Journal of Textile Research ›› 2023, Vol. 44 ›› Issue (12): 58-66.doi: 10.13475/j.fzxb.20220504601

• Textile Engineering • Previous Articles     Next Articles

Processing of wool yarn/polyamide filament covered yarns and their properties and applications

JIA Bingfan1, AO Limin1,2(), TANG Wen3, ZHENG Yuansheng4, SHANG Shanshan4   

  1. 1. College of Materials and Textile Engineering, Jiaxing University, Jiaxing, Zhejiang 314001, China
    2. Zhejiang Key Laboratory of Yarn Material Forming and Composite Processing Technology Research, Jiaxing, Zhejiang 314001, China
    3. College of Business, Jiaxing University, Jiaxing, Zhejiang 314001, China
    4. School of Textiles and Fashion, Shanghai University of Engineering Science, Shanghai 201620, China
  • Received:2022-05-16 Revised:2022-08-05 Online:2023-12-15 Published:2024-01-22

Abstract:

Objective There are some performance defects in wool yarn itself, such as low breaking strength and excessive yarn hairiness, which affect its processability and fabric wearability, for example, low strength makes it unable to withstand larger weaving tension, and excessive hairiness leads to yarn entanglement during weaving and fabric pilling. This article explores the feasibility of using filament yarn to wrap wool yarn by hollow spindle covering to improve its processability and fabric wearability, as well as the impact of the main wrapping process on the technical effect, aiming at providing reference for the development of covered wool yarn and its fabric products.
Method Four twist levels of single-covered and cross-wrapped double-covered composite yarns were applied to the yarns using the hollow spindle covering machine, where 26.3 tex black wool worsted yarn was used as the core yarn, and 44.4 dtex(34 f) polyamide white Fully-Drawn-Yarn(FDY)filament yarn was used as the outer wrapping yarn. The structure of the two types of composite yarns were observed by magnification, the tensile properties, hairiness, evenness and yarn defects were tested according to corresponding standards and comparatively analyzed, and the application of wool yarn covering processing was discussed.
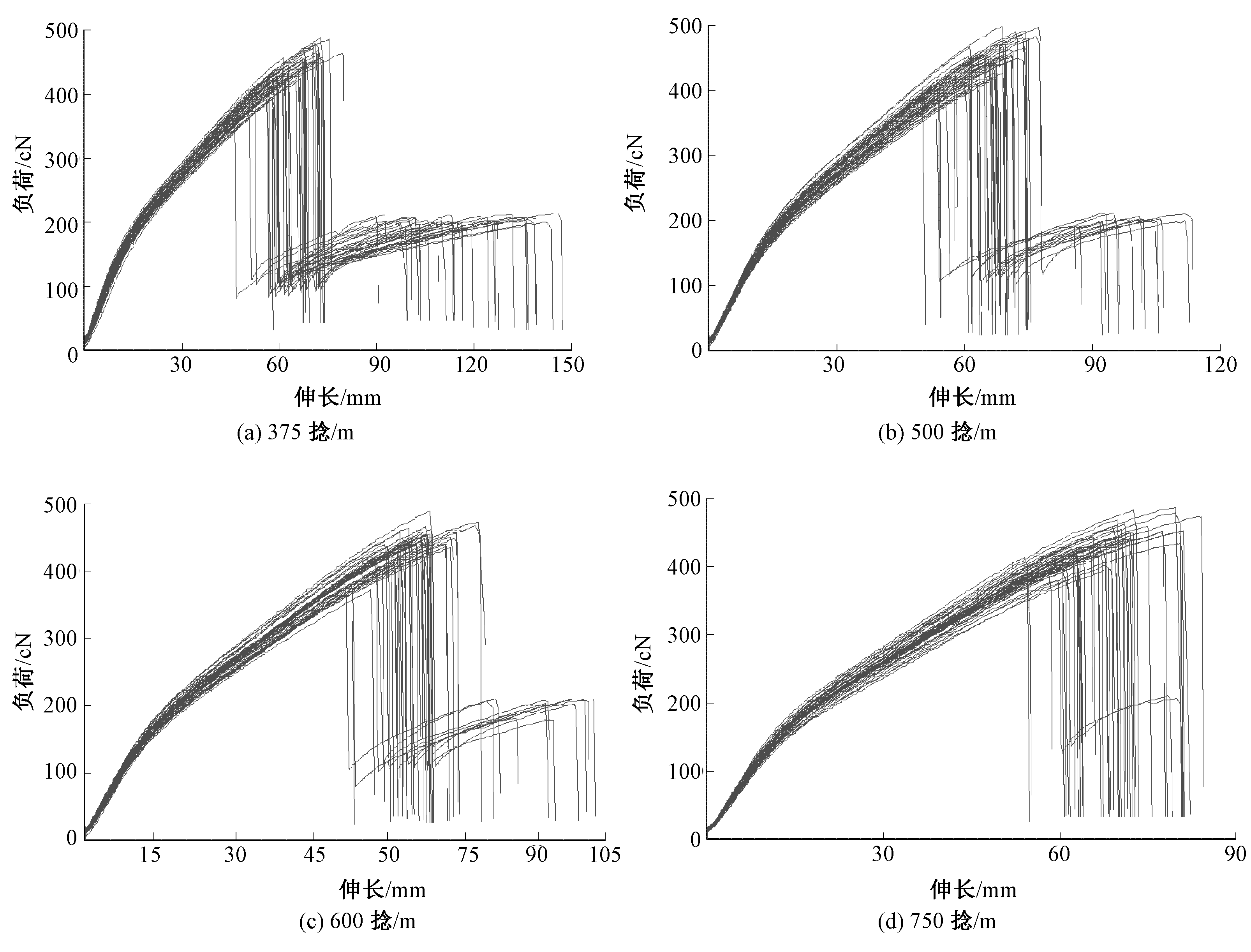
Results The spinning principle of single-covered and double-covered yarn were shown (Fig. 1), and the structure models of the two types of covered yarn were given correspondingly (Fig. 2), as well as the partial enlarged views of the two types of composite yarns(Fig. 3), so as to observe and compare their composite structures. The package appearance (Fig. 4) and the photos of the yarn card (Fig. 5) of the two types of composite yarns were presented respectively to show the appearance characteristics. A partial enlarged picture of 750 twists/m single covered yarn was provided (Fig. 6) for presenting the obvious twist irregularity of single covered composite yarn. In order to compare and analyze the influence of covering processing and its parameters on the tensile performance of the wool yarns, the total tensile fracture curves of 50 times of polyamide wrapped yarn(Fig. 7(a)), wool core yarn (Fig. 7(b)), four twist levels were applied to the single-wrapped composite yarn (Fig. 8) and the typical double-wrapped composite yarn (Fig. 9), and the tensile strength of all raw yarns, single-covered yarns and double-covered yarns were listed (Tab. 1), including breaking strengths/tenacities and their CV value, break elongations and their CV value, and the failure of the core and cover yarns. The hairiness test results of the wool yarn and two type of composite yarn were exhibited (Tab. 2), and the test results for evenness and yarn defects were provided (Tab. 3). The performance changes of composite yarn compared with the wool yarn and the influence of different twist configurations were compared and analyzed, and based on this, the industrial application and requirements of wool yarn covering processing were discussed.
Conclusion The composite yarn has a mixed color appearance of the color of core yarn and outer wrapping yarn. The single-covered composite yarn has the characteristics of uneven distribution of twist, the twist on the thick place is smaller, and the twist on the thin place is larger. The breaking strength of the composite yarn is greater than that of the wool yarn, and the double-covered yarn is greater than the single-covered yarn. The elongation at break of the composite yarn is significantly higher than that of the wool yarn, and the double-covered yarn is greater than that of the single-covered yarn. The covering composite yarns can significantly reduce the hairiness of wool yarn and improve wool yarn evenness and reduce yarn defects. Taking wool yarn as the core yarn, reasonably selecting the type and specification of wrapping yarn and the covering process can improve the processability of wool yarn and change the style and performance of fabric products.

Key words: wool yarn, covered yarn, covering process, single-covered, double-covered, composite structure, yarn property, polyamide filament

CLC Number: 

  • TS104.1

Fig. 1

Principle of covering spinning"

Fig. 2

Structural models of covered yarns. (a) Single-covered yarn; (b) Double-covered yarn"

Fig. 3

Structure of composite yarns. (a) Single-covered yarn with twist of 500 twist/m; (b) Double-covered yarn with twist ratio of 500:400"

Fig. 4

Package appearance of covered yarns. (a) Single-covered yarn; (b) Double-covered yarn"

Fig. 5

Photos of yarn card of covered yarns. (a) Single-covered yarn; (b) Double-covered yarn"

Fig. 6

Locally enlarged photograph of single-covered yarn with 750 twist/m"

Fig. 7

Total stretch curves for 50 times of two raw yarns. (a) PA6 yarn; (b) Wool yarn"

Fig. 8

Total stretch curves for 50 times of single-coated yarn with different twist. (a) 375 twist/m; (b) 500 twist/m; (c) 600 twist/m; (d) 750 twist/m"

Fig. 9

Total stretch curves for 50 times of double-covered yarns"

Tab. 1

Tensile fracture index test results"

纱线种类 捻度/
(捻·m-1)
捻度比 断裂强
力/cN
断裂强力
CV值/%
断裂强度/
(cN·tex-1)
强力利
用率/%
断裂伸
长率/%
伸长率
CV值/%
2次断裂
次数
毛纱原纱 272.14 5.93 10.34 10.14 8.41
锦纶6长丝 205.98 2.36 46.35 35.86 4.70
单包包覆纱 375 436.70 6.47 14.20 0.91 12.82 10.87 32
500 443.22 6.83 14.41 0.93 13.19 9.64 15
600 435.80 5.80 14.17 0.91 12.99 8.86 11
750 431.62 6.11 14.03 0.90 13.60 10.35 2
双包包覆纱 375:300 605.28 3.93 17.19 0.88 15.31 6.81
500:400 606.24 3.92 17.22 0.89 16.40 6.87
600:480 595.42 4.14 16.91 0.87 16.44 7.85
750:600 583.94 4.28 16.59 0.85 17.24 7.05

Tab. 2

Test results of hairiness"

纱线种类 捻度/
(捻·m-1)
捻度比 不同长度毛羽数/(根·m-1)
1 mm 2 mm 3 mm 4 mm 5 mm 6 mm 7 mm 8 mm
毛纱原纱 218.98 77.24 29.88 12.5 5.92 2.87 1.34 0.71
单包包覆纱 375 129.65 25.56 6.27 1.97 0.67 0.34 0.11 0.07
500 103.44 17.13 3.55 0.85 0.23 0.07 0.07 0.05
600 89.18 12.96 2.53 0.83 0.21 0.05 0.00 0.00
750 71.72 10.23 1.98 0.52 0.05 0.05 0.03 0.02
双包包覆纱 375:300 80.08 11.42 2.18 0.43 0.15 0.02 0.00 0.01
500:400 56.82 6.13 1.12 0.17 0.03 0.00 0.01 0.03
600:480 46.10 5.50 0.87 0.18 0.03 0.01 0.01 0.01
750:600 41.65 5.15 0.88 0.17 0.01 0.02 0.00 0.02

Tab. 3

Test results for evenness and yarn defects"

纱线种类 捻度/
(捻·m-1)
捻度比 CV值/% 细节(-50%)/
(个·km-1)
粗节(+50%)/
(个·km-1)
毛粒(+200%)/
(个·km-1)
毛纱原纱 21.27 47 52 48
单包包覆纱 375 17.11 9 17 20
500 17.49 11 25 18
600 18.41 9 25 26
750 18.46 5 38 27
双包包覆纱 375:300 16.15 4 11 10
500:400 14.99 0 8 8
600:480 15.20 0 7 5
750:600 15.27 0 6 5
[1] 王辉, 郁崇文, 敖利民. 包缠捻度对苎麻包缠纱性能的影响[J]. 上海纺织科技, 2016, 44(7):51-53, 57.
WANG Hui, YU Chongwen, AO Limin. Effect of twist on the properties of ramie wrapped yarn[J]. Shanghai Textile Science & Technology, 2016, 44(7): 51-53, 57.
[2] 李杜, 陈清清, 张玲丽, 等. 聚酰胺纤维芳纶1414包覆纱的拉伸性能探讨[J]. 棉纺织技术, 2021, 49(9):60-63.
LI Du, CHEN Qingqing, ZHANG Lingli, et al. Discussion on tensile property of polyamide fiber aramid 1414 covered yarn[J]. Cotton Textile Technology, 2021, 49(9): 60-63.
[3] 周朝钢, 谢光银, 李露露. 高强包覆纱特种篷盖织物的设计与开发[J]. 产业用纺织品, 2020, 38(9):19-21.
ZHOU Chaogang, XIE Guangyin, LI Lulu. Design and development of special canopy fabrics with high-strength covered yarn[J]. Technical Textiles, 2020, 38(9): 19-21.
[4] 严雪峰, 毛利洲, 张春英, 等. 包覆纱芯丝构成对其织物耐切割性能的影响[J]. 棉纺织技术, 2021, 49(5):6-9.
YAN Xuefeng, MAO Lizhou, ZHANG Chunying, et al. Influence of core filament composition on covered fabric cut resistance property[J]. Cotton Textile Technology, 2021, 49(5): 6-9.
[5] 曾玮宸, 刘茜. 基于弹性导电包覆纱的手势识别系统设计[J]. 棉纺织技术, 2021, 49(4):21-26.
ZENG Weichen, LIU Qian. Design of gesture recognition system based on elastic conductive covered yarn[J]. Cotton Textile Technology, 2021, 49(4): 21-26.
[6] 周淑雯, 权颖楠, 辛敏杰, 等. 包覆度对包覆纱应变传感器基本传感性能的影响[J]. 上海纺织科技, 2018, 46(12):33-38.
ZHOU Shuwen, QUAN Yingnan, XIN Minjie, et al. Effect of coverage degree on basic sensing performance of wrapped yarn strain sensor[J]. Shanghai Textile Science & Technology, 2018, 46(12): 33-38.
[7] 熊祥章, 裴泽光, 陈革. 基于形状记忆合金丝包覆纱的针织物致动器研究[J]. 纺织学报, 2020, 41(5):50-57.
XIONG Xiangzhang, PEI Zeguang, CHEN Ge. Study on actuating force of knit actuator based on covered yarn with shape memory alloy wire as core[J]. Journal of Textile Research, 2020, 41(5): 50-57.
[8] 徐飞燕, 马建伟. 锦纶/塑料光纤包覆纱的纺制及性能分析[J]. 产业用纺织品, 2020, 38(3):17-21.
XU Feiyan, MA Jianwei. Spinning and performance analysis of polyamide/plastic optical fiber covered yarn[J]. Technical Textiles, 2020, 38(3): 17-21.
[9] 敖利民, 唐雯, 王爱林. 亚麻/有色涤纶长丝包缠复合纱的外观与性能[J]. 纺织学报, 2019, 40(8): 35-42.
AO Limin, TANG Wen, WANG Ailin. Appearance and performance of linen/colored polyester wrapping composite yarn[J]. Journal of Textile Research, 2019, 40(8): 35-42.
[10] 敖利民, 唐雯, 姜银玲. 亚麻长麻/涤纶长丝复合纱的纺制及其性能比较[J]. 纺织学报, 2019, 40(11): 38-44.
AO Limin, TANG Wen, JIANG Yinling. Spinning and performance comparison of line flax/polyester multifilament composite yarns[J]. Journal of Textile Research, 2019, 40(11): 38-44.
[1] MIAO Lulu, DONG Zhengmei, ZHU Fanqiang, RONG Hui, HE Linwei, ZHENG Guoquan, ZOU Zhuanyong. Influence of core filament type and delivery speed on performance of air-jet vortex spun core-spun yarns [J]. Journal of Textile Research, 2023, 44(12): 50-57.
[2] LUO Chunxu, GONG Haoran, WU Minyong, HUANG Cong, LIU Keshuai. Preparation and properties of special basalt sewing threads [J]. Journal of Textile Research, 2023, 44(11): 61-66.
[3] WANG Yaqian, WAN Ailan, ZENG Deng, WU Guangjun, QI Qian. Preparation of shape memory polyurethane/polyamide covered yarn and properties of compression socks [J]. Journal of Textile Research, 2023, 44(10): 53-59.
[4] AO Limin, TANG Wen. Influences of twist and twist direction arrangement on properties of double covered yarns [J]. Journal of Textile Research, 2023, 44(07): 50-56.
[5] HU Diefei, WANG Yan, YAO Juming, DAS Ripon, MILITKY Jiri, VENKATARAMAN Mohanapriya, ZHU Guocheng. Study on performance of nanofiber air filter materials [J]. Journal of Textile Research, 2023, 44(05): 77-83.
[6] SHI Jingjing, YANG Enlong. Analysis of structure and properties of cotton/wool siro segment colored yarns [J]. Journal of Textile Research, 2023, 44(03): 55-59.
[7] MIAO Ying, XIONG Shiman, ZHENG Minbo, TANG Jiandong, ZHANG Huixia, DING Cailing, XIA Zhigang. Effect of high smooth treatment on polyimide staple yarns and its fabric properties [J]. Journal of Textile Research, 2023, 44(02): 118-127.
[8] LÜ Jindan, CHENG Longdi. Influence of groove shape on flow field and yarn properties of compact spinning [J]. Journal of Textile Research, 2023, 44(01): 188-193.
[9] CHU Yanyan, LI Shichen, CHEN Chao, LIU Yingying, HUANG Weihan, ZHANG Yue, CHEN Xiaogang. Research progress in bulletproof flexible textile materials and structures [J]. Journal of Textile Research, 2022, 43(12): 203-212.
[10] ZOU Zhuanyong, MIAO Lulu, DONG Zhengmei, ZHENG Guoquan, FU Na. Effect of air-jet vortex spinning process on properties of viscose/polyester core-spun yarns [J]. Journal of Textile Research, 2022, 43(08): 27-33.
[11] YANG Wenjing, WU Hailiang, MA Jianhua, YAO Yijun, SHEN Yanqin. Preparation and properties of succinic anhydride acylated gelatin sizing agent for wool yarn sizing [J]. Journal of Textile Research, 2021, 42(04): 93-100.
[12] YANG Yuchen, QIN Xiaohong, YU Jianyong. Research progress of transforming electrospun nanofibers into functional yarns [J]. Journal of Textile Research, 2021, 42(01): 1-9.
[13] XIONG Xiangzhang, PEI Zeguang, CHEN Ge. Study on actuating force of knit actuator based on covered yarn with shape memory alloy wire as core [J]. Journal of Textile Research, 2020, 41(05): 50-57.
[14] XU Duo, WEI Jiang, MEI Jianxiang, ZHANG Xinling, ZHANG Youqing, XU Weilin, LIU Keshuai. Properties of soft-spun viscose hard-twist yarn and fabric thereof [J]. Journal of Textile Research, 2019, 40(10): 48-55.
[15] AO Limin, TANG Wen, WANG Ailin. Appearance and performance of linen/colored polyester wrapping composite yarn [J]. Journal of Textile Research, 2019, 40(08): 40-47.
Viewed
Full text


Abstract

Cited

  Shared   
  Discussed   
No Suggested Reading articles found!