服装舒适性与功能服装。
  • 基金资助:
    国家自然科学基金项目(52004066);教育部人文社会科学研究青年基金项目(20YJC760087);中央高校基本科研业务费专项基金项目(2232022G-08);上海市教育发展基金会和上海市教育委员会“晨光计划”项目(20CG78)

Two-dimensional transient heat transfer model for electrically heated shoe upper and experimental validation

LIU Guangju1, SU Yun1,2(), TIAN Miao1,2, LI Jun1,2   

  1. 1. College of Fashion and Design, Donghua University, Shanghai 200051, China
    2. Key Laboratory of Clothing Design and Technology, Ministry of Education, Donghua University, Shanghai 200051, China
  • Received:2022-08-17 Revised:2023-01-09 Published:2023-10-15 Online:2023-12-07

摘要:

为研究电加热元件的调温机制及其对足部热舒适的影响,基于有限体积法建立了电加热鞋帮二维传热模型,考虑了多孔介质织物传热以及加热区与非加热区的二维传热特性。通过冷暴露环境下电加热鞋帮织物的调温性能测试,验证了电加热鞋帮二维传热模型,并与一维模型进行了对比分析。结果表明:二维模型对于皮肤温度的预测偏差控制在2.59%~13.74%之间,随着鞋帮织物保暖性的改善,能够更准确地预测皮肤温度的变化;相比一维模型,二维模型能够更加科学地模拟电加热元件的调温规律,加热片温度在初始升温阶段的预测偏差减小了2.99%~25.09%。电加热鞋帮二维传热模型可更加准确地表征其调温机制,对丰富电加热元件二维传热理论、指导电加热元件的参数化设计具有重要意义。

关键词: 鞋帮, 二维热传递, 热舒适, 加热片, 有限体积法

Abstract:

Objective Local heating is an efficient way to improve thermal sensation and thermal comfort of foot. Currently, electrically heated products of footwear are available in the market. However, there are problems in terms of temperature control and parameters design such as heating temperature and power. Laboratory studies on personal electrically heated devices for foot are limited. The simulation of heated zones with distribution of heating elements in the numerical model is insufficient. The purpose of this study was to investigate the mechanism of temperature regulation by an electric heater and its influence on thermal comfort of foot.

Method Based on finite volume method, a two-dimensional model for electrically heated upper of foot-wear (EHUF) was developed. Characteristics of heat transfer in porous fabrics and two-dimensional heat transfer between heated and unheated zones were considered. The space-step of X and Y were defined as 5×10-4 m and 5×10-5 m respectively, and the time-step is 3 s. The maximum residual error was set at 0.001 ℃. The model was validated by testing the thermal regulative performance of the electrically heated footwear with cold exposure, and further compared with a one-dimensional model proposed.

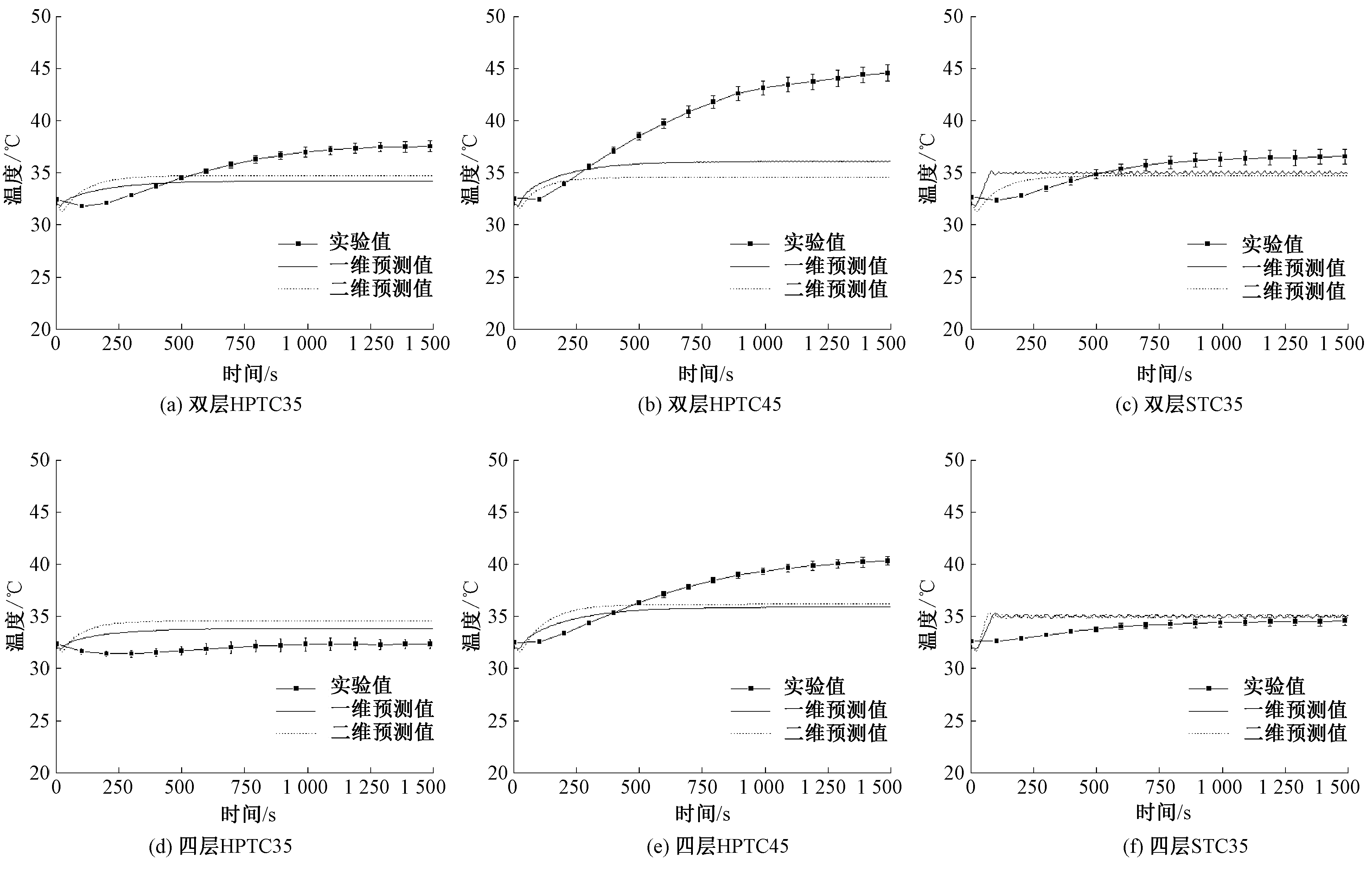
Results The stable skin temperatures of two-dimensional model ranged from 34.57 ℃ to 36.19 ℃ (Fig. 3), and the deviations of skin temperature between two-dimensional model and the experiment were controlled to be in the band of 2.59% and 13.74% (Tab. 3). Under the premise of the same main parameter, both the one-dimension and two-dimensional models effectively predicted the skin temperature. It was found that the better the cold protective performance of fabrics, the smaller the difference between the one-dimension and two-dimensional model predictions. Specifically, when cold protective performance of fabrics matched the set temperature of the heating pad, the two-dimensional model under the mode of heating pad temperature control (HPTC) was better than the one-dimensional model. This was mainly represented by the difference of average predicted deviation between the one-dimensional and two-dimensional, -2.55% under the condition of double-layer fabrics and HPTC mode at 45 ℃ (HPTC45), and 0.53% under the condition of double-layer fabrics and HPTC mode at 35 ℃ (HPTC35). The skin temperature prediction ability of the two-dimensional model was improved compared to the one-dimensional model. Under the mode of skin temperature control (STC), the maximum prediction deviation of skin temperature in the two-dimensional model decreased by 1.49% to 3.93%. Compared with one-dimensional model, the two-dimensional model simulated the temperature regulation of heating pad more reliably. In the initial heating phase, the predicted deviations of heating pad temperature between two-dimensional model and experiment reduced by 2.99%-25.09% (Tab. 4). It is also shown that the prediction accuracy of STC model improved the most. In the temperature fluctuation phase, the predicted deviation of double-layer fabric under HPTC35 and HPTC45 mode decreased by 3.36% and 5.95% respectively, and the other conditions increased. Nevertheless, most of the increases were 1.57%-2.45%, which was attributed to the change of heating simulation in the two-dimensional model.

Conclusion This research numerically shows the mechanisms of heat transfer and thermal regulation of electrically heating pad in footwear. It is concluded that the two-dimensional heat transfer model for the EHUF characterizes the mechanism of temperature regulation more accurately than the one-dimensional model. The developed model helps to enrich the two-dimensional heat transfer theory of electric heater and is of great significance to study the parameters of the EHUF and other cold weather clothing system. It can be used to efficiently evaluate the thermal regulation of electrically heating pad in footwear, and provide references for the optimal design of thermal regulation and energy efficiency of the electrically heated footwear. By further investigating the heat source of the electric heater, the two-dimensional model can more accurately predict the temperature regulation performance of active heating garments. This is likely to lead to a contribution in foot thermal comfort for staffs performing in a severely cold environment.

Key words: upper of footwear, two-dimensional heat transfer, thermal comfort, heating pad, finite volume method

中图分类号: 

  • TS941.73

图1

电加热鞋帮的物理模型示意图"

图2

加热片的几何特征示意图"

表1

鞋帮织物的基本性能"

织物层 材料 面密度/
(g·m-2)
厚度/
mm
密度/
(kg·m-3)
外层 天然皮革 654.8 1.712 6 382.342 6
92%涤纶+
8%聚氨酯
147.0 0.204 1 720.235 2
保暖层 聚氨酯 87.0 1.690 0 51.479 3
内层 涤纶 95.0 0.400 0 237.500 0
袜子 288.0 1.233 6 233.463 0

表2

材料与空气的基本性能"

成分 密度/
(kg·m-3)
导热系数/
(W·m-1·℃-1)
比热/
(J·kg-1·℃-1)
聚酯纤维 1 380 0.084 1 340
天然皮革[6] 998 0.180 2 010
聚氨酯纤维 1 250 0.250 1 120
棉纤维 1 540 0.071 1 210
空气 1.205 0.027 1 010
聚酰亚胺材料 1 380 0.100 1 090

图3

数值模型与实验测试的皮肤温度变化"

表3

一维、二维模型中皮肤温度的预测偏差"

模型 织物 HPTC35 HPTC45 STC35
平均 最大 平均 最大 平均 最大
一维 双层 5.31 8.98 11.19 19.16 3.56 8.95
四层 5.19 6.81 6.08 11.08 2.98 8.13
二维 双层 4.78 7.55 13.74 22.56 3.33 5.02
四层 7.46 9.69 5.89 10.33 2.59 6.64

图4

数值模型与实验测试的加热片温度"

表4

一维与二维模型中加热片温度的预测偏差"

模型 织物 HPTC35 HPTC45 STC35
RP FP RP FP RP FP
一维 双层 16.11 3.84 27.18 17.66 37.21 5.49
四层 20.21 7.11 27.72 11.85 27.32 1.41
二维 双层 11.28 5.56 24.19 23.55 12.12 7.06
四层 15.35 3.75 22.24 5.90 19.36 3.86
[1] KUKLANE K. Protection of feet in cold exposure[J]. Industrial Health, 2009, 47(3): 242-253.
pmid: 19531910
[2] CHEN Z, LI J, SONG W, et al. Smart wireless charging heating insoles: improving body thermal comfort of young males in an extremely cold environment[J]. Clothing and Textiles Research Journal, 2020(3): 1-15.
[3] DENG Y, CAO B, LIU B, et al. Effects of local heating on thermal comfort of standing people in extremely cold environments[J]. Building and Environment, 2020. DOI: 10.1016/j.buildenv.2020.107256.
[4] KUKLANE K, AFANASIEVA R, BURMISTROVA O, et al. Determination of heat loss from the feet and insulation of the footwear[J]. International Journal of Occupational Safety and Ergonomics, 1999, 5(4): 465-476.
pmid: 10657921
[5] PUSZKARZ A K, USUPOV A. The study of footwear thermal insulation using thermography and the finite volume method[J]. International Journal of Thermophysics, 2019, 40(4): 45.
doi: 10.1007/s10765-019-2509-1
[6] COVILL D, GUAN Z W, BAILEY M, et al. Development of thermal models of footwear using finite element analysis[J]. Proceedings of the Institution of Mechanical Engineers Part H Journal of Engineering in Medicine, 2011, 225(3): 268-281.
[7] SHIMAZAKI Y, AISAKA K. Novel thermal analysis model of the foot-shoe sole interface during gait motion[J]. Proceedings, 2018.DOI: 10.3390/proceedings2060278.
[8] NEMATI H, MOGHIMI M A, NAEMI R. A mathematical model to investigate heat transfer in footwear during jogging[J]. Journal of Thermal Biology, 2021.DOI: 10.1016/j.jtherbio.2020.102778.
[9] LIU G, SU Y, ZHU W, et al. Numerical simulation of heat transfer in electrically heated footwear in a severely cold environment[J]. Building and Environment, 2022.DOI: 10.1016/j.buildenv.2021.108429.
[10] LI X, KUAI B, TU X, et al. Three-dimensional analysis model of electric heating fabrics considering the skin metabolism[J]. Journal of Engineered Fibers and Fabrics, 2021, 16: 1-12.
[11] LEHMUSKALLIO E, HASSI J, KETTUNEN P. The skin in the cold[J]. International Journal of Circumpolar Health, 2002, 61(3): 277-286.
pmid: 12369118
[12] JOR A, HASHAR M R, AREFIN M S. Study of thermal distribution and comfort in shoe through cfd tech-nique[J]. Global Journal of Science Frontier Research: A Physics and Space Science, 2018, 18(7): 37-43.
[13] FU M, WENG W, YUAN H. Numerical simulation of the effects of blood perfusion, water diffusion, and vaporization on the skin temperature and burn injuries[J]. Numerical Heat Transfer, Part A: Applica-tions, 2014, 65(12): 1187-1203.
[14] GHAZY A, BERGSTROM D J. Numerical simulation of heat transfer in firefighters' protective clothing with multiple air gaps during flash fire exposure[J]. Numerical Heat Transfer, 2012, 61(8): 569-593.
[15] 任萍, 杨阳, 刘静. 人体足部传热数值模拟及加热实验[J]. 纺织学报, 2009, 30(3): 99-105.
REN Ping, YANG Yang, LIU Jing. Numerical simulation of heat transfer of human foot and heating experiments[J]. Journal of Textile Research, 2009, 30(3): 99-105.
[16] 陶文铨. 数值传热学[M]. 西安: 西安交通大学出版社, 1988: 23-30.
TAO Wenquan. Numerical heat transfer[M]. Xi'an: Xi'an Jiaotong University Press, 1988: 23-30.
[17] AMES W F. Numerical methods for partial differential equations[M]. New York: Academic Press, 1977: 116-117, 144-151.
[18] 王革辉. 服装材料学[M]. 北京: 中国纺织出版社, 2010: 7-14.
WANG Gehui. Fabric for fashion design[M]. Beijing: China Textile & Apparel Press, 2010: 7-14.
[19] WEI Y, SU Y, LI J, et al. A test device to characterize cold-contact protective performance of fabrics[J]. Journal of Industrial Textiles, 2021.DOI: 10.1177/15280837211011777.
[1] 聂思萱, 尹虎, 聂亚东. 半导体制冷服设计方法研究进展[J]. 纺织学报, 2023, 44(10): 223-231.
[2] 王中昱, 苏云, 王云仪. 机器学习建立的个体热舒适模型及其在服装领域的应用展望[J]. 纺织学报, 2023, 44(05): 228-236.
[3] 张昭华, 陈雪, 倪军, 杨玉桐, 邹一凡. 冷环境下局部电加热对人体热反应的影响[J]. 纺织学报, 2023, 44(03): 187-194.
[4] 郑晴, 严芳英, 柯莹, 王鸿博. 基于睡袋温标模型的被子舒适温度测定与可行性验证[J]. 纺织学报, 2023, 44(02): 151-158.
[5] 程宁波, 缪东洋, 王先锋, 王朝晖, 丁彬, 俞建勇. 用于个人热湿舒适管理的功能纺织品研究进展[J]. 纺织学报, 2022, 43(10): 200-208.
[6] 江舒, 李俊. 婴儿被服热舒适性研究进展[J]. 纺织学报, 2022, 43(08): 189-196.
[7] 吴国珊, 刘何清, 吴世先, 游波, 宋小鹏. 不同环境下个体通风服的制冷量[J]. 纺织学报, 2021, 42(10): 139-145.
[8] 潘梦娇, 卢业虎, 王敏. 基于四节点体温调节模型的睡眠系统舒适性预测[J]. 纺织学报, 2021, 42(09): 150-155.
[9] 柳洋, 夏兆鹏, 王亮, 范杰, 曾强, 刘雍. 医用防护服的发展现状及趋势[J]. 纺织学报, 2021, 42(09): 195-202.
[10] 柯莹, 张海棠, 朱晓涵, 王宏付, 王敏. 电加热高空清洁作业服研制与性能评价[J]. 纺织学报, 2021, 42(08): 149-155.
[11] 刘玉萍, 卢业虎, 王来力. 被服系统热舒适性研究进展[J]. 纺织学报, 2020, 41(01): 190-196.
[12] 赵蒙蒙, 柯莹, 王发明, 李俊. 通风服热舒适性研究现状与展望[J]. 纺织学报, 2019, 40(03): 183-188.
[13] 张文欢 钱晓明 师云龙 范金土 牛丽. 服装局部热阻与总热阻的动静态关系及其模型[J]. 纺织学报, 2018, 39(07): 111-115.
[14] 陈扬 杨允出 张艺强 范艳娟 金艳苹. 电加热服装中加热片与织物组合体的稳态热传递模拟[J]. 纺织学报, 2018, 39(05): 49-55.
[15] 赵蒙蒙 宋晓霞. 通风服装对人体热舒适的影响[J]. 纺织学报, 2017, 38(10): 94-97.
Viewed
Full text


Abstract

Cited

  Shared   
  Discussed   
No Suggested Reading articles found!