纺织学报 ›› 2019, Vol. 40 ›› Issue (01): 91-96.doi: 10.13475/j.fzxb.20180201206

• 染整与化学品 • 上一篇    下一篇

铜配合物在棉针织物低温中性漂白中的应用

吴臣仁, 吕汪洋(), 陈文兴   

  1. 浙江理工大学 纺织纤维材料与加工技术国家地方联合工程实验室, 浙江 杭州 310018
  • 收稿日期:2018-02-15 修回日期:2018-08-08 出版日期:2019-01-15 发布日期:2019-01-18
  • 通讯作者: 吕汪洋
  • 作者简介:吴臣仁(1993—),男,硕士生。主要研究方向为棉针织物的低温前处理。
  • 基金资助:
    国家重点研发计划项目(2017YFB0309700)

Application of copper complex in low-temperature neutral bleaching of cotton knitted fabrics

WU Chenren, LÜ Wangyang(), CHEN Wenxing   

  1. National Engineering Laboratory for Textile Fiber Materials & Processing Technology, Zhejiang Sci-Tech University, Hangzhou, Zhejiang 310018, China
  • Received:2018-02-15 Revised:2018-08-08 Online:2019-01-15 Published:2019-01-18
  • Contact: Lü Wangyang

摘要:

针对传统棉织物高温漂白过程中能耗过高的问题,采用含亚氨基二乙酸、二价铜离子和吡啶衍生物的铜配合物作为双氧水低温漂白的催化剂,构建棉针织物的新型低温漂白体系。探讨了温度、配合物浓度、漂白时间、烧碱质量浓度、双氧水质量浓度等因素对棉针织物漂白效果的影响,同时研究了木质素模型化合物对香豆酸的降解过程,进而推测出该铜配合物催化剂催化漂白棉针织物的机制。通过单因素试验,得到优化漂白工艺:金属配合物浓度为30 μmol/L, H2O2(30%)质量浓度为10 g/L,渗透剂JFC质量浓度为2 g/L,精练剂质量浓度为2 g/L,浴比为1∶30,60 ℃条件下处理60 min。结果表明,在不含碱的中性条件下,经过处理织物白度可达75.03%,且顶破强力损失较小。

关键词: 金属配合物, 双氧水, 低温漂白, 棉针织物

Abstract:

For the excessive energy consumption in the conventional high temperature bleaching processes of cotton fabrics, a copper complex with iminodiacetic acid, bivalent copper ions and pyridine derivatives was used as the catalyst for hydrogen peroxide low temperature bleaching to construct a novel low temperature cotton knitted fabric bleaching system. The effects of temperature, concentration of complex, bleaching time, mass concentration of sodium hydroxide and concentration of hydrogen peroxide mass of on bleaching effect of cotton knitted fabric were discussed. At the same time, the degradation process of p-coumaric acid as the model compound of lignin was studied and the mechanism of catalytic bleaching of cotton knitted fabric in the presence of copper complex catalyst was proposed. By single factor test, the final optimized bleaching process was determined as follows: metal complex of 30 μmol/L, 30% H2O2 of 10 g/L, penetrant agent of 2 g/L, scouring agent of 2 g/L, liquor ratio of 1∶30, and bleaching at 60 ℃ for 60 min. Under the neutral condition, the whiteness of the treated fabric can reach 75.03%, and the bursting strength loss is smaller.

Key words: metal complex, hydrogen peroxide, low-temperature bleaching, cotton knitted fabric

中图分类号: 

  • TS192.5

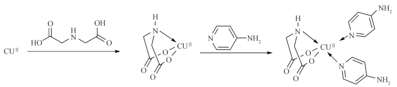
图1

金属配合物的合成路线"

表1

氢氧化钠质量浓度对织物白度的影响"

氢氧化钠质量
浓度/(g·L-1)
CIE白度/% 氢氧化钠质量
浓度/(g·L-1)
CIE白度/%
0 75.73 3 70.94
1 69.17 4 71.08
2 70.88

图2

双氧水质量浓度对织物白度的影响"

图3

配合物浓度对织物白度的影响"

图4

漂白温度对织物白度的影响"

图5

漂白时间对织物白度的影响"

表2

低温漂白实验结果"

试样 CIE白度/% 润湿性/s 顶破强力/N
精练布 25.21 小于1.0 342.22
对照组试样 31.03 小于1.0 310.14
低温优化工艺试样 75.03 小于1.0 302.48

图6

配合物催化去除对香豆酸的效果"

图7

金属配合物及其活性种的高分辨质谱分析"

图8

IDA/Cu(II)/4-ampy配合物的催化机制"

[1] 刘梦杰. 纯棉织物低温氧漂助剂及其工艺研究[D]. 上海:东华大学, 2015: 1-20.
LIU Mengjie. Low-temperture oxidation bleaching auxiliaries and processing technology of pure cotton fabric[D]. Shanghai: Donghua University, 2015: 1-20.
[2] 杨栋梁, 王焕祥. 活化双氧水漂白体系新技术的近况:一[J]. 印染, 2007,33(2):44-48.
YANG Dongliang, WANG Huanxiang. Current situation of activated system of hydrogen peroxide bleaching:I[J]. China Dyeing & Finishing, 2007,33(2):44-48.
[3] 陈荣圻. 开发节能型氧漂活化剂[J]. 染整技术, 2008,30(10):1-6.
CHEN Rongqi. Development of energy saying oxygen bleaching activators[J]. Textile Dyeing and Finishing Journal, 2008,30(10):1-6.
[4] SHAO J Z, HUANG Y, WANG Z H, et al. Cold pad-batch bleaching of cotton fabrics with a TAED/H2O2 activating system[J]. Coloration Technology, 2010,126(2):103-108.
doi: 10.1111/(ISSN)1478-4408
[5] 崔双双, 张艳, 高加勇, 等. 棉织物低温氧漂活化剂的制备[J]. 纺织学报, 2016,37(7):88-92.
CUI Shuangshuang, ZHANG Yan, GAO Jiayong, et al. Synjournal of peroxide activator for low-temperature bleaching of cotton fabric[J]. Journal of Textile Research, 2016,37(7):88-92.
[6] 秦新波, 宋敏, 尹冲, 等. 金属配合物的合成及其在低温漂白中的应用[J]. 纺织学报, 2012,33(11):72-76.
QIN Xinbo, SONG Min, YIN Chong, et al. Synjournal of metal complex and its application in low temperature bleaching[J]. Journal of Textile Research, 2012,33(11):72-76.
[7] 任参, 宋敏, 张琳萍, 等. 金属酞菁配合物在催化双氧水漂白棉型织物中的应用[J]. 纺织学报, 2012,33(1):81-86.
REN Can, SONG Min, ZHANG Linping, et al. Application of metal phthalocyanine complex to hydrogen peroxide bleaching of cotton fabrics[J]. Journal of Textile Research, 2012,33(1):81-86.
[8] SOROKIN A B. Phthalocyanine metal complexes in catalysis[J]. Chemical Reviews, 2013,113(10):8152-8191.
pmid: 23782107
[9] LIM C L, MORAD N, TENG T T, et al. Treatment of Terasil Red R dye wastewater using H2O2/pyridine/Cu(II) system[J]. Journal of Hazardous Materials, 2009,168(1):383-389.
doi: 10.1016/j.jhazmat.2009.02.061 pmid: 19303709
[10] 秦新波, 尹冲, 宋敏, 等. 双核锰配合物在低温漂白中的活化作用[J]. 印染, 2011,37(21):1-5.
QIN Xinbo, YIN Chong, SONG Min, et al. Activation of binuclear manganese complex in low temperature bleaching[J]. China Dyeing & Finishing, 2011,37(21):1-5.
[11] 黄益, 李思琪, 阮斐斐, 等. 卟啉铁/双氧水体系在棉织物低温催化漂白中的应用[J]. 纺织学报, 2018,39(6):75-80.
HUANG Yi, LI Siqi, RUAN Feifei, et al. Application of porphyrin iron/H2O2 system in low temperature bleaching of cotton fabrics[J]. Journal of Textile Research, 2018,39(6):75-80.
[12] 尹冲, 黄瑜婷, 鲁玉洁, 等. 铜配合物在低温催化漂白棉针织物中的应用[J]. 印染, 2014,40(6):6-10.
YIN Chong, HUANG Yuting, LU Yujie, et al. Application of copper complex to catalytic bleaching of cotton knits at low temperature[J]. China Dyeing & Finishing, 2014,40(6):6-10.
[13] WANG X Y, TANG J L. An evaluation of the effectiveness of applying a gelatin-copper complex in the low-temperature bleaching of cotton with hydrogen peroxide[J]. Coloration Technology, 2017,133:300-304.
doi: 10.1111/cote.2017.133.issue-4
[14] WANG Y Y, XIA H C, SUN K, et al. Insights into the generation of high-valent copper-oxo species in ligand-modulated catalytic system for oxidizing organic pollutants[J]. Chemical Engineering Journal, 2016,304:1000-1008.
doi: 10.1016/j.cej.2016.07.007
[15] LI N, LU W Y, PEI K M, et al. Formation of high-valent cobalt-oxo phthalocyanine species in a cellulose matrix for eliminating organic pollutants[J]. Applied Catalysis B: Environmental, 2015,163:105-112.
doi: 10.1016/j.apcatb.2014.07.056
[1] 尉腾祥, 李敏, 彭虹云, 付少海. 纬平针棉针织物平幅丝光条件与其线圈结构的关系[J]. 纺织学报, 2020, 41(04): 98-105.
[2] 尉腾祥, 李敏, 彭虹云, 付少海. 纬平棉针织物双向拉伸线圈形态分析[J]. 纺织学报, 2019, 40(11): 64-68.
[3] 何青青, 徐红, 毛志平, 张琳萍, 钟毅, 吕景春. 高导电性聚吡咯涂层织物的制备[J]. 纺织学报, 2019, 40(10): 113-119.
[4] 张悦, 胡丹玲, 任金娜, 李青. 棉织物低温近中性一浴一步法练漂 [J]. 纺织学报, 2019, 40(09): 83-90.
[5] 张帆 张儒 周文常 周辉 汪南方. 金属铜配合物催化双氧水用于棉针织物的低温漂白[J]. 纺织学报, 2019, 40(08): 101-108.
[6] 陶开鑫 俞成丙 侯颀骜 吴聪杰 刘引烽. 基于最小二乘支持向量机的棉针织物活性染料湿蒸染色预测模型[J]. 纺织学报, 2019, 40(07): 169-173.
[7] 黄益 李思琪 阮斐斐 李博 邵建中. 卟啉铁/双氧水体系在棉织物低温催化漂白中的应用[J]. 纺织学报, 2018, 39(06): 75-80.
[8] 崔双双 张艳 高加勇 蒋谨繁 左梦迪 阚璇 许长海. 棉织物低温氧漂活化剂的制备[J]. 纺织学报, 2016, 37(07): 88-92.
[9] 赵文杰 张晓云 钟毅 徐红 毛志平. 棉针织物的冷轧堆前处理与染色[J]. 纺织学报, 2016, 37(06): 76-82.
[10] 余卫华 陈祥平 郑 丹 江绍刚. 双氧水预处理对半脱胶丝/棉交织物活性染料同色性染色的影响[J]. 纺织学报, 2013, 34(12): 85-0.
[11] 秦新波 宋敏 尹冲 吴茜 钟毅 张琳萍 徐红 毛志平. 金属配合物的合成及其在低温漂白中的应用[J]. 纺织学报, 2012, 33(11): 72-76.
[12] 任参, 宋敏, 张琳萍, 毛志平. 金属酞菁配合物在催化双氧水漂白棉型织物中的应用[J]. 纺织学报, 2012, 33(1): 81-86.
[13] 靳贺玲;张玉萍. 碱性果胶酶精练棉针织物表面红外光谱分析[J]. 纺织学报, 2010, 31(1): 81-84.
[14] 罗勇;王璐;张新龙;贾舜华;周启澄;胡晓峰;越国瑛. 基于H2O2氧化青黛染色新方法[J]. 纺织学报, 2009, 30(08): 92-96.
[15] 吴辉.;钱国坻;华兆哲.;阎贺静.;张朝晖;堵国成.;陈坚.. 新型碱性果胶酶用于棉针织物精练的工艺优化[J]. 纺织学报, 2008, 29(5): 59-63.
Viewed
Full text


Abstract

Cited

  Shared   
  Discussed   
No Suggested Reading articles found!