纺织学报 ›› 2019, Vol. 40 ›› Issue (8): 101-108.doi: 10.13475/j.fzxb.20180401208

• 染整与化学品 • 上一篇    下一篇

金属铜配合物催化双氧水用于棉针织物的低温漂白

张帆1, 张儒1, 周文常1, 周辉2, 汪南方1()   

  1. 1.湖南工程学院 环境催化与废弃物再生化湖南省重点实验室, 湖南 湘潭 411104
    2.广东溢达纺织有限公司, 广东 高明 528500
  • 收稿日期:2018-04-04 修回日期:2019-04-18 出版日期:2019-08-15 发布日期:2019-08-16
  • 通讯作者: 汪南方
  • 作者简介:张帆(1981—),男,讲师,博士。主要研究方向为功能性轻化工助剂。
  • 基金资助:
    国家自然科学基金项目(81874332);湖南省高校重点实验室创新平台开放基金项目(17K026)

Low-temperature bleaching of cotton knitted fabrics using hydrogen peroxide in presence of copper complex catalysts

ZHANG Fan1, ZHANG Ru1, ZHOU Wenchang1, ZHOU Hui2, WANG Nanfang1()   

  1. 1. Hunan Provincial Key Laboratory of Environmental Catalysis & Waste Recycling, Hunan Institute of Engineering, Xiangtan, Hunan 411104, China;
    2. Esquel Group, Gaoming, Guangdong 528500, China
  • Received:2018-04-04 Revised:2019-04-18 Online:2019-08-15 Published:2019-08-16
  • Contact: WANG Nanfang

摘要:

为解决传统高温练漂中棉针织物加工过程能耗高、纤维损伤大的问题,以N,N'-双(3-氨丙基)乙二胺和三(2-氨基乙基)胺分别和水杨醛反应生成席夫碱配体M和N,然后与铜盐反应制备金属铜配合物CuM和CuN用于棉织物低温漂白加工。借助红外光谱仪和核磁共振仪表征金属配合物的化学结构,研究CuM和CuN对双氧水的催化分解特性以及铜配合物-双氧水低温漂白工艺因素对织物白度的影响,并对比探讨了低温漂白与传统高温漂白工艺。结果表明:CuM和CuN催化双氧水(H2O2)分解反应级数为1,分解速率常数分别为0.055、0.042 min -1,远大于空白体系;采用CuN-H2O2体系在70 ℃漂白的棉织物白度为80.0%,与传统工艺相当,毛效和强力保留率优于传统工艺。

关键词: 铜配合物, 催化分解, 低温漂白, 棉针织物, 双氧水

Abstract:

In order to overcome the shortcomings of high energy consumption and great damage on cotton knitted fabrics in the conventional high-temperature bleaching, copper complex CuM and CuN for the cotton fabric low-temperature bleaching process were prepared by reacting N,N'-bis(3-aminopropyl)ethylenediamine and tris(aminoethyl)amine with salicylaldehyde, respectively to produce Schiff base ligands M and N, and reacting with copper salt. The compounds were characterized by infrared spectrometer and nuclear magnetic resonance spectrometer. The influence of CuM and CuN on catalytic decomposition characteristics of hydrogen peroxide and the copper complex-hydrogen peroxide low temperature bleaching process factors on the fabric whiteness were studied. The comparison experiments between low-temperature and conventional bleaching processes were carried out. The order of H2O2 decomposition reaction is one and their kinetics of CuM and CuN are 0.055 and 0.042 min -1, respectively, much higher than that of the pristine. The whiteness of cotton fabrics bleached by CuN-H2O2 system is 80.0% comparable with the conventional process, and the former capillary and strength retention are superior to the later.

Key words: copper complex, catalytic decomposition, low-temperature bleaching, cotton knitted fabric, hydrogen peroxide

中图分类号: 

  • TS195.5

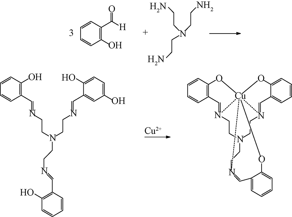
图1

金属配合物CuM的合成路线"

图2

金属配合物CuN的合成路线"

图3

M的核磁共振氢谱图"

图4

M和CuM的红外光谱图"

图5

N的核磁共振氢谱图"

图6

N和CuN的红外光谱图"

图7

CuM和CuN催化双氧水浓度与时间关系"

表1

双氧水的分解速率常数及半衰期"

体系 拟合方程 R2 速率常数k/min-1 半衰期 τ/min
空白 Y=4.304 + 4.08×10-4X 0.946 4.08×10-4 1 698.89
CuN Y=4.461 + 0.055X 0.956 5.50×10-2 12.60
CuM Y=4.507 + 0.042X 0.951 4.20×10-2 16.50

图9

不同漂白温度时织物白度与时间的关系"

图8

不同漂白温度下织物的白度"

图10

催化剂质量浓度与织物白度的关系"

图11

精练剂质量浓度与织物白度的关系"

图12

双氧水质量浓度与织物白度的关系"

表2

不同漂白工艺体系处理纯棉织物的效果比较"

试样 白度/% 毛效(30 min)/cm 强力/N 强力保留率/%
练漂前 45.0 3.0 390.1
CuM 76.8 13.0 366.5 93.97
CuN 80.0 16.0 368.0 94.36
空白工艺 72.9 8.6 370.2 94.87
传统工艺 81.0 10.0 358.8 92.00
[1] 徐顺成 . 针织物染整工艺的现状及发展趋势[J]. 纺织导报, 2008(3): 74-76, 78, 80.
XU Shuncheng . Status-quo and developing trend of dyeing & finishing process of knitted fabrics [J]. China Textile Leader, 2008(3): 74-76, 78, 80.
[2] LIU S Q, CHEN Z Y, SUN J P , et al. Ecofriendly pretreatment of grey cotton fabric with enzymes in supercritical carbon dioxide fluid[J]. Journal of Cleaner Production, 2016,120:85-94.
[3] 崔双双, 张艳, 高加勇 , 等. 棉织物低温氧漂活化剂的制备[J]. 纺织学报, 2016,37(7):88-92.
CUI Shuangshuang, ZHANG Yan, GAO Jiayong , et al. Synjournal of peroxide activator for low-temperature bleaching of cotton fabric[J]. Journal of Textile Research, 2016,37(7):88-92.
[4] 周辉, 钟祥, 汪南方 , 等. 金属铜配合物在纯棉毛巾低温氧漂中的应用[J]. 印染, 2016,42(10):20-23.
ZHOU Hui, ZHONG Xiang, WANG Nanfang , et al. Application of copper complex to low temperature oxygen bleaching of cotton towel[J]. China Dyeing & Finishing, 2016,42(10):20-23.
[5] 田斌, 汪南方, 翦育林 , 等. 低温助漂剂在棉双氧水漂白中的应用[J]. 印染, 2015,41(16):20-23.
TIAN Bin, WANG Nanfang, JIAN Yulin , et al. Application of low temperature activators to hydrogen peroxide bleaching of cotton fabrics[J]. China Dyeing & Finishing, 2015,41(16):20-23.
[6] SI F, YAN K L, ZHANG X . Study on H2O2/TAED and H2O2/TBCC bleaching mechanism related to hydroxyl radical with a fluorescent probe[J]. Carbohydrate Polymers, 2014,103:581-586.
pmid: 24528769
[7] 刘海涛 . FMEE/NOBS练漂体系在医用脱脂纱布冷堆中的应用[J]. 染整技术, 2015,37(5):36-39.
LIU Haitao . Applications of FMEE and NOBS scouring and bleaching system in cold pad batch process of absorbent carbasus[J]. Textile Dyeing and Finishing Journal, 2015,37(5):36-39.
[8] PENG M H, WU S Y, DU J M , et al. Establishing a rapid pad-steam process for bleaching of cotton fabric with an activated peroxide system[J]. ACS Sustainable Chemistry & Engineering, 2018,6(7):8599-8603.
[9] LIU K, YAN K L, SUN G . Mechanism of H2O2/bleach activators and related factors[J]. Cellulose, 2019,26(4):2743-2757.
[10] 赵文杰, 张晓云, 钟毅 , 等. 棉针织物的冷轧堆前处理与染色[J]. 纺织学报, 2016,37(6):76-82.
ZHAO Wenjie, ZHANG Xiaoyun, ZHONG Yi , et al. Cold pad-batch pretreatment and dyeing of cotton knits[J]. Journal of Textile Research, 2016,37(6):76-82.
[11] 吴臣仁, 吕汪洋, 陈文兴 . 铜配合物在棉针织物低温中性漂白中的应用[J]. 纺织学报, 2019,40(1):91-96.
WU Chenren, LÜ Wangyang, CHEN Wenxing . Application of copper complex in low-temperature neutral bleaching of cotton knitted fabrics[J]. Journal of Textile Research, 2019,40(1):91-96.
[12] 任参, 宋敏, 张琳萍 , 等. 金属酞菁配合物在催化双氧水漂白棉型织物中的应用[J]. 纺织学报, 2012,33(1):81-86.
REN Can, SONG Min, ZHANG Linping , et al. Application of metal phthalocyanine complex to hydrogen peroxide bleaching of cotton fabrics[J]. Journal of Textile Research, 2012,33(1):81-86.
[13] 黄益, 李思琪, 阮斐斐 , 等. 卟啉铁/双氧水体系在棉织物低温催化漂白中的应用[J]. 纺织学报, 2018,39(6):75-80.
HUANG Yi, LI Siqi, RUAN Feifei , et al. Application of porphyrin iron/H2O2 system in low temperature bleaching of cotton fabrics[J]. Journal of Textile Research, 2018,39(6):75-80.
[14] 秦新波, 宋敏, 尹冲 , 等. 金属配合物的合成及其在低温漂白中的应用[J]. 纺织学报, 2012,33(11):72-76,85.
QIN Xinbo, SONG Min, YIN Chong , et al. Synjournal of metal complex and its application in low temperature bleaching[J]. Journal of Textile Research, 2012,33(11):72-76,85.
[15] 袁淑军 . 一种Schiff碱铜配合物对双氧水漂白的催化作用[J]. 盐城工学院学报(自然科学版), 2009,22(4):6-8.
YUAN Shujun . The catalysis of a schiff base copper complex for the bleaching of hydrogen dioxide[J]. Journal of Yancheng Institute of Technology (Natural Science Edition), 2009,22(4):6-8.
[16] 张海希, 周向东 . 双核希夫碱金属锰仿酶配合物的合成及其应用[J]. 印染助剂, 2016,33(11):18-22.
ZHANG Haixi, ZHOU Xiangdong . Synjournal and application of dual core Schiff base metal manganese like enzyme complex[J]. Textile Auxiliaries, 2016,33(11):18-22.
[17] 高俊, 王雪燕 . 金属配合物对双氧水分解速率及漂白速率的影响研究[J]. 染整技术, 2017,39(2):10-14.
GAO Jun, WANG Xueyan . Impact study of metal complexes on the decomposition rate and bleaching rate of hydrogen peroxide[J]. Textile Dyeing and Finishing Journal, 2017,39(2):10-14.
[18] 唐俊玲, 王雪燕 . 阳离子明胶蛋白助剂对双氧水分解率的影响[J]. 染整技术, 2016,38(3):51-55.
TANG Junling, WANG Xueyan . Effect of cationic gelatin protein on hydrogen peroxide decomposition rate[J]. Textile Dyeing and Finishing Journal, 2016,38(3):51-55.
[19] 阎克路 . 染整工艺与原理:上册[M]. 北京: 中国纺织出版社, 2009: 69.
YAN Kelu. The Principle of Dyeing and Finishing Technology: I [M]. Beijing: China Textile & Apparel Press, 2009: 69.
[20] TOPALOVIC T, NIERSTRASZ V, WARMOESKERKEN M C G . Model system for mechanistic study of catalytic bleaching of cotton[J]. Fibers and Polymers, 2010,11(1):72-78.
[1] 尉腾祥, 李敏, 彭虹云, 付少海. 纬平针棉针织物平幅丝光条件与其线圈结构的关系[J]. 纺织学报, 2020, 41(04): 98-105.
[2] 尉腾祥, 李敏, 彭虹云, 付少海. 纬平棉针织物双向拉伸线圈形态分析[J]. 纺织学报, 2019, 40(11): 64-68.
[3] 何青青, 徐红, 毛志平, 张琳萍, 钟毅, 吕景春. 高导电性聚吡咯涂层织物的制备[J]. 纺织学报, 2019, 40(10): 113-119.
[4] 张悦, 胡丹玲, 任金娜, 李青. 棉织物低温近中性一浴一步法练漂[J]. 纺织学报, 2019, 40(09): 83-90.
[5] 陶开鑫, 俞成丙, 侯颀骜, 吴聪杰, 刘引烽. 基于最小二乘支持向量机的棉针织物活性染料湿蒸染色预测模型[J]. 纺织学报, 2019, 40(07): 169-173.
[6] 吴臣仁, 吕汪洋, 陈文兴. 铜配合物在棉针织物低温中性漂白中的应用[J]. 纺织学报, 2019, 40(01): 91-96.
[7] 黄益 李思琪 阮斐斐 李博 邵建中. 卟啉铁/双氧水体系在棉织物低温催化漂白中的应用[J]. 纺织学报, 2018, 39(06): 75-80.
[8] 崔双双 张艳 高加勇 蒋谨繁 左梦迪 阚璇 许长海. 棉织物低温氧漂活化剂的制备[J]. 纺织学报, 2016, 37(07): 88-92.
[9] 赵文杰 张晓云 钟毅 徐红 毛志平. 棉针织物的冷轧堆前处理与染色[J]. 纺织学报, 2016, 37(06): 76-82.
[10] 余卫华 陈祥平 郑 丹 江绍刚. 双氧水预处理对半脱胶丝/棉交织物活性染料同色性染色的影响[J]. 纺织学报, 2013, 34(12): 85-0.
[11] 秦新波 宋敏 尹冲 吴茜 钟毅 张琳萍 徐红 毛志平. 金属配合物的合成及其在低温漂白中的应用[J]. 纺织学报, 2012, 33(11): 72-76.
[12] 任参, 宋敏, 张琳萍, 毛志平. 金属酞菁配合物在催化双氧水漂白棉型织物中的应用[J]. 纺织学报, 2012, 33(1): 81-86.
[13] 靳贺玲;张玉萍. 碱性果胶酶精练棉针织物表面红外光谱分析[J]. 纺织学报, 2010, 31(1): 81-84.
[14] 罗勇;王璐;张新龙;贾舜华;周启澄;胡晓峰;越国瑛. 基于H2O2氧化青黛染色新方法[J]. 纺织学报, 2009, 30(08): 92-96.
[15] 吴辉.;钱国坻;华兆哲.;阎贺静.;张朝晖;堵国成.;陈坚.. 新型碱性果胶酶用于棉针织物精练的工艺优化[J]. 纺织学报, 2008, 29(5): 59-63.
Viewed
Full text


Abstract

Cited

  Shared   
  Discussed   
[1] 钱坤;顾晓良;祝志峰. 电解质对淀粉和PVA浆料粘着性能的影响[J]. 纺织学报, 2004, 25(05): 54 -56 .
[2] 胡觉亮. 基于贝叶斯方法的织物分类研究[J]. 纺织学报, 2004, 25(01): 48 -49 .
[3] 吉苏玉. 涤纶混纺织物弹性与褶裥性能试验[J]. 纺织学报, 1983, 4(10): 45 -46 .
[4] 楼万木. 改进袜机传动机构的探讨[J]. 纺织学报, 1983, 4(10): 47 -49 .
[5] 黄晨;丽韩;兆芳;银地. 丝胶浸渍棉质非织造地膜的制备与表征[J]. 纺织学报, 2007, 28(11): 52 -55 .
[6] 许云辉;林红;陈宇岳. 选择性氧化棉纤维的聚集态结构[J]. 纺织学报, 2006, 27(11): 1 -5 .
[7] 潘寿民. 台车弯纱轮啮合分析与工艺计算[J]. 纺织学报, 1986, 7(06): 34 -38 .
[8] 张森林. 电子提花龙头的设计和实现[J]. 纺织学报, 2001, 22(05): 25 -26 .
[9] 张健飞;邵改芹. 紫外线照射白腐菌对己内酰胺分解及聚酰胺6降解的影响[J]. 纺织学报, 2008, 29(1): 9 -13 .
[10] 郭红;夏正兴. 镀铝反辐射热材料隔热性能的研究[J]. 纺织学报, 1990, 11(07): 4 -7 .