Journal of Textile Research ›› 2022, Vol. 43 ›› Issue (06): 79-85.doi: 10.13475/j.fzxb.20210601807

• Textile Engineering • Previous Articles     Next Articles

Size prediction of knitted sports pressure socks based on ABAQUS

LIU Xueyan1,2, JIANG Gaoming1,2()   

  1. 1. College of Textile and Engineering, Jiangnan University, Wuxi, Jiangsu 214122, China
    2. Engineering Research Center for Knitting Technology, Ministry of Education, Jiangnan University, Wuxi, Jiangsu 214122, China
  • Received:2021-06-07 Revised:2022-01-11 Online:2022-06-15 Published:2022-07-15
  • Contact: JIANG Gaoming E-mail:jgm@jiangnan.edu.cn

Abstract:

In order to improve the functionality of sports pressure socks to achieve accurate pressure, a 3-D human body scanner was used to scan the shape of human legs, and the cross-section curves of the ankle, the transition between Achilles tendon and calf muscle, the maximum circumference of the leg and the tibial protuberance were measured. In parallel, finite element software ABAQUS was used to establish the four-section models respectively. According to the standard pressure value, the compression state of the leg section with sports pressure sock was simulated, and the relationship between the pressure and the displacement of each section of the leg was analyzed. Using the size prediction model of the knitted sport pressure socks, the sock test sample was designed, and the pressure test results were measured and compared with the standard pressure. The results show that when wearing sports pressure socks, the compression state of each section of the left and right leg varies greatly, and the pressure on each cross section is related to the displacement. The relationship between the size of the sport pressure socks and its pressure and the circumference of the leg section is linear. The error between the pressure test value and the standard value of the experimental sample is less than 5%, which proves the validity of the prediction model.

Key words: pressure test, 3-D human body scanning, sports pressure sock, finite element simulation, knitting size

CLC Number: 

  • TS186

Fig.1

Pressure test points for pressure socks"

Fig.2

3-D scanning post"

Fig.3

Section curve of thickest part of lower leg"

Tab.1

Circumferential length of section curvemm"

试样编号 周长 试样编号 周长
L1B 195.63 R1B 198.36
L2B 198.39 R2B 199.73
L3B 193.98 R3B 194.45
L4B 207.69 R4B 207.68
L5B 209.35 R5B 211.12
L1B' 314.61 R1B' 303.89
L2B' 314.57 R2B' 312.46
L3B' 309.82 R3B' 304.13
L4B' 330.55 R4B' 328.92
L5B' 325.55 R5B' 335.29
L1C 319.87 R1C 349.73
L2C 318.61 R2C 349.71
L3C 316.65 R3C 325.78
L4C 325.86 R4C 328.03
L5C 325.78 R5C 302.30
L1D 317.03 R1D 312.53
L2D 316.00 R2D 315.85
L3D 314.15 R3D 315.66
L4D 348.34 R4D 345.61
L5D 344.62 R5D 353.07

Fig.4

Leg section modeling process.(a) Leg section curve;(b) Leg section solid;(c) Solid mesh generation of leg section surface"

Fig.5

Nephogram of displacement distribution"

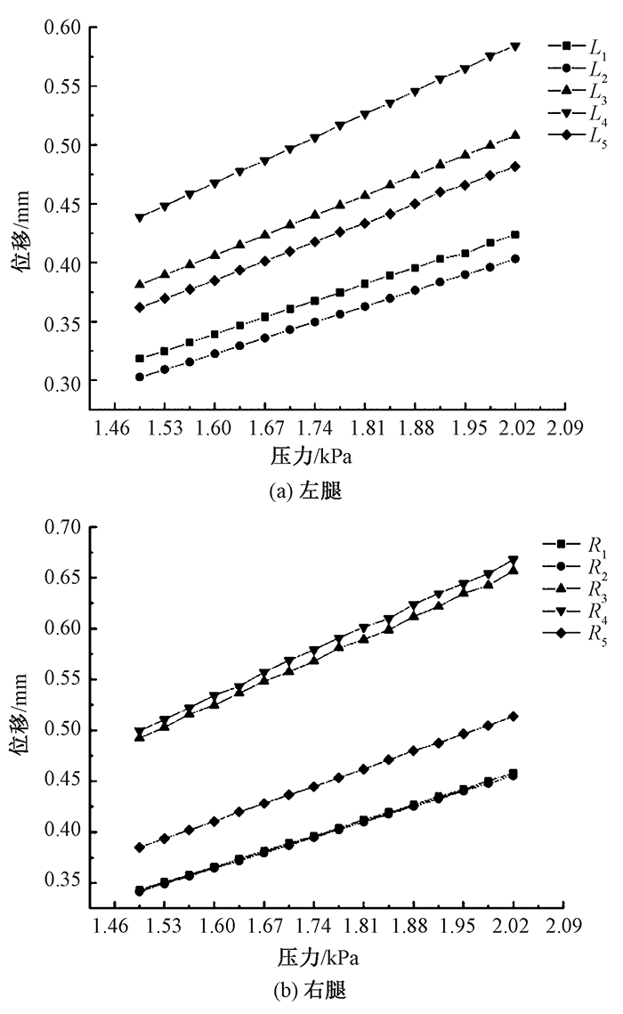
Fig.6

Displacement variation of leg section curve under various loads. (a) Left leg; (b) Right leg"

Fig.7

Pressure displacement curve fitting of leg section. (a) Left leg; (b) Right leg"

Fig.8

Schematic diagram of changes of leg section curve before and after compression"

Tab.2

Sample parameters"

试样
编号
添纱衬垫
组织
橡筋线送纱
速度/(r·min-1)
毛坯直
径/mm
成品直
径/mm
L1B W1∶2 417 68 62
L1B' W1∶1 500 82 80
L1C S1∶1 850 104 103
L1D S1∶1 870 103 101
L2B W1∶2 408 63 61
L2B' W1∶2 496 88 85
L2C W1∶2 851 105 102
L2D S1∶1 864 100 99
L3B W2∶2 376 66 64
L3B' S1∶1 452 87 84
L3C S1∶1 806 100 97
L3D S2∶2 730 105 93
L4B W1∶2 390 62 60
L4B' W1∶2 448 88 85
L4C W1∶2 861 106 102
L4D S1∶2 885 102 101
L5B S1∶3 345 65 63
L5B' W1∶2 416 89 86
L5C S1∶1 758 97 94
L5D S1∶1 768 94 92
R1B W1∶2 436 78 64
R1B' S1∶3 521 82 80
R1C S1∶1 960 100 108
R1D S1∶1 920 99 104
R2B W1∶2 417 67 63
R2B' W1∶1 489 83 81
R2C W1∶2 860 104 103
R2D S1∶1 880 102 100
R3B W2∶2 404 69 66
R3B' W1∶3 513 90 87
R3C S1∶1 822 100 98
R3D S2∶2 830 98 95
R4B W1∶2 418 65 62
R4B' S1∶2 529 88 85
R4C W1∶2 852 105 101
R4D S1∶2 865 102 99
R5B S1∶3 387 67 66
R5B' W1∶2 476 90 89
R5C S1∶1 774 98 95
R5D S1∶1 800 97 95

Tab.3

Comparison between standard and experimental values of each test point"

试样编号 标准值/kPa 测试值/kPa 误差/%
L1B 2.00~2.66 2.74 3.05
L1B' 1.80~2.40 2.41 0.50
L1C 1.50~2.00 1.64 0.00
L1D 1.00~1.33 1.21 0.00
L2B 2.00~2.66 2.70 1.50
L2B' 1.80~2.40 2.50 4.61
L2C 1.50~2.00 2.06 3.13
L2D 1.00~1.33 1.34 0.50
L3B 2.00~2.66 2.67 0.40
L3B' 1.80~2.40 2.37 0.00
L3C 1.50~2.00 0.23 5.00
L3D 1.00~1.33 1.37 2.70
L4B 2.00~2.66 2.62 0.00
L4B' 1.80~2.40 2.32 0.00
L4C 1.50~2.00 2.01 0.67
L4D 1.00~1.33 1.25 0.00
L5B 2.00~2.66 2.54 0.00
L5B' 1.80~2.40 2.26 0.00
L5C 1.50~2.00 2.09 5.00
L5D 1.00~1.33 1.32 0.00
R1B 2.00~2.66 2.74 2.95
R1B' 1.80~2.40 2.38 0.00
R1C 1.50~2.00 1.95 0.00
R1D 1.00~1.33 1.21 0.00
R2B 2.00~2.66 2.65 0.00
R2B' 1.80~2.40 2.40 0.16
R2C 1.50~2.00 1.91 0.00
R2D 1.00~1.33 1.36 2.40
R3B 2.00~2.66 2.69 1.10
R3B' 1.80~2.40 2.49 4.06
R3C 1.50~2.00 2.08 4.33
R3D 1.00~1.33 1.15 0.00
R4B 2.00~2.66 2.70 1.55
R4B' 1.80~2.40 2.41 0.50
R4C 1.50~2.00 2.01 0.93
R4D 1.00~1.33 1.27 0.00
R5B 2.00~2.66 2.64 0.00
R5B' 1.80~2.40 2.33 0.00
R5C 1.50~2.00 1.79 0.00
R5D 1.00~1.33 1.25 0.00
[1] 郑玉凤, 蒋晓文, 王雪婷. 梯度压力袜在不同领域应用的研究[J]. 天津纺织科技, 2021(1):27-31.
ZHENG Yufeng, JIANG Xiaowen, WANG Xueting. Application research of gradient compression socks in different fields[J]. Tianjin Textile Science & Technology, 2021(1):27-31.
[2] 孙毅仁, 张爱萍, 杨皓. 新型压力袜关键技术研究[J]. 针织工业, 2017(7): 1-6.
SUN Yiren, ZHANG Aiping, YANG Hao. Study of the key technology of new compressive sockings[J]. Knitting Industries, 2017(7): 1-6.
[3] 随健美, 谢红. 压缩衣研究的发展现状与趋势:基于CiteSpace的可视化分析[J]. 纺织导报, 2020(2): 69-72.
SUI Jianmei, XIE Hong. The development status and trend of compression garement research: visualization analysis based on citespace[J]. China Textile Leader, 2020, 48(2): 69-72.
[4] 栗宏霖, 齐建辉, 魏孟田, 等. 下肢压力衣促进运动恢复的试验研究[J]. 石家庄学院学报, 2018, 20(3):116-121,155.
LI Honglin, QI Jianhui, WEI Mengtian, et al. Experimental study on improving sports recovery by lower limbs pressure suit[J]. Journal of Shijiazhuang University, 2018, 20(3):116-121,155.
[5] SHI Shien Goh, PAUL B Laursen, BEN Dascombe, et al. Effect of lower body compression garments on submaximal and maximal running performance in cold (10 ℃) and Hot (32 ℃) environments[J]. Eur J Appl Physiol, 2011(111):819-82.
[6] ROB Duffield, JACK Cannon, MONIQUE King. The effects of compression garments on recovery of muscle performance following high-intensity sprint and plyometric exercise[J]. Journal of Science and Medicine in Sport, 2010(13):136-140.
[7] 香港理工大学纺织及制衣系. 服装舒适性与产品研发[M]. 北京:中国纺织出版社,2002:2.
Department of Textiles and Clothing of Hong Kong Polytechnic University. Clothing comfort and product development[M]. Beijing: China Textile & Apparel Press, 2002:2.
[8] 杨子田, 张丹霞, 陈艺娟. 基于心率及主观疲劳的女子紧身跑步库分区压力研究[J]. 国际纺织导报, 2019, 47(10):32-36,38,58.
YANG Zitian, ZHANG Danxia, CHEN Yijuan. Study on the regional pressure of women's tight running pants based on heart rate and subjective fatigue[J]. Melliand China, 2019, 47(10):32-36,38,58.
[9] 范雪荣, 陈东生, 王强. 男短袜袜口压力的有限元研究[J]. 纺织学报, 2011, 32(1):105-110.
FAN Xuerong, CHEN Dongsheng, WANG Qiang. Study on pressure at top part of man's socks using finite element method[J]. Journal of Textile Research, 2011, 32(1):105-110.
[10] 侯昀彤, 徐蓼芫, 王芳芳. 长筒袜压力分布预测非线性粘弹性有限元模型的建立[J]. 服装学报, 2016, 1(1):46-52.
HOU Yuntong, XU Liaoyuan, WANG Fangfang. Pressure distribution analysis of stockings by a nonlinear viscoelastic finite element model[J]. Journal of Clothing Research, 2016, 1(1):46-52.
[11] 随健美, 谢红. 运动压力袜横拉与压力的相关性[J]. 上海纺织科技, 2020, 48(10): 31-33,48.
SUI Jianmei, XIE Hong. Correlation between horizontal tension and pressure of sports compression stocking[J]. Shanghai Textile Science & Technology, 2020, 48(10): 31-33,48.
[12] 陈希雅, 赵颖, 蔡晓裕, 等. 基于局部特征的青年女性腿部形态分类[J]. 纺织学报, 2020, 41(11):136-142.
CHEN Xiya, ZHAO Ying, CAI Xiaoyu, et al. Leg classification for young women based on leg shape characteristics[J]. Journal of Textile Research, 2020, 41(11):136-142.
[13] 史佳玲. 女运动袜袜口压力舒适性预测研究[D]. 杭州: 浙江理工大学, 2017:15.
SHI Jialing. Study on pressure comfort prediction of the top part of women's sports socks[D]. Hangzhou: Zhejiang Sci-Tech University, 2017:15.
[14] HENDRIKS F M, BROKKEN D, EEMEREN J T W M V, et al. A numerical-experimental method to characterize the non-liner mechanical behavior of human skin[J]. Skin Research & Technology, 2003, 9(3):274-283.
[15] 李巧莲. 影响弹性针织面料服装压的因素研究[D]. 上海: 东华大学, 2007:56-60.
LI Qiaolian. Study on factors influencing elastic knitted garment pressure[D]. Shanghai: Donghua University, 2007:56-60.
[16] 刘雪艳, 蒋高明. 运动压力袜编织参数与压力关系的研究[J]. 丝绸, 2021, 58(7):69-76.
LIU Xueyan, JIANG Gaoming. Research on the relationship between knitting parameters and pressure of sports pressure socks[J]. Journal of Silk, 2021, 58(7):69-76.
[1] NIU Xuejuan, XU Yanhui. Study on spreading behavior of carbon fiber bundles under different fractal flow path conditions [J]. Journal of Textile Research, 2022, 43(06): 165-170.
[2] HUANG Yaoli, LU Cheng, JIANG Jinhua, CHEN Nanliang, SHAO Huiqi. Thermal mechanical properties of polyimide fiber-reinforced polydimethylsiloxane flexible film [J]. Journal of Textile Research, 2022, 43(06): 22-28.
[3] XIAO Qi, WANG Rui, ZHANG Shujie, SUN Hongyu, WANG Jingru. Finite element simulation of pilling of polyester/cotton woven fabrics using ABAQUS [J]. Journal of Textile Research, 2022, 43(06): 70-78.
[4] SUN Yabo, LI Lijun, MA Chongqi, WU Zhaonan, QIN Yu. Simulation on tensile properties of tubular weft knitted fabrics based on ABAQUS [J]. Journal of Textile Research, 2021, 42(02): 107-112.
[5] DAI Ning, PENG Laihu, HU Xudong, CUI Ying, ZHONG Yaosen, WANG Yuefeng. Method for testing natural frequency of weft knitting needles in free state [J]. Journal of Textile Research, 2020, 41(11): 150-155.
[6] CHEN Huixian, LU Hong, LI Shuyang, ZUO Heng. Influence of sports bra structural elements on wearing comfort [J]. Journal of Textile Research, 2019, 40(09): 159-166.
[7] . Finite element model for evaluating pressure distribution of men's basic pattern on upper body [J]. Journal of Textile Research, 2018, 39(11): 116-121.
[8] . Tensile mechanical properties simulation of viscose woven fabrics based on ABAQUS [J]. Journal of Textile Research, 2018, 39(09): 39-43.
[9] . Simulation of steady heat transfer on fabrics system embedded with heating unit in electrically heated clothing [J]. JOURNAL OF TEXTILE RESEARCH, 2018, 39(05): 49-55.
[10] . Finite element simulation on tensile mechanical properties of three-elementary weave fabric [J]. JOURNAL OF TEXTILE RESEARCH, 2017, 38(11): 41-47.
[11] . Numerical simulation of tensile properties of polytetrafluoroethylene/Kevlar broken twill fabric liner [J]. JOURNAL OF TEXTILE RESEARCH, 2016, 37(07): 71-76.
[12] LIU Hong;CHEN Dongsheng;WEI Qufu. [J]. JOURNAL OF TEXTILE RESEARCH, 2010, 31(3): 138-142.
Viewed
Full text


Abstract

Cited

  Shared   
  Discussed   
No Suggested Reading articles found!