纺织学报 ›› 2025, Vol. 46 ›› Issue (07): 53-61.doi: 10.13475/j.fzxb.20240908501

• 纤维材料 • 上一篇    下一篇

聚酰胺6/共聚酰胺偏心皮芯复合纤维的制备与性能

廖梦蝶1, 肖汪洋1, 李鸿鑫1, 赵漫1, 张须臻1, 王秀华1,2()   

  1. 1 浙江理工大学 纺织纤维材料与加工技术国家地方联合工程实验室, 浙江 杭州 310018
    2 现代纺织技术创新中心(鉴湖实验室), 浙江 绍兴 312030
  • 收稿日期:2024-09-30 修回日期:2025-03-28 出版日期:2025-07-15 发布日期:2025-08-14
  • 通讯作者: 王秀华(1964—),女,正高级工程师。主要研究方向为改性聚酯合成与差别化纤维加工。E-mail:wxiuhua@126.com
  • 作者简介:廖梦蝶(1999—),女,硕士生。主要研究方向为聚酰胺复合纤维的制备与性能。
  • 基金资助:
    浙江省现代纺织技术创新中心定向项目(CXZX2022010HD)

Preparation and properties of polyamide 6/copolyamide eccentric sheath-core composite fibers

LIAO Mengdie1, XIAO Wangyang1, LI Hongxin1, ZHAO Man1, ZHANG Xuzhen1, WANG Xiuhua1,2()   

  1. 1 National Engineering Laboratory for Textile Fiber Materials and Processing Technology, Zhejiang Sci-Tech University, Hangzhou, Zhejiang 310018, China
    2 Modern Textile Technology Innovation Center (Jianhu Laboratory), Shaoxing, Zhejiang 312030, China
  • Received:2024-09-30 Revised:2025-03-28 Published:2025-07-15 Online:2025-08-14

摘要:

为研究牵伸倍数对聚酰胺6(PA6)/共聚酰胺(COPA)偏心皮芯复合纤维性能的影响,以PA6和COPA为原料,制得了PA6/COPA偏心皮芯复合预取向丝(POY),再通过实验室小型牵伸设备对初生纤维进行牵伸和热定形。借助差示扫描量热法、声速取向测定仪、广角二维X射线衍射仪、电子单纱强力机对纤维的结晶性能、取向性能、力学性能、收缩性能和卷曲性能进行测试与分析。结果表明:当热定形温度为160 ℃ 时,随着牵伸倍数的增加,PA6/COPA偏心皮芯复合纤维的结晶度、取向度均呈增长趋势,断裂强度由3.67 cN/dtex增加至4.63 cN/dtex,断裂伸长率由56.44% 降低至38.46%;当热处理温度一定时,随着牵伸倍数的增加,PA6/COPA偏心皮芯复合纤维的干热收缩率和湿热收缩率均呈增长趋势;当牵伸倍数一定时,随着热处理温度的升高,复合纤维的干热收缩率和湿热收缩率也均呈增长趋势;当湿热处理温度为120 ℃ 时,复合纤维表现出优异的卷曲形貌,当牵伸倍数从1.10增加至1.30时,复合纤维的卷曲数从 14个/(25 mm)增加至 21个/(25 mm)、卷曲率从 11.3% 增长至 13.81%、卷曲弹性率从 83.2% 增长至 88.52%。

关键词: 聚酰胺6, 共聚酰胺, 偏心皮芯复合, 牵伸, 结晶, 取向, 收缩性能

Abstract:

Objective In order to expand the application field of polyamide fiber, polyamide 6/copolyamide eccentric sheath-core composite fiber composed of polyamide 6 (PA6) and copolyamide (COPA) was developed. This composite fiber combines the excellent mechanical properties, dyeing performance and wear resistance of polyamide fiber with the excellent crimp elasticity and soft handfeeling of the composite fiber. The influence of the drafting and heat-setting processes on the properties of the composite fibers was investigated, aiming to provide valuable insights for the development and application of polyamide-based composite fibers.

Method The PA6/COPA eccentric sheath-core composite pre-oriented yarn (POY) was successfully produced using melt spin-ning technology, employing PA6 and COPA as raw materials through a customized spinneret. Subsequently, the as-spun fiber was drafted and heat-set using specialized drafting equipment in the laboratory. The crystallization, orientation, mechanical, shrinkage, and crimp characteristics of the composite fibers, subjected to various draft multiples, were tested and analyzed using differential scanning calorimetry, a two-dimensional wide-angle X-ray diffractometer, a sound velocity orientation instrument, and an electronic single yarn strength tester.

Results The influence of draft ratio on the structure and properties of PA6/COPA eccentric sheath-core composite fibers was investigated by varying the draft ratio. The results indicated that when the heat setting temperature was 160 ℃, the crystallinity and orientation degree of the PA6/COPA eccentric sheath-core composite fibers increased with the increase of draft ratio from 1.10 to 1.30. The breaking strength increased from 3.67 cN/dtex to 4.63 cN/dtex, while the elongation at break decreased from 56.44% to 38.46%. When the heat treatment temperature is constant, the dry heat shrinkage and wet heat shrinkage of the composite fibers increased with the increase of the draft ratio. When the drafting ratio was constant, the dry heat shrinkage and wet heat shrinkage of the composite fibers increased with the heat treatment temperature. After heat treatment at 120 ℃, the composite fibers exhibited excellent crimp morphology. When the draft ratio was increased from 1.10 to 1.30, the crimp number of the composite fibers was risen from 14 curls/(25 mm) to 21 curls/(25 mm), the crimp rate was increased from 11.36% to 13.81%, and the crimp elasticity was improved from 83.32% to 88.52%.

Conclusion With the increase in draft ratio, the mechanical strength and crimp shrinkage of PA6/COPA eccentric sheath-core composite fibers are improved significantly. When the heat treatment temperature is 100 ℃, the shrinkage difference between the two components of the composite fiber is small, preventing the formation of self-crimping. As the temperature increases from 100 ℃ to 120 ℃, the composite fiber develops a complete and distinct crimp morphology. Thus, increasing the heat treatment temperature facilitates the crimp formation in composite fibers. The study provides a reference for expanding the application of polyamide in self-crimping composite fibers.

Key words: polyamide 6, copolyamide, eccentric skin-core composite, drafting, crystallization, orientation, shrinkage performance

中图分类号: 

  • TS102.6

图1

PA6/COPA偏心皮芯复合预取向丝(POY)的纺丝工艺流程简图"

表1

复合纺丝工艺参数及POY性能"

材料 干燥温度/℃ 干燥时间/h 螺杆温度/℃ POY线密度 断裂强度/(cN·dtex-1) 断裂伸长率/%
PA6 100 16 240/253/253/253 32 dtex(24 f) 3.1 73.26
COPA 90 24 260/282/282/280

图2

实验室小型牵伸热定形流程图"

图3

PA6/COPA偏心皮芯复合纤维截面形貌照片"

图4

不同牵伸倍数PA6/COPA偏心皮芯复合纤维的DSC曲线"

表2

不同牵伸倍数PA6/COPA复合纤维各组分的DSC测试数据"

牵伸
倍数
COPA PA6
熔融焓/
(J·g-1)
结晶度/% 熔融焓/
(J·g-1)
结晶度/%
1.00 22.93 21.95 21.89 25.60
1.10 24.06 23.03 22.95 26.84
1.15 25.18 24.09 23.86 27.91
1.20 26.23 25.11 24.44 28.58
1.25 27.40 26.22 25.60 29.93
1.30 28.49 27.27 27.41 32.07

图5

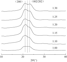
不同牵伸倍数PA6/COPA偏心皮芯复合纤维的X射线衍射曲线"

图6

不同牵伸倍数PA6/COPA偏心皮芯复合纤维的二维X射线衍射图"

图7

不同牵伸倍数PA6/COPA偏心皮芯复合纤维的一维X射线取向衍射曲线"

图8

不同牵伸倍数PA6/COPA偏心皮芯复合纤维的半峰宽和取向度"

图9

不同牵伸倍数PA6/COPA偏心皮芯复合纤维的应力-应变曲线"

表3

不同牵伸倍数PA6/COPA偏心皮芯复合纤维的力学性能"

牵伸
倍数
线密度/
dtex
断裂强度/
(cN·dtex-1)
断裂
伸长率/%
1.00 32.02 3.02 74.43
1.10 28.12 3.67 56.44
1.15 26.81 3.81 49.18
1.20 26.13 3.94 45.13
1.25 25.31 4.06 40.11
1.30 24.12 4.63 38.46

图10

不同牵伸倍数PA6/COPA偏心皮芯复合纤维收缩率随温度变化曲线"

图11

不同牵伸倍数PA6/COPA偏心皮芯复合纤维的沸水收缩率随温度变化曲线"

图12

不同牵伸倍数PA6/COPA偏心皮芯复合纤维在不同热处理温度下的卷曲形貌"

表4

不同牵伸倍数PA6/COPA偏心皮芯复合纤维的卷曲性能"

牵伸倍数 卷曲数/
(个·(25 mm)-1)
卷曲率/% 卷曲
弹性率/%
1.00 9 8.52 73.33
1.10 14 11.36 83.32
1.15 17 11.85 85.30
1.20 18 12.17 86.57
1.25 20 13.31 87.81
1.30 21 13.81 88.52
[1] 朱建民. 聚酰胺纤维[M]. 北京: 化学工业出版社, 2014:1.
ZHU Jianmin. Polyamide fiber[M]. Beijing: Chemical Industry Press, 2014:1.
[2] 孙振华. 聚酰胺改性技术及改性产品研究进展[J]. 纺织科学与工程学报, 2018, 35(4):163-166,121.
SUN Zhenhua. Research progress of polyamide modification technology and modified products[J]. Journal of Textile Science and Engineering, 2018, 35(4):163-166,121.
[3] 中国化纤工业协会. 我国锦纶工业"十二五"发展目标、发展重点及主要任务[J]. 纺织导报, 2011(12):79-81.
China Chemical Fibers Association. Aim and development priorities of China PA fiber industry during the 12th five-year plan period[J]. China Textile Leader, 2011(12):79-81.
[4] 周卫东. 改性聚酰胺纤维的开发现状及发展趋势[J]. 合成纤维工业, 2014, 37(1):60-65.
ZHOU Weidong. Development status and trend of modified polyamide fiber[J]. China Synthetic Fiber Industry, 2014, 37(1):60-65.
[5] 纪晓寰, 方彦雯, 孙宾, 等. 双组分聚酯纤维技术和产品应用进展[J]. 合成纤维工业, 2022, 45(1): 74-80.
JI Xiaohuan, FANG Yanwen, SUN Bin, et al. Technology and product application progress of bicomponent polyester fiber[J]. China Synthetic Fiber Industry, 2022, 45(1):74-80.
[6] 魏纯香, 倪冰选. 复合纤维的相关标准及鉴别技术进展[J]. 合成纤维工业, 2021, 44(2):75-79.
WEI Chunxiang, NI Bingxuan. Progress of composite fiber related standards and identification technology[J]. China Synthetic Fiber Industry, 2021, 44(2):75-79.
[7] 沈千林, 全潇, 孟超群. 并列型复合纤维纺丝组件的研究[J]. 化纤与纺织技术, 2010, 39(4):44-47.
SHEN Qianlin, QUAN Xiao, MENG Chaoqun. Spinning pack of parallel composite fiber[J]. Chemical Fiber & Textile Technology, 2010, 39(4):44-47.
[8] ZHU Shufang, MENG Xin, TAN Xu, et al. Evidence for bicomponent fibers: a review[J]. E-Polymers, 2021, 21: 636-653.
doi: 10.1515/epoly-2021-0067
[9] 郎嘉瑞. 聚酰胺基并列复合纤维的制备及其性能研究[D]. 上海: 东华大学, 2023:1-50.
LANG Jiarui. Preparation and properties of polyamide parallel composite fibers[D]. Shanghai: Donghua University, 2023:1-50.
[10] 刘雅丽, 袁如超, 俞建勇, 等. PA6/PBTE并列复合弹性纤维的制备及其性能研究[J]. 东华大学学报(自然科学版), 2025, 51(1):1-10.
LIU Yali, YUAN Ruchao, YU Jianyong, et al. Preparation of PA6/PBTE side-by-side composite elastic fibers and study of their properties[J]. Journal of Donghua University(Natural Science Edition), 2025, 51(1):1-10.
[11] 杨倩. PA/TPAE偏心皮芯复合纤维的制备和性能研究[D]. 杭州: 浙江理工大学, 2023:11-39.
YANG Qian. Preparation and properties of PA/TPAE eccenentric sheath-core composite fibers[D]. Hangzhou: Zhejiang Sci-Tech University, 2023:11-39.
[12] WANG F M, GU F, XU B G. Elastic strain of PTT/PET self-crimping fibers[J]. Journal of Engineered Fibers and Fabrics, 2013, 8(2):1-6.
[13] 张梦茹, 王灿, 肖汪洋, 等. 聚醚酯弹性纤维的制备及其结构与性能[J]. 纺织学报, 2024, 45(8):81-88.
ZHANG Mengru, WANG Can, XIAO Wangyang, et al. Preparation of polyether ester elastic fiber and its structure and properties[J]. Journal of Textile Research, 2024, 45(8):81-88.
[14] BOONLERTSAMUT J, THUMSORN S, UMEMURA T, et al. Spinnability and characteristics of polyoxymethylene-based core-sheath bicomponent fibers[J]. Journal of Engineered Fibers and Fabrics, 2019, 14(1):1-7.
[15] 魏馨, 朱瑞淑, 胡红梅, 等. PA6/PA66共聚酰胺纤维的制备及结构性能研究[J]. 产业用纺织品, 2023, 41(1):22-29.
WEI Xin, ZHU Ruishu, HU Hongmei, et al. Study on the preparation and structural properties of PA6/PA66 copolyamide fibers[J]. Technical Textiles, 2023, 41(1):22-29.
[16] 张颖, 宋明根, 姬洪, 等. 热定形工艺对高强型聚酯工业丝结构性能的影响[J]. 纺织学报, 2023, 44(9):43-51.
ZHANG Ying, SONG Minggen, JI Hong, et al. Influence of heat-setting process on structure and properties of high-tenacity polyester industrial yarns[J]. Journal of Textile Research, 2023, 44(9):43-51.
[17] ZHANG Jiacheng, LI Yonggang, MA Gang, et al. Study of the microstructure formation mechanisms of poly(etherether-ketone) monofilaments via melt spin-ning[J]. Journal of Applied Polymer Science, 2023, 140(4):1-13.
[18] 高峰, 孙燕琳, 肖顺立, 等. 不同牵伸倍率下聚酯复合纤维的微观结构与性能[J]. 纺织学报, 2022, 43(8):34-39.
GAO Feng, SUN Yanlin, XIAO Shunli, et al. Microstructure and properties of polyester composite fibers with different drafting ratios[J]. Journal of Textile Research, 2022, 43(8):34-39.
[19] 王莉莉, 董侠, 朱平, 等. 长碳链聚醚酰胺弹性纤维开发及其弹性机理[J]. 高分子学报, 2017(5):752-760.
WANG Lili, DONG Xia, ZHU Ping, et al. Research and development of long chain poly(amide-co-ether) elastic fibers and the corresponding elastic mechan-ism[J]. Acta Polymerica Sinica, 2017(5):752-760.
[20] 王宇, 吉鹏, 王朝生, 等. PEGT/PTT并列复合弹性纤维的制备及性能研究[J]. 合成纤维工业, 2020, 43(2):19-25.
WANG Yu, JI Peng, WANG Chaosheng, et al. Preparation and properties of PEGT/PTT side-by-side composite elastic fiber[J]. China Synthetic Fiber Industry, 2020, 43(2):19-25.
[1] 刘宇祥, 乌婧, 徐锦龙, 谢锐敏, 王华平. 阳离子可染聚对苯二甲酸丙二醇酯预取向丝的制备及其性能[J]. 纺织学报, 2025, 46(07): 46-52.
[2] 闫静, 王亚倩, 刘晶晶, 李好义, 杨卫民, 康卫民, 庄旭品, 程博闻. 熔融静电纺长丝纱的制备及其在摩擦纳米发电机中的应用[J]. 纺织学报, 2025, 46(05): 23-29.
[3] 马文佳, 刘新金. 牵伸区内纤维变速点分布对半精梳棉条质量的影响[J]. 纺织学报, 2025, 46(04): 56-62.
[4] 何灏, 张迎亮, 刘宸君, 殷亚然, 陈康, 张先明. 不同温度下锦纶6工业丝的蠕变机制[J]. 纺织学报, 2025, 46(04): 63-70.
[5] 乔思杰, 邢桐贺, 童爱心, 史芷丞, 潘恒, 刘可帅, 余豪, 陈凤翔. 不同聚乳酸材料的性能对比[J]. 纺织学报, 2025, 46(03): 27-33.
[6] 张帆, 程春祖, 郭翠彬, 张东, 程敏, 李婷, 徐纪刚. Lyocell纤维直接成网工艺优化与性能分析[J]. 纺织学报, 2025, 46(03): 34-40.
[7] 赵珂, 张恒, 程文胜, 甄琪, 步青云, 崔景强. 类蒲叶结构聚乳酸熔喷非织造材料的制备及其性能[J]. 纺织学报, 2025, 46(02): 51-60.
[8] 卢海龙, 于影, 左雨欣, 王浩然, 陈洪立, 汝欣. 取向增强抗CO2腐蚀纤维薄膜的制备及其性能[J]. 纺织学报, 2024, 45(12): 33-40.
[9] 雷福旺, 冯其, 侯奥菡, 赵振鸿, 谭佳兆, 赵景, 王先锋. 聚偏氟乙烯-聚丙烯腈/SiO2单向导湿纤维膜的制备及其性能[J]. 纺织学报, 2024, 45(12): 1-8.
[10] 张梦茹, 王灿, 肖汪洋, 廖梦蝶, 王秀华. 聚醚酯弹性纤维的制备及其结构与性能[J]. 纺织学报, 2024, 45(08): 81-88.
[11] 陈灿, 拖晓航, 王迎. 取向聚氨酯纳米纤维膜卷纱的制备及其力学性能[J]. 纺织学报, 2024, 45(08): 134-141.
[12] 刘术, 侯腾, 周乐乐, 李祥龙, 杨斌. 桑蚕的强制牵伸抽丝及其纤维性能[J]. 纺织学报, 2024, 45(06): 11-15.
[13] 朱维维, 舒伟, 顾文娟. 负载不同极性药物对粘胶织物结构和性能的影响[J]. 纺织学报, 2024, 45(04): 136-141.
[14] 吴佳庆, 郝新敏, 王美慧, 郭亚飞, 王迎. 粗纱物理特性对环锭纺细纱机后区牵伸效果影响[J]. 纺织学报, 2024, 45(04): 76-82.
[15] 郑晓頔, 盛平厚, 蒋佳岑, 李睿, 焦红娟, 邱志成. 铜改性抗菌防螨聚酰胺6纤维的制备及其性能[J]. 纺织学报, 2024, 45(03): 19-27.
Viewed
Full text


Abstract

Cited

  Shared   
  Discussed   
No Suggested Reading articles found!