Journal of Textile Research ›› 2025, Vol. 46 ›› Issue (04): 38-46.doi: 10.13475/j.fzxb.20240603001

• Fiber Materials • Previous Articles     Next Articles

Fabrication of braided tube reinforced polypropylene hollow fiber membrane for oil-water separation

LIN Weijia1,2, JI Dawei1,2(), TIAN Xuyong1,2, WANG Chunlei1,2, XUE Haolong1,2, XIAO Changfa1,2   

  1. 1. Fiber Materials Research Center, Shanghai University of Engineering Science, Shanghai 201620, China
    2. School of Textiles and Fashion, Shanghai University of Engineering Science, Shanghai 201620, China
  • Received:2024-06-13 Revised:2024-09-20 Online:2025-04-15 Published:2025-06-11
  • Contact: JI Dawei E-mail:jdw1106@sues.edu.cn

Abstract:

Objective In recent years, with the rapid development of modern industry, the amount of oily wastewater discharged from industrial production and oil spills caused by frequent maritime accidents have become an important source of water pollution, causing catastrophic damage to the environment. Membrane separation technology is an excellent choice for separating oil-water mixture and emulsion due to its high efficiency, low energy consumption and environmental protection. In this research, reinforced hydrophobic PP hollow fiber membranes were prepared using a braided tube reinforcement/thermally induced phase separation coupling method. This study provides a reference for the preparation of PP/GE composites with high performance.

Method A hydrophobic and oleophilic polypropylene (PP) hollow composite fiber membrane with a dual continuous pore structure was prepared by simple blending modification using a combination of braided tube reinforcement and thermally induced phase separation (TIPS) method. The effect of graphene (GE) doping on the morphology, mechanical properties, and permeability of hollow fiber membranes was studied using PP as the film-forming polymer, soybean oil as the diluent, silica (SiO2), and two-dimensional layered structure GE as hydrophobic dopants.

Results A small amount of GE doping was used as a non-homogeneous phase nucleating agent, providing more nucleation sites for the uniformly dispersed GE and making the membrane spherical structure more homogeneous. With increasing GE content, the spherical crystal structure of the membrane became less, and more branch-like structures appeared. With increasing GE content, the membrane demonstrated opposite trend to the above, and the interconnected porous structure got decreased. This is due to the increase in the viscosity of the casting fluid and the deterioration of the fluidity. The introduction of GE into the PP membrane-forming system was demonstrated through infrared and Raman testing. The mechanical properties of PP hollow fiber membranes showed a slight improvement with the doping of G, while the porosity and average pore size were seen to increase and then decrease. GE doping improved the hydrophobic and lipophilic properties of the membrane. In the pure oil flux and oil-water separation test, significant improvement was witnessed. The kerosene flux of the optimal M4 membrane reached 110 L/(m2·h), and the kerosene in water, soybean oil in water, and n-hexane in water emulsion fluxes were 34.8 L/(m2·h), 29.6 L/(m2·h), and 52.3 L/(m2·h), respectively, and the separation efficiency for the three situations was 98.9%, 98.4%, and 98.6%, respectively.

Conclusion In this study, soybean oil was used as a diluent, while SiO2 and two-dimensional layered GE were applied as hydrophobic dopants. TIPS braided tube reinforcement technology was used to successfully prepare PET-braided tube reinforced PP hollow fiber membranes. The effects of different GE contents on membrane morphology, pore size distribution, oil-water separation, and other aspects were studied. The results indicate that the doping of GE can alter the pore structure, hydrophobicity, and permeability of PP hollow fiber membranes. With the increase of GE doping amount, the water contact angle and roughness of the membrane gradually increase, and the average pore size, oil flux, and oil-water separation performance show a trend of first increasing and then decreasing. When the GE doping amount is 0.5%, the prepared M4 film has a water contact angle of 132.4 °, exhibiting excellent hydrophobic and lipophilic properties. The kerosene flux was further measured to be 110 L/(m2·h), and the flux of kerosene in water, soybean oil in water, and n-hexane in water emulsion were 34.8 L/(m2·h), 29.6 L/(m2·h), and 52.3 L/(m2·h), respectively. The separation efficiency was 98.9%, 98.4%, and 98.6%.

Key words: thermal induced phase separation, polypropylene, graphene, reinforced hollow fiber, oil-water separation

CLC Number: 

  • TQ340.6

Fig.1

Preparation process (a) and spinning process (b) of reinforced PP hollow fiber membranes"

Fig.2

Morphologies diagram of reinforced PP hollow fiber membranes with different GE contents. (a) Cross-section overview and interface bonding; (b) Pore structure of separation laye and enlarged view; (c) Surface; (d) Roughness"

Fig.3

FT-IR spectra (a) and Raman spectra (b) of reinforced PP hollow fiber membrane"

Tab.1

Characterization of reinforced PP hollow fiber membranes structure"


编号
外径/
mm
分离层
厚度/μm
平均孔径/
μm
孔隙率/
%
M1 2.05±0.08 43.1±0.85 0.10 35.88±1.32
M2 2.06±0.10 51.8±0.83 0.11 48.41±1.15
M3 2.05±0.09 54.3±0.47 0.12 50.54±1.55
M4 2.06±0.15 55.7±0.78 0.16 53.85±1.48
M5 2.04±0.03 58.1±0.82 0.13 42.88±1.92

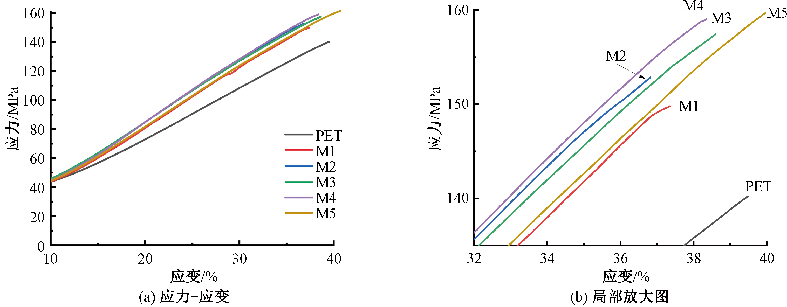
Fig.4

Mechanical property of reinforced PP hollow fiber membranes. (a) Stress-strain curves of PET braided tube; (b) Local enlarged image"

Fig.5

Pore size distribution of PP hollow fiber membrane"

Fig.6

Surface wettability of reinforced PP hollow fiber membranes. (a)Water contact angle; (b)Surface oil immersion; (c)Digital photograph of surface water droplets"

Fig.7

Kerosene flux of reinforced PP hollow fiber membranes"

Fig.8

Schematic diagram of oil-water separation"

Fig.9

Water in oil lotion flux and separation efficiency. (a) Kerosene; (b) Soybean oil; (c) N-hexane"

Fig.10

Comparison of water-in-oil emulsion before and after separation. (a) Kerosene; (b) Soybean oil; (c) N-hexane"

[1] LI X, ZHU Y, ABBASSI R, et al. A probabilistic framework for risk management and emergency decision-making of marine oil spill accidents[J]. Process Safety and Environmental Protection, 2022, 162: 932-943.
[2] LI S, DONG R, MUSTEATA V E, et al. Hydrophobic polyamide nanofilms provide rapid transport for crude oil separation[J]. Science, 2022, 377(6614): 1555-1561.
doi: 10.1126/science.abq0598 pmid: 36173852
[3] SANKARANARAYANAN S, LAKSHMI D S, VIVEKANANDHAN S, et al. Biocarbons as emerging and sustainable hydrophobic/oleophilic sorbent materials for oil/water separation[J]. Sustainable Materials and Technologies, 2021. DOI: 10.1016/j.susmat.2021.e00268.
[4] 王玉周, 周梦洁, 姜圆金, 等. 偕胺肟化聚丙烯腈纳米纤维膜的制备与油水乳液分离性能[J]. 纺织学报, 2023, 44(7): 42-49.
WANG Yuzhou, ZHOU Mengjie, JIANG Yuanjin, et al. Preparation and oil-water emulsion separation performance of amidoximated polyacrylonitrile nanofiber membrane[J]. Journal of Textile Research, 2023, 44(7): 42-49.
[5] ARIONO D, WARDANI A K. Modification and applications of hydrophilic polypropylene membrane[J]. IOP Conference Series: Materials Science and Engineering, 2017. DOI: 10.1088/1757-899X/214/1/012014.
[6] LIU M, LIU S, XU Z, et al. Formation of microporous polymeric membranes via thermally induced phase separation: a review[J]. Frontiers of Chemical Science and Engineering, 2016, 10(1): 57-75.
doi: 10.1007/s11705-016-1561-7
[7] TANG Y H, HE Y D, WANG X L. Effect of adding a second diluent on the membrane formation of polymer/diluent system via thermally induced phase separation: dissipative particle dynamics simulation and its experimental verification[J]. Journal of Membrane Science, 2012, 409/410: 164-172.
[8] YAVE W, QUIJADA R, ULBRICHT M, et al. Syndiotactic polypropylene as potential material for the preparation of porous membranes via thermally induced phase separation (TIPS) process[J]. Polymer, 2005, 46(25): 11582-11590.
[9] YANG S, WU C, JI D, et al. Preparation and characterization of fiber braided tube reinforced polyethylene hollow fiber membranes via thermally induced phase separation[J]. Journal of Environmental Chemical Engineering, 2023. DOI. 10.1016/j.jece.2023.109375.
[10] FENG H, JI D, ZHANG X, et al. Preparation of high-flux polyethylene hollow fiber microfiltration membranes with multiple pore structure through the combination technology of braided tube reinforcement and TIPS method[J]. Separation and Purification Technology, 2024. DOI. 10.1016/j.seppur.2024.127335.
[11] REN Y, YU F, LI X G, et al. Recent progress on adsorption and membrane separation for organic contaminants on multi-dimensional graphene[J]. Materials Today Chemistry, 2021, DOI. 10.1016/j.mtchem.2021.100603.
[12] ZHANG T, XIAO C, ZHAO J, et al. One-step facile fabrication of PVDF/graphene composite nanofibrous membrane with enhanced oil affinity for highly efficient gravity-driven emulsified oil/water separation and selective oil absorption[J]. Separation and Purification Technology, 2021. DOI:/10.1016/j.seppur.2020.117576.
[13] JI D, GAO Y, WANG W, et al. Green preparation of PVDF hollow fiber membranes with multiple pore structure via melt spinning method for oil/water separation[J]. Journal of Environmental Chemical Engineering, 2022. DOI: 10.1016/j.jece.2022.108337.
[14] RAJABZADEH S, MARUYAMA T, OHMUKAI Y, et al. Preparation of PVDF/PMMA blend hollow fiber membrane via thermally induced phase separa-tion (TIPS) method[J]. Separation and Purification Technology, 2009, 66(1): 76-83.
[15] HUANG C L, LOU C W, LIU C F, et al. Polypropylene/graphene and polypropylene/carbon fiber conductive composites: mechanical, crystallization and electromagnetic properties[J]. Applied Sciences, 2015, 5(4): 1196-1210.
[16] MATSUYAMA H, YUASA M, KITAMURA Y, et al. Structure control of anisotropic and asymmetric polypropylene membrane prepared by thermally induced phase separation[J]. Journal of Membrane Science, 2000, 179(1): 91-100.
[17] ZHU X, YAN D, FANG Y. In Situ FTIR Spectroscopic Study of the conformational change of isotactic polypropylene during the crystallization process[J]. The Journal of Physical Chemistry B, 2001, 105(50): 12461-12463.
[18] SUN F, LI T T, ZHANG X, et al. In situ growth polydopamine decorated polypropylen melt-blown membrane for highly efficient oil/water separation[J]. Chemosphere, 2020. DOI:10.1016/j.chemosphere.2020.126873.
[19] LI J, DING H, ZHANG H, et al. Superhydrophobic methylated silica sol for effective oil-water sepa-ration[J]. Materials, 2020. DOI:10.3390/ma13040842.
[20] ZHANG J, WANG L, ZHANG C, et al. MnO-mineralized oxidized-polypropylene membranes for highly efficient oil/water separationx[J]. Separation and Purification Technology, 2021. DOI:10.1016/j.seppur.2021.119343.
[21] LI Z, DENG L, KINLOCH I A, et al. Raman spectroscopy of carbon materials and their composites: Graphene, nanotubes and fibres[J]. Progress in Materials Science, 2023. DOI: 10.1016/j.pmatsci.2023.101089.
[22] HAVENER R W, ZHUANG H, BROWN L, et al. Angle-resolved raman imaging of interlayer rotations and interactions in twisted bilayer graphene[J]. Nano Letters, 2012, 12(6): 3162-3167.
doi: 10.1021/nl301137k pmid: 22612855
[23] MATSUYAMA H, MAKI T, TERAMOTO M, et al. Effect of polypropylene molecular weight on porous membrane formation by thermally induced phase separation[J]. Journal of Membrane Science, 2002, 204(1): 323-328.
[24] WANG F, ZHAO Y, WANG X, et al. Preparation and evaluation of iPP/GO microfiltration membrane with enhanced antifouling property[J]. Chemical Research in Chinese Universities, 2018, 34(5): 833-838.
[25] ZHOU B, TANG Y, LI Q, et al. Preparation of polypropylene microfiltration membranes via thermally induced (solid-liquid or liquid-liquid) phase separation method[J]. Journal of Applied Polymer Science, 2015. DOI:10.1002/app.42490.
[26] KIM E, KIM D, KWAK K, et al. Wettability of graphene, water contact angle, and interfacial water structure[J]. Chem, 2022, 8(5): 1187-1200.
[27] LI N, XIAO C, AN S, et al. Preparation and properties of PVDF/PVA hollow fiber membranes[J]. Desalination, 2010, 250(2): 530-537.
[1] ZHAO Deng, ZHANG Yi, ZHENG Mengjie, BI Shuguang, RAN Jianhua. Vision-near-infrared light stealth nylon fabric based on liquid phase stripping graphene [J]. Journal of Textile Research, 2025, 46(02): 153-160.
[2] WANG Rongrong, ZHOU Zhou, FENG Xiang, SHEN Ying, LIU Feng, XING Jian. Preparation and properties of porous sound absorption materials made from polyester/ethylene-propylene fibers [J]. Journal of Textile Research, 2025, 46(02): 61-68.
[3] ZUO Hongmei, GAO Min, RUAN Fangtao, ZOU Lihua, XU Zhenzhen. Preparation and mechanical properties of MXene-graphene oxide modified carbon fiber/polylactic acid composites [J]. Journal of Textile Research, 2025, 46(01): 9-15.
[4] LIU Yanbo, GAO Xinyu, HAO Ming, HU Xiaodong, YANG Bo. Composite fiber felts based on photothermal modification and their application in high viscosity oil adsorption [J]. Journal of Textile Research, 2024, 45(11): 55-64.
[5] ZHANG Rui, YING Di, CHEN Bingbing, TIAN Xin, ZHENG Yingying, WANG Jian, ZOU Zhuanyong. Preparation and properties of carbon nanotube modified three-dimensional fiber-mesh nonwoven sensors [J]. Journal of Textile Research, 2024, 45(11): 46-54.
[6] YU Ping, WANG Haiyue, WANG Yi, SUN Qinchao, WANG Yan, HU Zuming. Hydrophobic modification and mechanism of polyester fabrics with direct fluorine modification [J]. Journal of Textile Research, 2024, 45(10): 137-144.
[7] YANG Shuo, ZHAO Pengju, CHENG Chunzu, LI Chenyang, CHENG Bowen. Preparation of composite fiber membranes with asymmetric wettability and oil-water separation performance [J]. Journal of Textile Research, 2024, 45(08): 10-17.
[8] WU Fan, LIANG Fengyu, XIAO Yiting, YANG Zhibo, WANG Wenting, FAN Wei. Preparation and properties of poly(3,4-ethylene supported dioxythiophene)/polystyrene sulfonic acid based composite conductive fibers [J]. Journal of Textile Research, 2024, 45(08): 99-106.
[9] ZHANG Shiyu, YAO Yiting, DONG Chenshan, ZHANG Ruquan, YANG Hongjun, GU Shaojin, HUANG Jingjing, DU Jiehao. Metal-organic frameworks/polypropylene fiber-based composite for rapid degradation of chemical warfare agent simulants [J]. Journal of Textile Research, 2024, 45(06): 134-141.
[10] CHEN Kun, XU Jingying, ZHENG Yiqian, LI Jialin, HONG Xinghua. Conductivity and electrical heating properties of reduced graphene oxide modified silk fabric by screen printing [J]. Journal of Textile Research, 2024, 45(03): 122-128.
[11] CHEN Rongxuan, SUN Hui, YU Bin. Preparation and photocatalytic properties of N-TiO2/ polypropylene melt-blown nonwovens [J]. Journal of Textile Research, 2024, 45(03): 137-147.
[12] XIAO Hao, SUN Hui, YU Bin, ZHU Xiangxiang, YANG Xiaodong. Preparation of chitosan-SiO2 aerogel/cellulose/polypropylene composite spunlaced nonwovens and adsorption dye performance [J]. Journal of Textile Research, 2024, 45(02): 179-188.
[13] YAN Pengxiang, CHEN Fuxing, LIU Hong, TIAN Mingwei. Preparation of flexible force-sensing electronic textiles and construction of human motion monitoring system [J]. Journal of Textile Research, 2024, 45(02): 59-66.
[14] LIU Jinxin, ZHOU Yuxuan, ZHU Borong, WU Haibo, ZHANG Keqin. Properties and filtration mechanism of thermal bonding polyethylene/polypropylene bicomponent spunbond nonwovens [J]. Journal of Textile Research, 2024, 45(01): 23-29.
[15] GU Jinjun, WEI Chunyan, GUO Ziyang, LÜ Lihua, BAI Jin, ZHAO Hanghuiyan. Preparation and performonce of cotton stalk bast microcrystalline cellulose/modified graphene oxide composite flame-retardant fiber [J]. Journal of Textile Research, 2024, 45(01): 39-47.
Viewed
Full text


Abstract

Cited

  Shared   
  Discussed   
No Suggested Reading articles found!