Journal of Textile Research ›› 2022, Vol. 43 ›› Issue (07): 81-89.doi: 10.13475/j.fzxb.20210810509

• Textile Engineering • Previous Articles     Next Articles

Structural and laminar damage mechanisms in layer-to-layer orthogonal angle-interlock woven fabrics and composites

JIA Xuefei1, ZHUANG Yi2, TANG Yujing1(), LI Shanshan3, SHI Wen4, ZHANG Lei3, LIU Ming5, ZHOU Jiangming5   

  1. 1. SINOPEC (Beijing) Research Institute of Chemical Industry, Co., Ltd., Beijing 100013, China
    2. China Petroleum & Chemical Corporation, Beijing 100728, China
    3. State Key Laboratory of Biological Fiber Manufacturing Technology, China Textile Academy Co., Ltd., Beijing 100025, China
    4. Carle Zeiss (Shanghai) Co., Ltd., Shanghai 200131, China
    5. SINOPEC Baling Petrochemical Co., Ltd., Yueyang, Hunan 414014, China
  • Received:2021-08-30 Revised:2022-03-24 Online:2022-07-15 Published:2022-07-29
  • Contact: TANG Yujing E-mail:tangyj.bjhy@sinopec.com

Abstract:

In order to analyze the internal structure and the load bearing of layer-to-layer orthogonal angle-interlock woven fabrics and composites, X-ray computed tomography (Micro CT) volume pixels was used to extract non-destructively the internal structure. The micro-structure of layer-to-layer orthogonal angle-interlock the woven fabric was observed by three-dimensional reconstruction, and the twisting and extrusion of monofilaments inside the fabric was observed. The distribution of pores and high-density impurities in the composite were reconstructed and the quantitative estimations were carried out. The results show that the composite demonstrated good integrity after the laminar damage test, there are phenomena shch as pore deformation, delarmination, fiber bending and lamella fractures inside. It was confirmed that the unique structure of the layer-to-layer orthogonal angle-interlock woven fabric effectively improved the interlaminar mechanical properties of the composites, highlighting the importance of non-destructive X-ray computed tomography in analyzing the imaging data of fiber reinforced composites.

Key words: layer-to-layer orthogonal angle-interlock, composites, woven structure, defects, micro computed tomography, interlaminar shear

CLC Number: 

  • TB332

Fig.1

Schematic diagram of stucture of woven fabric"

Tab.1

Parameter settings"

试样名称 物镜倍数 体素/μm 视场范围/mm 投影张数
机织物 4 5.0 Φ5.0×5.0 2 001
4 2.0 Φ2.0×2.0 2 501
4 0.7 Φ0.7×0.7 3 201
机织复合材料 0.4 30.0 Φ30.0×30.0 1 001
4 4.0 Φ4.0×4.0 2 001
20 0.5 Φ0.5×0.5 3 501

Fig.2

3-D image and 2-D section view of woven fabric at 5.0 μm. (a) Side view; (b) 2-D rendering of specimens at z direction; (c) Top view of three-dimensional rendering; (d)2-D rendering of specimens at y direction"

Fig.3

Internal morphology of woven fabric at 0.7 μm volume pixels. (a) Fiber bundle; (b) Interface of fiber bundles"

Fig.4

3-D segmentation renderings (a), 2-D virtual slices (b) and defect distribution maps (c) of woven fabric composite at different volume pixels"

Fig.5

Defect distribution of woven fabric composite at 4.0 μm volume pixels. (a) Reconstructed 3-D morphologies of high density particles; (b) Distribution of high density particles in fabric; (c) Distribution of high density particles in matrix; (d) 3-D image of porosity defect; (e) Distribution of porosity defect in fabric; (f) Distribution of porosity defect in matrix"

Fig.6

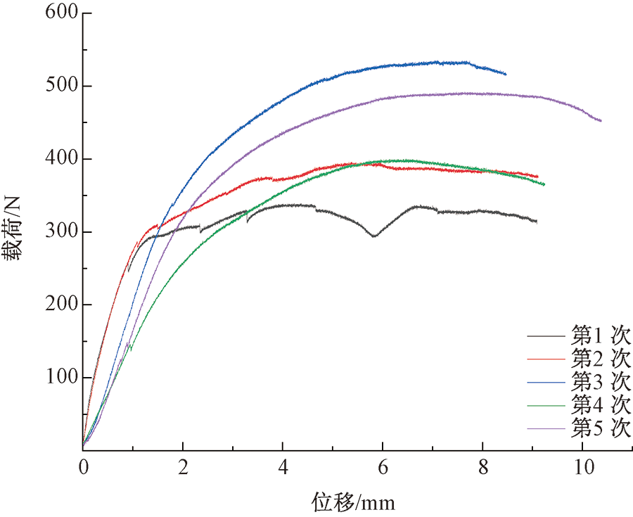
Load-displacement curves of woven fabric composite in fracture tests at x direction"

Fig.7

Woven fabric composite after fracture test"

Fig.8

2-D rendering of specimens of woven fabric composite after fracture test. (a) x direction; (b) y direction; (c) z direction"

Fig.9

Damage mechanism of woven fabric composite. (a) Matrix stability under loading; (b) Extrusion-bending; (c) Matrix cracking; (d) Fracture and crack growth"

[1] DOMINIQUE C, BRUNO J G D, FRANCOIS M P M, et al. Method of manufacturing a gas turbine casing out of composite material, and a casing as obtained thereby: US 8322971[P]. 2012-12-04.
[2] WHITENEY T J, CHOU T W. Modeling of 3-D angle-interlock textile structural composites[J]. Journal of Composite Materials, 1989, 23(9): 890-911.
doi: 10.1177/002199838902300902
[3] BYUN J H, CHOU T W. Elastic properties of three-dimensional angle-interlock fabric preforms[J]. The Journal of the Textile Institute, 1990, 81(4): 538-548.
doi: 10.1080/00405009008658727
[4] COX B N, DADKHAH M S. The macroscopic elasticity of 3D woven composites[J]. Journal of Composite Materials, 1995, 29(6): 785-819.
doi: 10.1177/002199839502900606
[5] PORATG I, GREENWOOD K, LI Z. CAD/CAM of three-dimensional woven structures (preforms) for fiber-reinforced composites[J]. Composites Part A: Applied Science and Manufacturing, 1996, 27(2): 111-117.
doi: 10.1016/1359-835X(95)00002-J
[6] 李姗姗, 陈利, 焦亚男, 等. 2.5维机织物接结经纱缩率的影响因素[J]. 纺织学报, 2010, 31(5): 55-58.
LI Shanshan, CHEN Li, JIAO Yanan, et al. Experimental research on influential factors of binder warp shrinkage of 2.5-D woven fabric[J]. Journal of Texile Research, 2010, 31(5): 55-58.
[7] PARDINI L C, GREGORI M L. Modeling elastic and thermal properties of 2.5D carbon fiber and carbon/SiC hybrid matrix composites by homogenization method[J]. Journal of Aerospace Technology and Management, 2010, 2(2): 183-194.
doi: 10.5028/jatm.2010.02026510
[8] 傅华东, 秦岩, 王辉, 等. 2.5D石英纤维增强硼酚醛树脂可陶瓷化复合材料的制备与烧蚀性能[J]. 复合材料学报, 2020, 37(4): 767-774.
FU Huadong, QIN Yan, WANG Hui, et al. Preparation and ablation performance of 2.5D quartz fiber reinforced boron phenolic resin ceramizable composites[J]. Acta Materiae Compositae Sinica, 2020, 37(4): 767-774.
[9] 胡银生, 余欢, 徐志锋, 等. 2.5D-Cf/Al复合材料的经向高温力学性能及其变形断裂行为[J]. 中国有色金属学报, 2020, 30(3): 507-517.
HU Yinsheng, YU Huan, XU Zhifeng, et al. High temperature mechanical properties and deformation fracture behavior in warp direction of 2.5D-Cf/Al composites[J]. The Chinese Journal of Nonferrous Metals, 2020, 30(3): 507-517.
[10] SCHELL J S U, RENGGLI M, VAN L G H, et al. Micro-computed tomography determination of glass fibre reinforced polymer meso-structure[J]. Composites Science and Technology, 2006, 66(13): 2016-2022.
doi: 10.1016/j.compscitech.2006.01.003
[11] 曹海建, 钱坤, 盛东晓. 2.5D 机织复合材料结构与力学性能关系的研究[J]. 玻璃钢/复合材料, 2009(3): 13-15.
CAO Haijian, QIAN Kun, SHENG Dongxiao. Study on the ralationship between structrure and mechanical properties of 2.5D woven composites[J]. Fiber Reiforced Plastics /Composites, 2009(3): 13-15.
[12] ZHAO S, JAKOB W, MARSCHNER S, et al. Building volumetric appearance models of fabric using micro CT imaging[J]. Communications of the ACM, 2014, 57(11): 98-105.
[13] 须颖, 邹晶, 姚淑艳. X射线三维显微镜及其典型应用[J]. CT理论与应用研究, 2014, 23(6): 967-977.
XU Ying, ZOU Jing, YAO Shuyan. 3D X-ray microscope and its typical applications[J]. Computerized Tomography Theory and Applications, 2014, 23(6): 967-977.
[14] 杨彩云, 李嘉禄. 复合材料用3D角联锁结构预制件的结构设计及新型织造技术[J]. 东华大学学报(自然科学版), 2005, 31(5): 53-58.
YANG Caiyun, LI Jialu. The structural design and new weaving technique of 3D angle-interlock preforms for composites[J]. Journal of Donghua Univer-sity (Natural Science), 2005, 31(5): 53-58.
[15] ZHANG DT, CHEN L, WANG YJ, et al. Stress field distribution of warp-reinforced 2.5D woven composites using an idealized meso-scale voxel-based model[J]. Journal of Materials Science, 2017, 52(11): 6814-6836.
doi: 10.1007/s10853-017-0921-0
[16] 李小丽, 陈新波, 单柏荣, 等. 飞机复合材料分层缺陷的CT与X射线检测对比试验研究[J]. 无损探伤, 2020, 44(5): 41-43.
LI Xiaoli, CHEN Xinbo, SHAN Borong, et al. Comparative experimental study on CT and X-ray detection of delamination defective in aircraft composite materials[J]. Nondestructive Testing Technology, 2020, 44(5): 41-43.
[17] HEARLE J W S. The structural mechanics of fibers[J]. Journal of Polymer Science Part C: Polymer Symposia, 2007, 20(1): 215-251.
doi: 10.1002/polc.5070200118
[18] XIAO Zhitao, NIE Xinxin, ZHANG Fang, et al. Recognition for woven fabric pattern based on gradient histogram[J]. Journal of The Textile Institute, 2014, 105(7):744-752.
doi: 10.1080/00405000.2013.847542
[19] 李鸣超. 2.5D机织物的织造工艺设计与下机分析[D]. 上海: 东华大学, 2016:10-12.
LI Mingchao. Weaving process design and analysis leave the machine of 2.5D woven fabric[D]. Shanghai: Donghua University, 2016:10-12.
[20] 李姗姗, 杨桂.层间交织板材织物及其织造方法:201410490331.8[P]. 2014-09-23.
LI Shanshan, YANG Jia. Interlayer interleaving plate fabric and weaving method thereof:201410490331.8[P]. 2014-09-23.
[21] 张超, 许希武. 二维二轴织造复合材料几何模型及弹性性能预测[J]. 复合材料学报, 2010, 27(5): 129-135.
ZHANG Chao, XU Xiwu. Geometrical model and elastic properties prediction of 2D biaxial braided composites[J]. Acta Materiae Compositae Sinica, 2010, 27(5): 129-135.
[22] 孙颖, 李嘉禄, 亢一澜, 等. 三维四向编织复合材料刚度的细观力学设计[J]. 纺织学报, 2007, 28(5): 70-73.
SUN Ying, LI Jialu, KANG Yilan, et al. Stiffness optimization of 3D braided composites with micromechanical method[J]. Journal of Textile Research, 2007, 28(5): 70-73.
[23] WANG Y G, WANG H J, WEI J H, et al. Finite element analysis of grinding process of long fiber reinforced ceramic matrix woven composites: modeling, experimental verification and material removal mechanism[J]. Ceramics International, 2019, 45(13): 15920-15927.
doi: 10.1016/j.ceramint.2019.05.100
[24] 路怀玉. 2.5维织造复合材料的强度研究[D]. 哈尔滨: 哈尔滨工业大学, 2014: 40-52.
LU Huaiyu. Strength research of 2.5D braided composites[D]. Harbin: Harbin Institute of Technology, 2014: 40-52.
[25] 王浩, 王中伟. 纤维织物复合材料组分材料体分比的显微CT实验测定法[J]. 国防科技大学学报, 2017(3): 185-193.
WANG Hao, WANG Zhongwei. Volume fraction measurement for component material of textile composite using micro CT experiments[J]. Journal of National University of Defense Technology, 2017(3): 185-193.
[26] DESPLENTERE F, LOMOV S V, WOERDEMAN D L, et al. Micro-CT characterization of variability in 3D textile architecture[J]. Composites Science and Technology, 2005, 65(13): 1920-1930.
doi: 10.1016/j.compscitech.2005.04.008
[27] MADRA A, HAJJ N E, BENZEGGAGH M. X-ray microtomography applications for quantitative and qualitative analysis of porosity in woven glass fiber reinforced thermoplastic[J]. Composites Science and Technology, 2014, 95: 50-58.
doi: 10.1016/j.compscitech.2014.02.009
[28] 王雅娜, 曾安民, 陈新文, 等. 2.5D机织石英纤维增强树脂复合材料不同方向力学性能测试与模量预测[J]. 复合材料学报, 2019, 36(6): 1364-1373.
WANG Yana, ZENG Anmin, CHEN Xinwen, et al. Mechanical properties testing for 2.5D quartz fiber reinforced resin composites in different directions and module prediction[J]. Acta Materiae Compositae Sinica, 2019, 36(6): 1364-1373.
[29] 吕青泉, 赵振强, 李超, 等. 2.5D机织复合材料的渐进损伤与失效模拟[J]. 复合材料学报, 2020, 38(8): 2747-2757.
LÜ Qingquan, ZHAO Zhenqiang, LI Chao, et al. Progressive damage and failure simulation of 2.5D woven composites[J]. Acta Materiae Compositae Sinica, 2020, 38(8): 2747-2757.
[30] 封端佩, 商元元, 李俊. 三维四向和五向织造复合材料冲击断裂行为的多尺度模拟[J]. 纺织学报, 2020, 41(10): 67-73.
FENG Duanpei, SHANG Yuanyuan, LI Jun. Multi-scale simulation of impact failure behavior for 4-and 5-directional 3-D braided composites[J]. Journal of Textile Research, 2020, 41(10): 67-73.
[31] DALAQ A S, BARTHELAT F. Three-dimensional laser engraving for fabrication of tough glass-based bioinspired materials[J]. JOM, 2020, 72: 1487-1497.
doi: 10.1007/s11837-019-04001-w
[32] 喻寅, 王文强, 杨佳, 等. 多孔脆性介质冲击波压缩破坏的细观机理和图像[J]. 物理学报, 2012, 61(4): 1-7.
YU Yin, WANG Wenqiang, YANG Jia, et al. Mesoscopic picture of fracture in porous brittle material under shock wave compression[J]. Acta Physica Sinica, 2012, 61(4): 1-7.
[33] 田宏伟, 郭伟国. 平纹机织玻璃纤维增强复合材料面内压缩力学行为及破坏机制[J]. 复合材料学报, 2010, 27(2): 133-140.
TIAN Hongwei, GUO Weiguo. In-plane compressive mechanics behavior and failure mechanism for SW200/LWR-2 glass-woven composite[J]. Acta Materiae Compositae Sinica, 2010, 27(2): 133-140.
[1] ZHU Lütao, HAO Li, SHEN Wei, ZHU Chengyan. Analysis of quasi-brittle fracture performance of glass fiber composites based on boundary effect model [J]. Journal of Textile Research, 2022, 43(07): 75-80.
[2] QIANG Rong, FENG Shuaibo, LI Wanying, YIN Linzhi, MA Qian, CHEN Bowen, CHEN Yi. Biomass-derived magnetic carbon composites towards microwave absorption [J]. Journal of Textile Research, 2022, 43(01): 21-27.
[3] YANG Ping, YAN Biao, MA Pibo. Research advances in manufacture and properties of mesh fabrics [J]. Journal of Textile Research, 2021, 42(01): 175-180.
[4] XIAO Zhitao, GUO Yongmin, GENG Lei, WU Jun, ZHANG Fang, WANG Wen, LIU Yanbei. Internal defect detection method for thin test pieces of woven laminated composites based on ultrasonic phased array [J]. Journal of Textile Research, 2019, 40(11): 81-87.
[5] HUANG Yaoli, LÜ Lihua, WANG Guanju. Bending properties of three-dimensional I-shaped woven composites [J]. Journal of Textile Research, 2019, 40(04): 66-71.
[6] . Finite element analysis of curved multi-axial warp-knitted composite car door under low-velocity impact [J]. JOURNAL OF TEXTILE RESEARCH, 2018, 39(02): 43-48.
[7] . Strain sensing characteristics of carbon nanoyarns embedded in three-dimensional braided composites [J]. JOURNAL OF TEXTILE RESEARCH, 2018, 39(01): 11-18.
[8] . Bending properties and finite element method simulation of honeycomb 3-D integrated woven composites [J]. JOURNAL OF TEXTILE RESEARCH, 2017, 38(11): 56-60.
[9] . Friction and wear properties of stratified 3-D woven carbon fiber preform reinforced phenolic resin-based composites [J]. JOURNAL OF TEXTILE RESEARCH, 2017, 38(02): 75-80.
[10] . Design of T-shaped three-dimensional woven fabric and bending properties of composites [J]. JOURNAL OF TEXTILE RESEARCH, 2016, 37(12): 49-54.
[11] . New single cell model for numerical simulation of mechanical behavior of satin weave composites [J]. JOURNAL OF TEXTILE RESEARCH, 2014, 35(5): 40-0.
[12] . Application and development of carbon fiber multi-axial warp-knitted fabric reinforced composites [J]. JOURNAL OF TEXTILE RESEARCH, 2013, 34(12): 144-0.
[13] . Research on the Weft Knitted Fabric Defects Detection [J]. JOURNAL OF TEXTILE RESEARCH, 2011, 32(9): 47-52.
[14] XU Yanhua;YUAN Xinlin;HU Hong. Tensile properties of co-woven-knitted fabric with basalt fibre reinforced composites [J]. JOURNAL OF TEXTILE RESEARCH, 2011, 32(2): 48-52.
[15] LIAN jun;GU Bohong. Numerical simulation of dynamic performance of three-dimensional braided composites [J]. JOURNAL OF TEXTILE RESEARCH, 2011, 32(1): 41-45.
Viewed
Full text


Abstract

Cited

  Shared   
  Discussed   
[1] . [J]. JOURNAL OF TEXTILE RESEARCH, 2003, 24(06): 33 -34 .
[2] . [J]. JOURNAL OF TEXTILE RESEARCH, 2003, 24(06): 35 -36 .
[3] . [J]. JOURNAL OF TEXTILE RESEARCH, 2003, 24(06): 107 .
[4] . [J]. JOURNAL OF TEXTILE RESEARCH, 2003, 24(06): 109 -620 .
[5] . [J]. JOURNAL OF TEXTILE RESEARCH, 2004, 25(01): 1 -9 .
[6] . [J]. JOURNAL OF TEXTILE RESEARCH, 2004, 25(02): 101 -102 .
[7] . [J]. JOURNAL OF TEXTILE RESEARCH, 2004, 25(02): 103 -104 .
[8] . [J]. JOURNAL OF TEXTILE RESEARCH, 2004, 25(02): 105 -107 .
[9] . [J]. JOURNAL OF TEXTILE RESEARCH, 2004, 25(02): 108 -110 .
[10] . [J]. JOURNAL OF TEXTILE RESEARCH, 2004, 25(02): 111 -113 .