Journal of Textile Research ›› 2022, Vol. 43 ›› Issue (01): 21-27.doi: 10.13475/j.fzxb.20210910807

• Fiber Materials • Previous Articles     Next Articles

Biomass-derived magnetic carbon composites towards microwave absorption

QIANG Rong1,2(), FENG Shuaibo1, LI Wanying1, YIN Linzhi1, MA Qian1, CHEN Bowen1, CHEN Yi1   

  1. 1. College of Textiles, Zhongyuan University of Technology, Zhengzhou, Henan 450007, China
    2. Henan Collaborative Innovation Center of Textile and Garment Industry, Zhengzhou, Henan 450007, China
  • Received:2021-09-27 Revised:2021-11-04 Online:2022-01-15 Published:2022-01-28

Abstract:

In response to the national carbon neutrality and carbon emission peak target and in order to solve the potential preparation problem of magnetic carbon composite, it proposed a new biomass-derived strategy for the preparation of carbon-based microwave absorption composites. The iron/mushroom precursor was obtained by absorbing iron ions, where mushrooms acted as the raw material and iron salt severed as metal source. The Fe/Fe4N/C composites were acquired by controlled high-temperature pyrolysis, and the phase structure, morphology, thermal stability, magnetic stability, physiochemical properties and microwave absorption performance of composites were analyzed and discussed. It was proved that the increased pyrolysis temperature would improve the crystallinity of magnetic nanoparticles, and that the increases in Fe4N content would induce the decrease of coercivity and saturation magnetization simultaneously. The high pyrolysis temperature was conductive to the transformation from amorphous carbon to microcrystalline graphite,inducing the increased degree of graphitization degree of carbon components. The Fe/Fe4N/C composite pyrolyzed at 700 ℃ was regarded as the best microwave absorber. With a composite thickness being 4 mm, the effective bandwidth of microwave that could be absorbed reached to 6.64 GHz, from 4.00 to 10.64 GHz. The appropriate impedance matching and synergistic enhancement of dielectric loss and magnetic loss were considered to be responsible for the intensified microwave absorption. It is believed that the research provides a reference for the preparation of magnetic carbon microwave absorbers, and promotes the popularization and application of biomass-derived method.

Key words: biomass-derived method, carbon composites, magnetic, microwave absorption performance

CLC Number: 

  • O613.71

Fig.1

Schematic diagram for preparation of Fe/Fe4N/C composites"

Fig.2

Phase and morphology of Fe/Fe4N/C composites. (a) XRD pattern; (b) SEM image"

Fig.3

Analysis diagram of Fe/Fe4N/C composite. (a) Thermogravimetric analysis; (b) Raman spectra analysis"

Fig.4

Hysteresis curves of Fe/Fe4N/C composites"

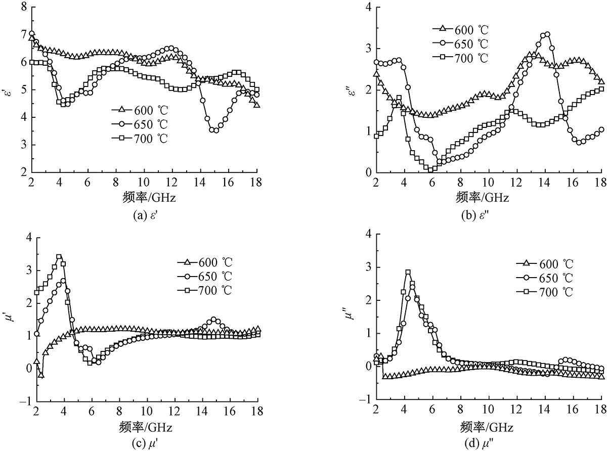
Fig.5

Dielectric constant and complex permeability of Fe/Fe4N/C composites"

Fig.6

Dielectric loss tangent of Fe/Fe4N/C composites"

Fig.7

Magnetic loss tangent of Fe/Fe4N/C composites"

Fig.8

2-D reflection loss diagrams of Fe/Fe4N/C composites"

Fig.9

Attenuation factor curves of Fe/Fe4N/C composites"

Fig.10

Impedance matching diagram of Fe/Fe4N/C composites"

[1] GU W, SHENG J, HUANG Q, et al. Environmentally friendly and multifunctional shaddock peel-based carbon aerogel for thermal-insulation and microwave absorption[J]. Nano-Micro Letters, 2021, 13, 102:1-4.
[2] LIU P, GAO S, LIU X, et al. Rational construction of hierarchical hollow CuS@CoS2 nanoboxes with heterogeneous interfaces for high-efficiency microwave absorption materials[J]. Composites Part B: Engineering, 2020, 192:107992.
doi: 10.1016/j.compositesb.2020.107992
[3] WU N, HU Q, WEI R, et al. Review on the electromagnetic interference shielding properties of carbon based materials and their novel composites: recent progress, challenges and prospects[J]. Carbon, 2021, 176:88-105.
doi: 10.1016/j.carbon.2021.01.124
[4] LI T, ZHI D, CHEN Y, et al. Multiaxial electrospun generation of hollow graphene aerogel spheres for broadband high-performance microwave absorption[J]. Nano Research, 2020, 13(2): 477-484.
doi: 10.1007/s12274-020-2632-0
[5] QIANG R, DU Y, WANG Y, et al. Rational design of yolk-shell C@C microspheres for the effective enhancement in microwave absorption[J]. Carbon, 2016, 98:599-606.
doi: 10.1016/j.carbon.2015.11.054
[6] YANG M, YUAN Y, LI Y, et al. Dramatically enhanced electromagnetic wave absorption of hierarchical CNT/Co/C fiber derived from cotton and metal-organic-framework[J]. Carbon, 2020, 161:517-527.
doi: 10.1016/j.carbon.2020.01.073
[7] LIU P, GAO S, WANG Y, et al. Magnetic porous N-doped carbon composites with adjusted composition and porous microstructure for lightweight microwave absorbers[J]. Carbon, 2021, 173:655-666.
doi: 10.1016/j.carbon.2020.11.043
[8] QAING R, DU Y, ZHAO H, et al. Metal organic framework-derived Fe/C nanocubes toward efficient microwave absorption[J]. Journal of Materials Chemistry A, 2015, 3:13426-13434.
doi: 10.1039/C5TA01457C
[9] LIU D, QIANG R, DU Y, et al. Prussian blue analogues derived magnetic FeCo alloy/carbon composites with tunable chemical composition and enhanced microwave absorption[J]. Journal of Colloid and Interface Science, 2018, 514:10-20.
doi: 10.1016/j.jcis.2017.12.013
[10] QIANG R, DU Y, CHEN D, et al. Electromagnetic functionalized Co/C composites by in situ pyrolysis of metal-organic frameworks (ZIF-67)[J]. Journal of Alloys and Compounds, 2016, 681:384-393.
doi: 10.1016/j.jallcom.2016.04.225
[11] GUAN H, WANG Q, WU X, et al. Biomass derived porous carbon (BPC) and their composites as lightweight and efficient microwave absorption materials[J]. Composites Part B: Engineering, 2021, 207:108562.
[12] LEI L, WANG Y, ZHANG Z, et al. Transformations of biomass, its derivatives, and downstream chemicals over ceria catalysts[J]. ACS Catalysis, 2020, 10(15): 8788-8814.
doi: 10.1021/acscatal.0c01900
[13] WANG H, MENG F, LI J, et al. Carbonized design of hierarchical porous carbon/Fe3O4@Fe derived from loofah sponge to achieve tunable high-performance microwave absorption[J]. ACS Sustain Chem Eng, 2018, 6(9): 11801-11810.
doi: 10.1021/acssuschemeng.8b02089
[14] GOU G, MENG F, WANG H, et al. Wheat straw-derived magnetic carbon foams: in-situ preparation and tunable high-performance microwave absorption[J]. Nano Res, 2019, 12(6): 1423-1429.
doi: 10.1007/s12274-019-2376-x
[15] QIANG R, FENG S, CHEN Y, et al. Recent progress in biomass-derived carbonaceous composites for enhanced microwave absorption[J]. Journal of Colloid and Interface science, 2021, 606:406-423.
doi: 10.1016/j.jcis.2021.07.144
[16] QIANG R, FENG S, CHEN Y, et al. Porous and flake-like gamma-Fe4N@iron oxides with enhanced microwave absorption performance[J]. Ceramics International 2021, 47:8315-8321.
doi: 10.1016/j.ceramint.2020.11.193
[17] BHATTACHARYYA S. Iron nitride family at reduced dimensions: a review of their synjournal protocols and structural and magnetic properties[J]. Journal of Physical Chemistry C, 2015, 119:1601-1622.
doi: 10.1021/jp510606z
[1] ZOU Lihua, YANG Li, LAN Chuntao, RUAN Fangtao, XU Zhenzhen. Electromagnetic shielding properties of graphene oxide/polypyrrole coated cotton fabric with layer-by-layer assembling method [J]. Journal of Textile Research, 2021, 42(12): 111-118.
[2] LIU Zexu, XU Guangshen, SHENG Xiaochao, DAI Xinyi. Design and simulation of Lorentz force actuated maglev knitting needle actuator [J]. Journal of Textile Research, 2021, 42(11): 159-165.
[3] LI Ke, ZHANG Zihong, YU Jianying, LIAN Sumei, DING Youchao, XIE Tangtang, FU Kejie, GUO Huiqing. Method to detect virulence gene rfbE of Escherichia coli O157:H7 in textiles [J]. Journal of Textile Research, 2021, 42(10): 92-98.
[4] RONG Kai, FAN Wei, WANG Qi, ZHANG Cong, YU Yang. Application progress of two-dimensional transitional metal carbon/nitrogen compound composite in field of intelligent wearable textiles [J]. Journal of Textile Research, 2021, 42(09): 10-16.
[5] LI Dongdong, ZHANG Chengjun, ZUO Xiaoyan, ZHANG Chi, ZHU Li, LIU Yakun. Influence of densely wound coil array structure on driving performance of suspended knitting needles [J]. Journal of Textile Research, 2021, 42(09): 156-162.
[6] MENG Lingling, WEI Qufu, YAN Zhongjie, ZHONG Zhenzhen, WANG Xiaohui, SHEN Jiayu, CHEN Hongwei. Preparation and properties of Ag/ZnO composite film deposited polyester fabrics by magnetron sputtering [J]. Journal of Textile Research, 2021, 42(03): 143-148.
[7] WANG Qiuping, ZHANG Ruiping, LI Chenghong, ZHANG Gecheng. Preparation and characterization of conductive polyester nonwovens [J]. Journal of Textile Research, 2020, 41(10): 116-121.
[8] LI Dongdong, ZHANG Chengjun, ZUO Xiaoyan, ZHANG Chi, LI Hongjun, ZHOU Xiangyang. Study on magnetic field distribution in permanent magnetic needle drive using hybrid magnetic suspension needle [J]. Journal of Textile Research, 2020, 41(09): 136-142.
[9] ZHAO Zhiqi, LI Qiujin, SUN Yuejing, GONG Jixian, LI Zheng, ZHANG Jianfei. Application of magnetic-graphene oxide/poly(allylamine hydrochloride) microcapsules for adsorption of dyes [J]. Journal of Textile Research, 2020, 41(07): 109-116.
[10] MO Shuai, FENG Zhanyong, DANG Heyu, ZOU Zhenxing. Development and research prospect of cotton spinning spindles [J]. Journal of Textile Research, 2020, 41(06): 190-196.
[11] LIU Airong, CHEN Yanmin, GE Fengyan, CAI Zaisheng, WANG Juan. Progress on fiber-based surface-enhanced Raman scattering substrates [J]. Journal of Textile Research, 2020, 41(05): 176-183.
[12] ZHANG Hengyu, ZHANG Xiansheng, XIAO Hong, SHI Meiwu. Research progress of two-dimensional carbide in field of flexible electromagnetic absorbing [J]. Journal of Textile Research, 2020, 41(03): 182-187.
[13] ZHAO Yaru, XIAO Hong, CHEN Jianying. Elastic and electrical properties of stainless steel fiber/cotton blended spandex wrap yarn [J]. Journal of Textile Research, 2020, 41(03): 45-50.
[14] WANG Qiuhan, WANG Yajing, DONG Keping, XIAO Hong. Effect of clothing structure and dummy model on shielding effectiveness of electromagnetic protecting clothing [J]. Journal of Textile Research, 2020, 41(01): 124-130.
[15] LI Changling, WANG Wencong, HUA Dong, ZHOU Jianping, KAN Jianxing, WANG Hongbo. Preparation and properties of polyamide-based magnetic fibers [J]. Journal of Textile Research, 2019, 40(11): 26-31.
Viewed
Full text


Abstract

Cited

  Shared   
  Discussed   
[1] . [J]. JOURNAL OF TEXTILE RESEARCH, 2003, 24(06): 35 -36 .
[2] . [J]. JOURNAL OF TEXTILE RESEARCH, 2003, 24(06): 107 .
[3] . [J]. JOURNAL OF TEXTILE RESEARCH, 2003, 24(06): 109 -620 .
[4] . [J]. JOURNAL OF TEXTILE RESEARCH, 2004, 25(02): 103 -104 .
[5] . [J]. JOURNAL OF TEXTILE RESEARCH, 2004, 25(02): 105 -107 .
[6] . [J]. JOURNAL OF TEXTILE RESEARCH, 2004, 25(02): 108 -110 .
[7] . [J]. JOURNAL OF TEXTILE RESEARCH, 2004, 25(02): 111 -113 .
[8] . [J]. JOURNAL OF TEXTILE RESEARCH, 2004, 25(03): 7 -8 .
[9] PAN Xu-wei;GU Xin-jian;HAN Yong-sheng;CHENG Yao-dong. Research on quick response of apparel supply chain for collaboration[J]. JOURNAL OF TEXTILE RESEARCH, 2006, 27(1): 54 -57 .
[10] HUANG Xiao-hua;SHEN Ding-quan. Degumming and dyeing of pineapple leaf fiber[J]. JOURNAL OF TEXTILE RESEARCH, 2006, 27(1): 75 -77 .