Journal of Textile Research ›› 2024, Vol. 45 ›› Issue (10): 1-8.doi: 10.13475/j.fzxb.20230708301

• Fiber Materials •     Next Articles

Preparation of PET-based carbon dots by pyrolysis and its application in PET flame retardancy

BING Linhan1, WANG Rui1,2, WU Yuhang1, LIU Botong1, HUANG Hanjiang1, WEI Jianfei1,2()   

  1. 1. School of Materials Design and Engineering, Beijing Institute of Fashion Technology, Beijing 100029, China
    2. Beijing Key Laboratory of Clothing Materials R&D and Assessment, Beijing Institute of Fashion Technology, Beijing 100029, China
  • Received:2023-10-19 Revised:2024-07-13 Online:2024-10-15 Published:2024-10-15
  • Contact: WEI Jianfei E-mail:weijianfei@bift.edu.cn

Abstract:

Objective In order to improve the flame retardant properties of polyethylene terephthalate (PET), PET-based carbon dots (PET-CDs) were prepared by pyrolysis using PET waste as a precursor, and PET com-plexes (PET-CDs-PET) were prepared by mixing them with PET using physical blending method. The transformation from PET waste to flame-retardant PET was achieved. PET oligomers were prepared by microwave method, and then PET-CDs were prepared by pyrolysis reaction of PET oligomers with ethylenediaminetetraacetic acid. PET-CDs of different qualities were crushed in a pulveriser together with PET slices to obtain four kinds of PET-CDs-PETs with different contents of PET-CDs.

Method Transmission electron microscopy, X-ray photoelectron spectroscopy, Fourier infrared spectroscopy were used to analyse the structure of PET-CDs, and the optical properties of PET-CDs were investigated with the help of fluorescence spectrometer and UV analyser. The effects of different additive amounts of PET-CDs on the flame retardancy of PET were investigated by the limiting oxygen index (LOI), vertical combustion (UL-94), and cone calorimetry. The effect of PET-CDs on the flame retardancy of PET with different additions was also investigated by using a material. The mechanical properties of PET-CDs-PET were investigated by a material strength tester.

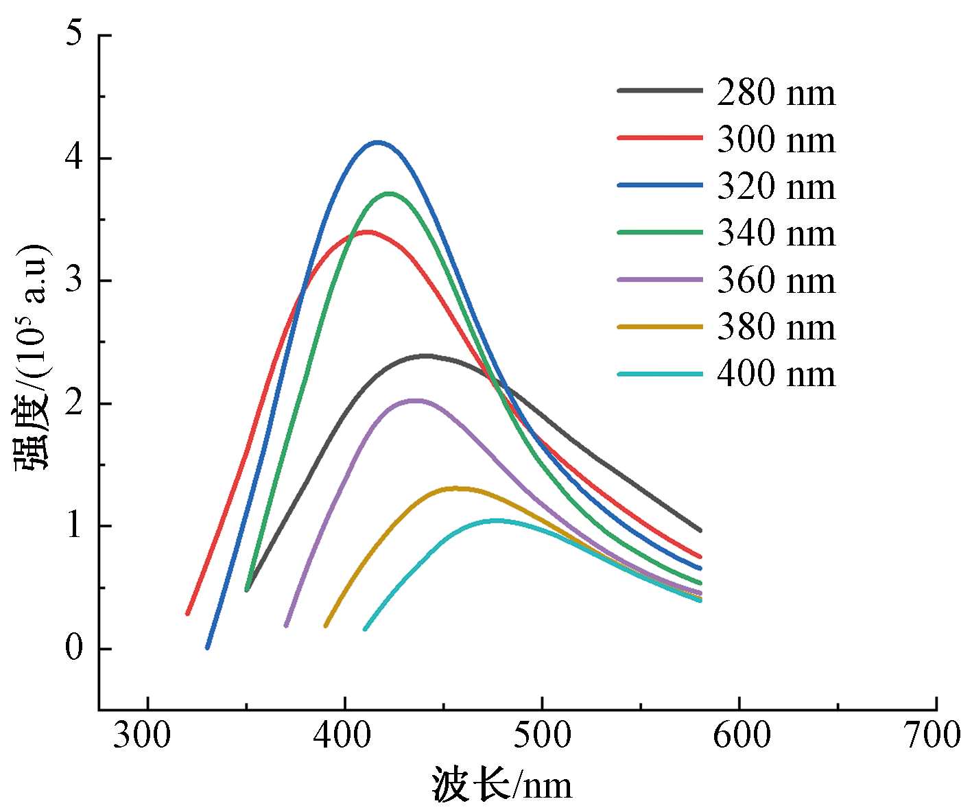
Results As far as the structure is concerned, the prepared PET-CDs are quasi-spherical, with uniform particle distribution and no agglomeration. The particle size ranged from 0.44 nm to 4.39 nm, the average particle size was 1.85 nm, the lattice spacing was 0.25 nm, and the surface contained hydroxyl, carboxyl, and amine functional groups. In terms of optical properties, the prepared PET-CDs ethanol solutions showed dark brown colour under indoor natural light and blue fluorescence in UV analyser when irradiated by UV lamp with wavelength of 365 nm. The fluorescence of PET-CDs ethanol solutions was typical excitation wavelength-dependent, with the optimal excitation wavelengths and emission wavelengths of 320 nm and 420 nm, respectively. The absolute fluorescence quantum yield reached 25.73% under the light excitation at 320 nm, and the UV-visible absorption spectrum had an obvious absorption peak at 293 nm. In terms of flame retardant properties, the thermal stability of PET-CDs met the requirements of blending with PET, and the residual carbon of PET was increased by adding PET-CDs into PET. The LOI values of PET-CDs was increased and then decreased after the addition of PET-CDs with different contents, but all of them were higher than that of pure PET. The UL-94 fire ratings were all V-2 with different additions of PET-CDs. The LOI value of PET-CDs 1%-PET was 30%, and there was no significant decrease in the mechanical properties of PET at this additive amount, so the optimal additive amount of PET-CDs was 1%. The total heat release of PET-CDs 1%-PET was decreased by 1.5%, the total smoke release by 8.1%, the peak value of CO by 42%, the peak value of CO2 by 35.9%.

Conclusion The preparation of CDs from PET waste as raw material can provide a new method for the reuse of waste, and the PET waste can be used in the flame retardant modification of PET materials after the preparation of CDs, forming a green and benign cycle. At the same time, the application of CDs in the flame retardant field not only broadens the scope of its application, but also provides a new flame retardant in this field.

Key words: polyethylene terephthalate, carbon dots, pyrolysis, flame retardant modification, co-mixing, polyester recycling and utilization

CLC Number: 

  • TQ317.9

Tab.1

PET-CDs-PET raw material ratio g"

样品 PET-CDs质量 PET切片质量
纯PET 0 500
PET-CDs 1%-PET 5 495
PET-CDs 3%-PET 15 485
PET-CDs 5%-PET 25 475

Fig.1

TEM image of PET-CDs"

Fig.2

XPS spectra of PET-CDs"

Fig.3

FT-IR spectrum of PET-CDs"

Fig.4

UV-vis absorption spectra of PET-CDs"

Fig.5

Fluorescence emission spectra obtained by excitation of PET-CDs with different wavelengths of light"

Fig.6

PET-CDs fluorescence quantum yield"

Fig.7

Thermogravimetric curves of PET-CDs"

Fig.8

DSC curves of PET and PET-CDs-PET. (a) DSC warming curves; (b) DSC cooling curves"

Tab.2

DSC analysis data for PET-CDs-PET℃"

样品 Tg Tcc Tm Tmc ΔTmc
纯PET 72 134 245 208 37
PET-CDs 1%-PET 71 121 247 202 45
PET-CDs 3%-PET 70 118 245 201 44
PET-CDs 5%-PET 69 116 243 200 43

Tab.3

Thermogravimetric analysis data of PET-CDs-PET"

样品 T5%/℃ Tmax/℃ 残炭量(700 ℃)/%
纯PET 403.33 445.39 8.48
PET-CDs 1%-PET 401.51 445.97 11.52
PET-CDs 3%-PET 398.65 445.07 11.72
PET-CDs 5%-PET 391.99 440.67 8.64

Tab.4

PET-CDs-PET limiting oxygen indices"

样品 LOI值/%
纯PET 23
PET-CDs 1%-PET 30
PET-CDs 3%-PET 26
PET-CDs 5%-PET 25

Tab.5

PET-CDs-PET vertical combustion analysis"

样品 t1/s t2/s 是否
熔滴
是否
引燃脱
脂棉
UL-94
等级
纯PET 42.0±10.7 8.7±6.9
PET-CDs 1%-PET 7.7± 1.8 2.8±2.0 V-2
PET-CDs 3%-PET 2.5± 0.3 1.3±0.3 V-2
PET-CDs 5%-PET 1.9± 0.5 2.5±0.7 V-2

Tab.6

PET-CDs-PET cone calorimetric data"

样品 TTI/s PHRR/(kW·m-2) THR/(MJ·m2) CO峰值/(kg·kg-1) CO2峰值/(kg·kg-1) TSR/m2
纯PET 48 892.87 80.1 21.7 196.3 1 995
PET-CDs 1%-PET 60 702.98 78.9 12.6 125.8 1 834
PET-CDs 3%-PET 59 691.34 72.3 6.7 60.1 1 834
PET-CDs 5%-PET 67 677.78 65.7 4.6 58.6 1 710

Fig.9

Photographs of carbon layers after PET-CDs-PET cone calorimetry. (a) Pure PET; (b) PET-CDs 1%-PET; (c) PET-CDs 3%-PET; (d) PET-CDs 5%-PET;(e) SEM image of pure PET; (f) SEM image of PET-CDs 1%-PET"

Tab.7

PET-CDs-PET tensile test data"

样品 拉伸
强度/MPa
弹性
模量/MPa
断裂
伸长率/%
纯PET 60.0±1.4 1 079.4±21.4 507.6±27.7
PET-CDs 1%-PET 49.7±1.0 1 045.2±20.3 480.0±11.2
PET-CDs 3%-PET 45.8±1.3 965.7±36.7 41.3±13.8
PET-CDs 5%-PET 8.8±1.0 921.1±63.2 2.8± 0.1
[1] CAO Fan, WANG Liyan, ZHENG Rongrong, et al. Research and progress of chemical depolymerization of waste PET and high-value application of its depolymerization products[J] RSC Advances, 2022, 12(49):31564-31576.
doi: 10.1039/d2ra06499e pmid: 36380916
[2] 刘欣悦, 崔颖璐. PET塑料废弃物及微塑料生物降解与转化的研究现状与展望[J]. 生物加工过程, 2022, 2(2):226-234.
LIU Xinyue, CUI Yinglu. Current status and prospects of research on biodegradation and conversion of PET plastic waste and microplastics[J]. Bioprocessing, 2022, 2(2):226-234.
[3] 李志斌, 唐辉, 罗大伟, 等. 废弃PET化学回收及制备不饱和聚酯树脂的研究进展[J]. 化工进展, 2022, 41(6):3279-3292.
doi: 10.16085/j.issn.1000-6613.2021-1439
LI Zhibin, TANG Hui, LUO Dawei, et al. Progress in chemical recycling of waste PET and preparation of unsaturated polyester resin[J]. Chemical Progress, 2022, 41(6):3279-3292.
[4] 齐帆, 任海涛, 黄洁, 等. 碳量子点的制备、性质及应用[J]. 化学研究, 2020, 31(3):270-277.
QI Fan, REN Haitao, HUANG Jie, et al. Preparation, properties and applications of carbon quantum dots[J]. Chemistry Research, 2020, 31(3):270-277.
[5] FERNANDO K A Shiral, SAHU Sushant, LIU Yamin, et al. Carbon quantum dots and applications in photocatalytic energy conversion[J]. ACS Applied Materials & Interfaces, 2015, 7(16):8363-8376.
[6] BAPTISTA Frederico R, BELHOUT S A, GIORDANI S, et al. Recent developments in carbon nanomaterial sensors[J]. Chemical Society Reviews, 2015, 44:433-4453.
[7] 韩韬, 王群, 苗彩琴, 等. 荧光碳点检测铁离子的科研成果转化为教学实践[J]. 化工管理, 2023(6):5-8.
HAN Tao, WANG Qun, MIAO Caiqin, et al. Translation of scientific research results on fluorescent carbon spot detection of ferric ions into teaching practice[J]. Chemical Engineering Management, 2023(6):5-8.
[8] 刘洋, 刘竞, 孙宁, 等. 氮掺杂橙色荧光碳点的制备及其对Cu2+的检测[J]. 分析科学学报, 2022, 38(6):698-704.
LIU Yang, LIU Jing, SUN Ning, et al. Preparation of nitrogen-doped orange fluorescent carbon dots and their detection of Cu2+[J]. Journal of Analytical Science, 2022, 38(6):698-704.
[9] ZHAO Shaojing, YANG Ke, JIANG Lirong, et al. Polythiophene-based carbon dots for imaging-guided photodynamic therapy[J]. ACS Applied Nano Materials, 2021, 4(10):10528-10533.
[10] WANG Boyang, LU Siyu. The light of carbon dots: from mechanism to applications[J]. Matter, 2022, 5(1):110-149.
[11] LIU Chang, LI Hongying, CHENG Rui, et al. Facile synthesis, high fluorescence and flame retardancy of carbon dots[J]. Journal of Materials Science and Technology, 2021,104,164-170.
[12] GU Weiwen, DONG Zhenfeng, ZHANG Anying, et al. Functionalization of PET with carbon dots as copolymerizable flame retardants for the excellent smoke suppressants and mechanical properties[J]. Polymer Degradation and Stability, 2022.DOI:10.1016/j.polymdegradstab.2021.109766.
[13] 杨柳青. 锡锑基复合材料的结构及光催化性能研究[D]. 西安: 陕西科技大学, 2023:1-176.
YANG Liuqing. Study on the structure and photocatalytic properties of tin-antimony based composites[D]. Xi'an: Shaanxi University of Science and Technology, 2023:1-176.
[14] 黄春艳, 梁家能, 谭登峰, 等. RE-C22/NR复合材料的机械性能和动态力学性能[J]. 化学研究与应用, 2019, 31(9):1660-1666.
HUANG Chunyan, LIANG Jianeng, TAN Dengfeng, et al. Mechanical and dynamic mechanical properties of RE-C22/NR composites[J]. Chemical Research and Application, 2019, 31(9):1660-1666.
[15] 邓尧. 基于氧化石墨烯-纳米银复合材料的抑菌陶瓷膜制备及性能研究[D]. 广州: 华南理工大学, 2013:1-65.
DENG Yao. Preparation and performance study of antibacterial ceramic film based on graphene oxide-silver nanocomposite[D]. Guangzhou: South China University of Technology, 2013:1-65.
[16] 王锐, 刘彦麟, 刘蕴钰, 等. 以聚对苯二甲酸乙二醇酯为前驱体的碳点制备及其应用[J]. 纺织学报, 2022, 43(2):10-18.
WANG Rui, LIU Yanlin, LIU Yunyu, et al. Preparation of carbon dots using polyethylene terephthalate as precursor and its application[J]. Journal of Textile Research, 2022, 43(2):10-18.
[17] 杨冠草. 掺杂石墨烯量子点的制备、荧光发射机制及其在细胞成像中的应用[D]. 南京: 南京师范大学, 2018:1-73.
YANG Guancao. Preparation of doped graphene quantum dots, fluorescence emission mechanism and its application in cell imaging[D]. Nanjing: Nanjing Normal University, 2018:1-73.
[18] 顾伟文, 王文庆, 魏丽菲, 等. 碳点对阻燃聚对苯二甲酸乙二醇酯性能的影响[J]. 纺织学报, 2021, 42(7):1-10.
GU Weiwen, WANG Wenqing, WEI Lifei, et al. Effect of carbon point on the properties of flame-retardant polyethylene terephthalate[J]. Journal of Textile Research, 2021, 42(7):1-10.
[19] 陈培玉. 阻燃用聚酰亚胺纤维混纺纱的开发与工艺研究[D]. 上海: 东华大学, 2015:1-69.
CHEN Peiyu. Development and process research on blended yarn of polyimide fibre for flame retardant[D]. Shanghai: Donghua University, 2015:1-69.
[20] 徐锡威. 可回收热固性环氧树脂的合成、表征及应用[D]. 杭州: 浙江工业大学, 2021:1-86.
XU Xiwei. Synthesis,characterisation and application of recyclable thermosetting epoxy resin[D]. Hangzhou: Zhejiang University of Technology, 2021:1-86.
[21] GU Weiwen, WEI Lifei, MA Tianyi, et al. Carbon dots as smoke suppression agents for the reduction of CO release in combustion and improvement of UV resistance towards phosphorus-containing polyester[J]. European Polymer Journal, 2022. DOI:10.1016/j.eurpolymj.2022.111642.
[22] 薛宝霞, 张铭铄, 杨色, 等. 一种碳点阻燃聚对苯二甲酸乙二醇酯的性能[J]. 高分子材料科学与工程, 2022, 38(7):53-59.
XUE Baoxia, ZHANG Mingshuo, YANG Se, et al. Properties of a carbon point flame retardant polyethylene terephthalate[J]. Polymer Materials Science and Engineering, 2022, 38(7):53-59.
[23] 王圣程, 张云峰, 禄利刚. 阻燃剂对聚氨醋保温材料力学性能的影响[J]. 新型建筑材料, 2018, 45(12):119-121.
WANG Shengcheng, ZHANG Yunfeng, LU Ligang. Effect of flame retardant on mechanical properties of polyurethane insulation materials[J]. New Building Materials, 2018, 45(12):119-121.
[1] WU Yuhang, WEI Jianfei, GU Weiwen, WANG Yuping, ZHANG Anying, WANG Rui. Preparation and properties of flame retardant modified polyethylene terephthalate by in-situ polymerization [J]. Journal of Textile Research, 2024, 45(06): 1-10.
[2] YUAN Ye, ZHANG Anying, WEI Lifei, GAO Jianwei, CHEN Yong, WANG Rui. Synthesis kinetics and properties of phosphorus containing flame retardant polyethylene terephthalate [J]. Journal of Textile Research, 2024, 45(04): 50-58.
[3] YAO Chenxi, WAN Ailan. Thermal and moisture comfort of polybutylene terephthalate/polyethylene terephthalate weft-knitted sports T-shirt fabrics [J]. Journal of Textile Research, 2024, 45(01): 90-98.
[4] XIE Yanxia, ZHANG Weiqiang, XU Yaning, ZHAO Shuhan, YIN Wenxuan, ZHANG Wenqiang, HAN Xu. Migration properties of commercial polyethylene terephthalate staple fiber oligomers and influencing factors thereof [J]. Journal of Textile Research, 2024, 45(01): 65-73.
[5] WEI Jianfei, MA Guocong, ZHANG Anying, WU Yuhang, CUI Xiaoqing, WANG Rui. Preparation of gelatin-based carbon dots by pyrolysis and its applications in flame retardant and anti-counterfeiting [J]. Journal of Textile Research, 2023, 44(12): 106-114.
[6] TAN Jing, SHI Xin, YU Jingchao, CHENG Lisheng, YANG Tao, YANG Weimin. Preparation and electrical conductivity of carbon nanocoating on glass fiber surface by polymer pyrolysis [J]. Journal of Textile Research, 2023, 44(11): 36-44.
[7] ZHANG Wenqi, LI Lili, HU Zexu, WEI Lifei, XIANG Hengxue, ZHU Meifang. Preparation method of and anti-dripping and flame retardant properties of polycaprolactam 6 composite resin based on homotriazine ring structure [J]. Journal of Textile Research, 2023, 44(11): 1-8.
[8] MENG Xin, ZHU Shufang, XU Yingjun, YAN Xu. In-situ electrospun membranes from recycled polyethylene terephthalate for conservation of paper documents [J]. Journal of Textile Research, 2023, 44(09): 20-26.
[9] LIAO Yunzhen, ZHU Ya'nan, GE Mingqiao, SUN Tongming, ZHANG Xinyu. Alcoholysis and product recovery properties of polyethylene terephthalate/ SrAl2O4:Eu2+, Dy3+ hybrid fibers [J]. Journal of Textile Research, 2023, 44(02): 44-54.
[10] PANG Mingke, WANG Shuhua, SHI Sheng, XUE Lizhong, GUO Hong, GAO Chengyong, LU Jianjun, ZHAO Xiaowan, WANG Zihan. Preparation and application of flame retardant waterborne polyurethane by alcoholysis of waste polyethylene terephthalate fiber [J]. Journal of Textile Research, 2023, 44(02): 214-221.
[11] HU Chengye, ZHOU Xinru, FAN Mengjing, HONG Jianhan, LIU Yongkun, HAN Xiao, ZHAO Xiaoman. Preparation and properties of skin-core structure micro/nano fiber composite yarns [J]. Journal of Textile Research, 2022, 43(09): 95-100.
[12] XU Xiaotong, JIANG Zhenlin, ZHENG Qinchao, ZHU Keyu, WANG Chaosheng, KE Fuyou. Effect of thermal conductive structure on non-isothermal crystallization behavior of polyethylene terephthalate [J]. Journal of Textile Research, 2022, 43(03): 44-49.
[13] WANG Rui, LIU Yanlin, LIU Yunyu, GU Weiwen, LIU Ziling, WEI Jianfei. Preparation and application of carbon dots with polyethylene terephthalate as precursor [J]. Journal of Textile Research, 2022, 43(02): 10-18.
[14] JIN Wenjie, CHENG Xianwei, GUAN Jinping, CHEN Guoqiang. Sulfanilamide finishing to polyamide 6 fabrics for flame retardant and anti-dripping performance [J]. Journal of Textile Research, 2022, 43(02): 171-175.
[15] FANG Yinchun, SUN Weihao. Research progress in flame retardant cellulose aerogel [J]. Journal of Textile Research, 2022, 43(01): 43-48.
Viewed
Full text


Abstract

Cited

  Shared   
  Discussed   
No Suggested Reading articles found!