纺织学报 ›› 2019, Vol. 40 ›› Issue (04): 177-184.doi: 10.13475/j.fzxb.20180203008

• 综合述评 • 上一篇    

新型无卤聚合物阻燃剂的研究进展

李强林1,2(), 黄方千2, 肖秀婵1, 邱诚1, 吴菊珍1   

  1. 1.成都工业学院 智慧环保大数据研究中心, 四川 成都 611730
    2.成都纺织高等专科学校, 四川 成都 611731
  • 收稿日期:2018-02-08 修回日期:2018-12-14 出版日期:2019-04-15 发布日期:2019-04-16
  • 作者简介:李强林(1975—),男,教授,博士。主要研究方向为功能材料与阻燃纺织品。E-mail:lqlxp1010@163.com
  • 基金资助:
    国家自然科学基金青年基金项目(21705011)

Review on novel halogen-free polymer flame retardants

LI Qianglin1,2(), HUANG Fangqian2, XIAO Xiuchan1, QIU Cheng1, WU Juzhen1   

  1. 1. Center of Big Data for Smart Environmental Protection, Chengdu Technological University,Chengdu, Sichuan 611730, China
    2. Chengdu Textile College, Chengdu, Sichuan 611731, China
  • Received:2018-02-08 Revised:2018-12-14 Online:2019-04-15 Published:2019-04-16

摘要:

为提高阻燃纺织品的阻燃耐久性、耐水洗性,避免传统的卤系阻燃剂在高温下产生二噁英、卤化氢等二次污染物,采用无卤聚合物阻燃剂是行之有效的方法之一。阐述了含磷、氮、硅等阻燃元素的一系列支链型、直链型和交联型聚合物阻燃剂及其单体,主要介绍了磷(膦)酸酯、磷(膦)酰胺、含磷聚硅氧烷、生物基阻燃剂等聚合物型阻燃剂类型、结构、合成、性能及其在纺织品中的应用;分析了当前纺织品用阻燃剂存在的问题。认为耐久性阻燃剂应集中在磷-氮含量高、具有反应活性的绿色环保阻燃剂的合成,要加大多组分阻燃剂复合协同机制研究,加快现代物理整理技术的研究。

关键词: 阻燃纺织品, 无卤阻燃剂, 生物基阻燃剂, 涂层, 聚合物

Abstract:

In order to improve the durability and washable resistance of flame retardant textiles, and avoid the generation of secondary pollutants such as dioxins and hydrogen halides at high temperature for conventional halogenated flame retardants, using halogen-free polymer flame retardant is one of the effective methods. This paper systematically described a series of branched, linear and crosslinked polymer flame retardants and their monomers containing flame retardant elements such as phosphorus, nitrogen and silicon. The types, structures, synthesis, properties and applications of polymer flame retardants such as phosphates (phosphonates), phosphoramides (phosphonamides), phosphorus-containing polysiloxane and bio-based flame retardants were mainly introduced. The current problems of flame retardants for textiles were analyzed. It was pointed out that the durable flame retardant should focus on the synthesis of eco-friendly flame retardants with high phosphorus-nitrogen content and high reactivity, and should increase the research on synergistic mechanism of multi-component compounds, and accelerate the research direction of modern physical finishing technology research.

Key words: flame retardant textile, halogen-free flame retardant, bio-based flame retardant, coating, polymer

中图分类号: 

  • TS106.5

图1

接枝反应制备支链型聚合阻燃剂示意图"

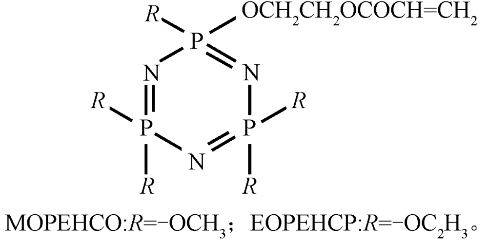
图2

MOPEHCP和EOPEHCP结构式"

图3

共聚反应制备支链型聚合物阻燃剂示意图"

图4

多功能单体嵌段共聚阻燃剂结构示意图"

图5

双功能团阻燃单体的结构示意图"

[1] 李强林, 黄方千, 肖秀婵, 等. 反应性含磷阻燃单体在纺织品中的研究进展[J]. 印染, 2018,44(11):53-56.
LI Qianglin, HUANG Fangqian, XIAO Xiuchan, et al. Review on reactive phosphorus-containing flame-retardant monomers for textiles[J]. China Dyeing & Finishing, 2018,44(11):53-56.
[2] HORROCKS A R, WEI L. Recent developments and challenges in flame retardation of textiles and fibres[J]. Materials China, 2015,54(9):56-60.
[3] 任元林, 张悦, 曾倩, 等. 织物阻燃涂层新工艺的研究进展[J]. 纺织学报, 2017,38(9):168-173.
REN Yuanlin, ZHANG Yue, ZENG Qian, et al. Research progress on new technology of fabric flame retardant coating[J]. Journal of Textile Research, 2017,38(9):168-173.
[4] KOCH C, SCHMIDT-KOTTER S T, RUPP R, et al. Review of hexabromocyclododecane (HBCD) with a focus on legislation and recent publications concerning toxicokinetics and-dynamics[J]. Environmental Pollution, 2015,199:26-34.
pmid: 25618363
[5] 李强林, 黄方千, 杨东洁, 等. 冷等离子体接枝聚合阻燃改性纺织品研究进展[J]. 成都纺织高等专科学校学报, 2015,32(4):12-16.
LI Qianglin, HUANG Fangqian, YANG Dongjie, et al. Research progress on flame retardant modified textile by cold plasma graft polymerization[J]. Journal of Chengdu Textile Colloge, 2015,32(4):12-16.
[6] 李娜娜, 姜国伟, 周光远, 等. 有机磷类阻燃剂的合成及应用进展[J]. 应用化学, 2016,33(6):611-623.
LI Nana, JIANG Guowei, ZHOU Guangyuan, et al. Synjournal and application of organic phosphorus flame retardants[J]. Chinese Journal of Applied Chemistry, 2016,33(6):611-623.
[7] 李博, 李强林. 含磷聚合物阻燃剂研究进展[J]. 成都纺织高等专科学校学报, 2014,31(1):21-25.
LI Bo, LI Qianglin. Research progress on phosphorus-containing polymer flame retardant[J]. Journal of Chengdu Textile College, 2014,31(1):21-25.
[8] LI Q L, WANG X L, WAND D Y, et al. Durable flame retardant finishing of PET/cotton blends using a novel PVA-based phosphorus-nitrogen polymer[J]. Journal of Applied Polymer Science, 2011,122(1):342-353.
[9] 王灿灿. 磷酸酯阻燃剂的合成及其在黄麻织物上的应用[D]. 太原: 太原理工大学, 2012: 25-27.
WANG Cancan. Synthesis of phosphate flame retardant and its application in jute fabric[D]. Taiyuan:Taiyuan University of Technology, 2012: 25-27.
[10] YOSHIOKA T M, CONDON B D, CINTRÓN M S, et al. Enhanced flame retardant property of fiber reactive halogen-free organophosphonate[J]. Industrial & Engineering Chemistry Research, 2012,51(34):11031-11037.
[11] 任元林, 张悦, 谷叶童, 等. 含磷阻燃聚丙烯腈纤维的制备及其性能[J]. 纺织学报, 2017,38(8):1-5.
REN Yuanlin, ZHANG Yue, GU Yetong, et al. Preparation and properties of phosphorus-containing flame-retardant polyacrylonitrile fibers[J]. Journal of Textile Research, 2017,38(8):1-5.
[12] 王斐, 邓启刚, 陈朝晖, 等. 亚麻用降解壳聚糖含磷阻燃剂的合成及应用[J]. 精细化工, 2015,32(4):461-465.
WANG Fei, DENG Qigang, CHEN Zhaohui, et al. Synjournal and application of flame retardant for degradation of flax in chitosan[J]. Fine Chemicals, 2015,32(4):461-465.
[13] 林锐彬, 李战雄, 赵言, 等. 环三磷腈丙烯酸酯合成及其在棉织物阻燃整理中的应用[J]. 印染助剂, 2010,27(4):25-28.
LIN Ruibin, LI Zhanxiong, ZHAO Yan, et al. Cyclotriphosphazene acrylate synjournal and its application in cotton fabric flame retardant finishing[J]. Dyeing Auxiliaries, 2010,27(4):25-28.
[14] 钱立军, 叶龙健, 韩鑫磊, 等. 基于磷杂菲基团化合物的构建与性能[J]. 化学进展, 2010,22(9):1776-1783.
QIAN Lijun, YE Longjian, HAN Xinlei, et al. Construction and properties of phosphaphenanthrene based compounds[J]. Progress in Chemistry, 2010,22(9):1776-1783.
[15] 金崇业, 贾丽霞. 有机磷阻燃剂在羊毛纺织品中的应用和发展[J]. 纺织导报, 2015,31(4):32-35.
JIN Chongye, JIA Lixia. Application and development of the organic phosphorus flame retardant for wool fabric[J]. China Textile Leader, 2015,31(4):32-35.
[16] 帅博旺. 新型丙烯酸酯聚合物的合成及其在棉织物上的应用研究[D]. 上海:东华大学, 2012:25-38, 77-80.
SHUAI Bowang. New acrylic polymer synthesis and its application in cotton fabric[D]. Shanghai: Donghua University, 2012:25-38, 77-80.
[17] 董朝红. 棉用含磷氮元素聚硅氧烷阻燃剂的制备及性能研究[D]. 无锡:江南大学, 2014:37-38, 50-52.
DONG Chaohong. Preparation and properties of polysiloxane flame retardants containing phosphorus and nitrogen for cotton[D]. Wuxi: Jiangnan University, 2014:37-38, 50-52.
[18] HORROCKS A R. Flame retardant challenges for textiles and fibres: new chemistry versus innovatory solu-tions[J]. Polymer Degradation & Stability, 2011,96(3):377-392.
[19] LIU W, CHEN L, WANG Y Z. A novel phosphorus-containing flame retardant for the formaldehyde-free treatment of cotton fabrics[J]. Polymer Degradation & Stability, 2012,97(12):2487-2491.
[20] 周羿凝, 许苗军, 孙才英. N-羟甲基丙烯酰胺螺环磷酸酯的合成及表征[J]. 精细化工, 2015,32(8):917-920.
ZHOU Yining, XU Miaojun, SUN Caiying. Preparation and characterization of N-methylolacrylamide spiro phosphates[J]. Fine Chemicals, 2015,32(8):917-920.
[21] 陈金玲. 涤纶用有机磷阻燃水性聚氨酯涂层胶的制备及应用研究[D]. 杭州:浙江理工大学, 2013:13-16, 39-45.
CHEN Jinling. Polyester with organic phosphorus flame retardant water-based polyurethane coating adhesive preparation and application[D]. Hangzhou: Zhejiang Sci-Tech University, 2013:13-16, 39-45.
[22] 李强林, 黄方千, 魏玉君, 等. 涤棉织物的金属离子改性聚磷酸铵阻燃整理[J]. 印染, 2017,43(19):11-16.
LI Qianglin, HUANG Fangqian, WEI Yujun, et al. Metal ion modified ammonium polyphosphate flame retardant finishing of polyester/cotton fabric[J]. China Dyeing & Finishing, 2017 (19):11-16.
[23] 王琦. 棉用无甲醛阻燃剂的合成及应用[D]. 上海: 东华大学, 2014: 33-37.
WANG Qi. Cotton with formaldehyde-free flame retardant synthesis and application[D]. Shanghai: Donghua University, 2014: 33-37.
[24] 董振泉. 磷酸酯阻燃剂PPAP的制备及其在纯棉织物上的应用研究[D]. 上海: 东华大学, 2011: 33-38.
DONG Zhenquan. Preparation of phosphate flame retardant PPAP and its application in pure cotton fabric[D]. Shanghai: Donghua University, 2011: 33-38.
[25] 周向东, 陈迎春, 蒲泽佳, 等. 锦纶用耐久性阻燃剂的合成与应用[J]. 成都纺织高等专科学校学报, 2016,33(1):37-41.
ZHOU Xiangdong, CHEN Yingchun, PU Zejia, et al. Synjournal and application of durable flame retardant for polyamide[J]. Journal of Chengdu Textile College, 2016,33(1):37-41.
[26] 杨敏芬. 有机磷系阻燃剂的合成及其在尼龙中的应用[D]. 杭州:浙江理工大学, 2015: 28-30.
YANG Minfen. Synthesis of organic phosphorus flame retardants and its application in nylon [D]. Hangzhou: Zhejiang Sci-Tech University, 2015: 28-30.
[27] 蒋立, 丁斌, 郝凤岭, 等. 环三磷腈类阻燃剂的研究现状[J]. 印染助剂, 2017,34(4):6-11.
JIANG Li, DING Bin, HAO Fengling, et al. Research status of cyclotriphosphazene flame retardants[J]. Textile Auxiliaries, 2017,34(4):6-11.
[28] 高维全, 唐淑娟, 孙德, 等. 羟基环三磷腈衍生物阻燃剂的合成和性能研究[J]. 染整技术, 2008,30(9):11-14,59.
GAO Weiquan, TANG Shujuan, SUN De, et al. Studies on the synjournal and properties of hydroxyl cyclotriphosphazene derivatives flame retardant[J]. Dyeing and Finishing Technology, 2008,30(9):11-14,59.
[29] 陈文杰, 胡毅, 许春磊, 等. 棉织物架桥型水性聚氨酯-NPAZ阻燃整理[J]. 印染, 2010,36(24):1-3.
CHEN Wenjie, HU Yi, XU Chunlei, et al. Flame retardant finishing of waterborne polyurethane-NPAZ cotton fabric bridge[J]. China Dyeing & Finishing, 2010,36(24):1-3.
[30] LI Q L, HUANG F Q, JIANG X J. Preparation and properties of a washable flame-retardant coated fabric[J]. Indian Journal of Fibre & Textile Research, 2016,41:40-46.
[31] 王立春. 新型含磷阻燃剂的合成及无卤阻燃交联EVA复合材料的制备与性能研究[D]. 上海:上海交通大学, 2011: 47-50.
WANG Lichun. Synthesis of a new phosphorus-containing flame retardant and halogen-free flame retardant cross-linked EVA composite material preparation and performance[D]. Shanghai: Shanghai Jiao Tong University, 2011: 47-50.
[32] ZHONG H, WEI P, JIANG P, et al. Synjournal and characteristics of a novel silicon-containing flame retardant and its application in poly[2,2-propane-(bisphenol)carbonate]/acrylonitrile butadiene styrene[J]. Journal of Polymer Science Part B: Polymer Physics, 2007,45(13):1542-1551.
doi: 10.1002/(ISSN)1099-0488
[33] BOSCO F, CARLETTO R A, ALONGI J, et al. Thermal stability and flame resistance of cotton fabrics treated with whey proteins[J]. Carbohydrate Polymers, 2013,94:372-377.
pmid: 23544551
[34] BOSCO F, CARLETTO R A, ALONGI J, et al. DNA: a novel,green,natural flame retardant and suppressant for cotton[J]. Journal of Materials Chemistry A, 2013(1):4779-4785.
[35] ALONGI J, CARLETTO R A, BLASIO A D, et al. Intrinsic intumescentlike flame retardant properties of DNA-treated cotton fabrics[J]. Carbohydrate Polymers, 2013,96:296-304.
doi: 10.1016/j.carbpol.2013.03.066 pmid: 23688484
[36] ALONGI J, CARLETTO R A, BLASIO A D, et al. Caseins and hydrophobins as novel green flame retardants for cotton blends[J]. Polymer Degradation and Stability, 2014,99:111-117.
doi: 10.1016/j.polymdegradstab.2013.11.016
[37] CAROSIO F, BLASIO A D, CUTTICA F, et al. Flame retardancy of polyester and polyester-cotton blends treated with caseins[J]. Industry & Engineering Chemistry Research, 2014,53:3917-3923.
[38] 庞琳. 无甲醛大豆蛋白基阻燃胶黏剂的制备与应用研究[D]. 南京: 南京理工大学, 2016: 45-49.
PANG Lin. Preparation and application of formaldehyde-free soy protein-based flame retardant adhesive[J]. Nanjing: Nanjing University of Science and Technology, 2016: 45-49.
[1] 王晶晶, 陈咏, 王朝生, 王华平, 边树昌, 乌婧. 生物基聚对苯二甲酸丙二醇酯低聚物的提取及其热性能[J]. 纺织学报, 2020, 41(06): 1-7.
[2] 张星, 刘金鑫, 张海峰, 王玉晓, 靳向煜. 防护口罩用非织造滤料的制备技术与研究现状[J]. 纺织学报, 2020, 41(03): 168-174.
[3] 崔一帆, 侯巍, 周千熙, 闫俊, 路艳华, 何婷婷. 丝胶温敏凝胶对棉织物性能的影响[J]. 纺织学报, 2019, 40(12): 74-78.
[4] 贾高鹏, 宋小红, 李莹, 刘晓丹, 潘雪茹. 铜镍金属涂层机织物拉伸过程中电流的响应[J]. 纺织学报, 2019, 40(10): 68-72.
[5] 缪特, 张如全, 冯阳. 纳米发泡整理对芳纶过滤材料性能的影响[J]. 纺织学报, 2019, 40(09): 108-113.
[6] 徐艳, 籍晓倩, 陈坤林, 王潮霞. 自着色水性聚氨酯制备及其在棉织物涂层中的应用[J]. 纺织学报, 2019, 40(07): 85-89.
[7] 张思, 吴敏. 紫外光固化密胺树脂的合成及涂层织物性能测试[J]. 纺织学报, 2019, 40(06): 64-67.
[8] 杨昆, 李美奇, 张诚, 郭溪. 经编光纤传感织物结构变化对光纤弯曲损耗的影响[J]. 纺织学报, 2019, 40(06): 27-31.
[9] 雷鹏飞, 黄亚伟, 袁森浩, 李红艳, 王成龙, 郑今欢. 油酸原位合成碳酸钙及其在聚酰胺湿法涂层中的应用[J]. 纺织学报, 2019, 40(05): 70-77.
[10] 张安莹, 王照颖, 王锐, 董振峰, 魏丽菲, 王德义. 阻燃聚左旋乳酸及其纤维的制备与结构性能[J]. 纺织学报, 2019, 40(04): 7-14.
[11] 杨婉秋, 刘晓艳, 于伟东. 多层防刺材料中间隔织物的缓冲作用[J]. 纺织学报, 2019, 40(04): 51-54.
[12] 王东伟, 房宽峻, 刘秀明, 张健飞, 舒大武, 张鑫卿. 彩色聚合物微球的制备及其在纺织品印染中应用的研究进展[J]. 纺织学报, 2019, 40(03): 175-182.
[13] 王勃翔 刘丽 路艳华 李金华 张松 汪刘才 韩思杰 刘禹辰 . 互穿聚合物网络温敏凝胶对棉织物液态水分传递的影响[J]. 纺织学报, 2018, 39(11): 79-84.
[14] 周存 李叶燃 马悦 王闻宇 金欣 肖长发. 二氧化钛负载聚酯织物的制备及其光催化性能[J]. 纺织学报, 2018, 39(11): 91-95.
[15] 王勇军 陈世昌 刘梅 曾卫卫 吕汪洋 张先明 陈文兴. 高分子量聚对苯二甲酸乙二醇酯中低聚物的提取及其表征[J]. 纺织学报, 2018, 39(11): 1-7.
Viewed
Full text


Abstract

Cited

  Shared   
  Discussed   
No Suggested Reading articles found!