Journal of Textile Research ›› 2019, Vol. 40 ›› Issue (01): 84-90.doi: 10.13475/j.fzxb.20180100607

• Dyeing and Finishing & Chemicals • Previous Articles     Next Articles

Synthesis of polysulfopropylbetaine and its application inantibacterial cotton fabric

ZHOU Li1,2, WANG Hongbo1,2(), DU Jinmei1,2, FU Jiajia1,2, WANG Wencong1,2   

  1. 1. Jiangsu Engineering Technology Research Center of Functional Textiles, Jiangnan University, Wuxi, Jiangsu 214122, China
    2. Key Laboratory of Eco-Textiles(Jiangnan University), Ministry of Education, Wuxi, Jiangsu 214122, China
  • Received:2018-01-02 Revised:2018-08-20 Online:2019-01-15 Published:2019-01-18
  • Contact: WANG Hongbo E-mail:wxwanghb@163.com

Abstract:

In order to realize the efficient and durable antibacterial activities of cotton textiles, polysulfopropylbetaine (PSPB) antibacterial agents were prepared and applied in the functional finishing of cotton fabrics. The influence of finishing agent concentration, bath ratio, soaking time, baking time and baking temperature on the inhibition zone of cotton fabrics were carried out. The optimal conditions are 54 g/L of finishing agent concentration, 1∶30 of bath ratio, 50 min of soaking time, 150 s of baking time and 170 ℃ of baking temperature. Additionally, counting viable bacteria method was adopted to test the antibacterial properties and fastness to washing of cotton fabrics finished under the optimum reaction conditions. Also, it was proved that PSPB is synthesized and grafted successfully onto the surface of cellulose by characterization of infrared spectrometer and scanning electro microscopy. It is shown that the cotton fabrics finished by PSPB possesses excellent washability, and exhibits good antibacterial activity against both gram-negative bacteria Escherichia coli and gram-positive bacteria Staphylococcus aureus, with 99.87% and 99.99%, respectively, in antibacterial ratio. In terms of tests on the breaking strength and whiteness, no significant influence exists on cotton fabrics finished with PSPB and both properties accord with wearing needs.

Key words: betaine, antibacterial agent, cotton fabric, antibacterial finishing, grafting

CLC Number: 

  • TS195.5

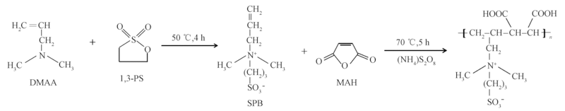
Fig.1

Synthetic routine of SPB and PSPB"

Fig.2

Inhibition zone of cotton fabric finished by PSPB with different concentrations"

Fig.3

Inhibition zone of cotton fabric finished at different bath ratios"

Fig.4

Inhibition zone of cotton fabric finished for different soak time"

Fig.5

Inhibition zone of cotton fabric finished at different baking temperatures"

Tab.1

Strength/whiteness of cotton fabric finished at different curing temperatures"

烘焙
温度/℃
断裂强力/N 白度/%
经向 纬向
原样 784.4 383.9 72.35
160 722.3 348.2 69.33
170 693.1 331.7 64.70
180 617.5 292.4 52.31

Fig.6

Inhibition zone of cotton fabric finished for different baking time"

Fig.7

SEM images of raw cotton fabric (a) and cotton fabric finished with PSPB (b) (×3 000)"

Fig.8

Infrared spectra of PSPB, raw cotton fabric and cotton fabric finished with PSPB"

Fig.9

Antibacterial rate against E.coli/S.aureus of cotton fabrics finished by optimum processing before and after 30 times of washing"

Fig.10

Photographs of antibacterial activities against E.coli/S.aureus of cotton fabrics before and after finishing."

Tab.2

Wearability of cotton fabrics finished by optimum processing"

试样 经向断裂强力 纬向断裂强力 白度
强力/N 强力保留率/% 强力/N 强力保留率/% 白度/% 白度保留率/%
原棉织物 784.4 383.9 72.35
最优工艺整理棉织物 690.4 88.02 333.1 86.77 64.82 89.59
[1] 周莉, 王鸿博, 傅佳佳, 等. 应用电子束辐照技术的棉织物抗菌整理工艺优化[J]. 纺织学报, 2017,38(10):81-87.
ZHOU Li, WANG Hongbo, FU Jiajia, et al. Optimization on antibacterial finishing process of cotton fabricbased on electron beam irradiation[J]. Journal of Textile Research, 2017,38(10):81-87.
doi: 10.1177/004051756803800110
[2] SIMONCIC B, TOMSIC B. Structures of novel antimicrobial agents for textiles: a review[J]. Textile Research Journal, 2010,80(14):1721-1737.
doi: 10.1177/0040517510363193
[3] LIU Y, JIANG Z, LI J, et al. Antibacterial functionalization of cotton fabrics by electric-beam irradiation[J]. Journal of Applied Polymer Science, 2015,132(23):1-7.
[4] CHEN S, CHEN S, JIANG S, et al. Environmentally friendly antibacterial cotton textiles finished with siloxane sulfopropylbetaine[J]. Applied Materials & Interfaces, 2011,3(4):1154-1162.
doi: 10.1021/am101275d pmid: 21417413
[5] GRIGORAS A G, RACOVITA S, VASILIU S, et al. Dilute solution properties of some polycarboxybetaines with antibacterial activity[J]. Journal of Polymer Research, 2012,19(11):1-8.
doi: 10.1007/s10965-012-0001-8
[6] ZOU H, CHEN N, SHI M, et al. The metabolism and biotechnological application of betaine in microorganism[J]. Applied Microbiology and Biotechnology, 2016,100(9):3865-3876.
pmid: 27005411
[7] CHEN S, CHEN S, JIANG S, et al. Study of zwitterionic sulfopropylbetaine containing reactive siloxanes forapplication in antibacterial materials[J]. Colloids and Surfaces B:Biointerfaces, 2011,85(3):323-329.
doi: 10.1016/j.colsurfb.2011.03.004
[8] CHEN S, CHEN S, JIANG S, et al. Synjournal andcharacterization of siloxane sulfobetaine antimicrobia-lagents[J]. Surface Science, 2011,605(11):25-28.
[9] ZHANG Z, CHENG G, CARR L R, et al. The hydrolysis of cationic polycarboxybetaine esters to zwitterionic polycarboxybetaines withcontrolled properties[J]. Biomaterials, 2008,29(36):4719-4725.
doi: 10.1016/j.biomaterials.2008.08.030 pmid: 18819709
[10] CHEN S, YUAN L, LI Q, et al. Durable antibacterial and nonfouling cotton textiles with enhanced comfort via zwitterionic sulfopropylbetaine coating[J]. Small, 2016,12(26):3516-3521.
doi: 10.1002/smll.201600587 pmid: 27213986
[11] HE L, GAO C, LI S, et al. Non-leaching and durable antibacterial textiles finished with reactive zwitterionic sulfobetaine[J]. Journal of Industrial & Engineering Chemistry, 2017,46(4):373-378.
[12] 张冬梅. 抗菌拒水拒油多功能织物整理剂的制备及应用[D]. 杭州:浙江大学, 2012: 65.
ZHNAG Dongmei. Preparation and application of antibacterial water and oil repellent multifunctional finishing agent for fabric[D]. Hangzhou:Zhejiang University, 2012: 65.
[13] 封勤华. 载银硅丙乳液的制备及对棉针织物抗菌研究[D]. 苏州:苏州大学, 2011: 38.
FENG Qinhua. Synthesis of polyacrylate antimicrobial emulsion-Ag+ and the study of antibacterial finishing to cotton knitted fabric[D]. Suzhou:Soochow University, 2011: 38.
[14] 刘殷, 任学宏. 卤胺类单体接枝棉织物的抗菌整理工艺[J]. 纺织学报, 2013,34(2):129-135.
LIU Yin, REN Xuehong. Antibacterial finishing of cotton by grafting N-halamine monomers[J]. Journal of Textile Research, 2013,34(2):129-135.
[1] WANG Yang, CHENG Chunzu, JIANG Li′na, REN Yuanlin, GUO Yingbin. Preparation of durable flame retardant polyacrylonitrile fabrics using UV-induced photo-grafting polymerization combined with sol-gel coating [J]. Journal of Textile Research, 2020, 41(10): 107-115.
[2] WANG Bo, FAN Lihua, YUAN Yun, YIN Yunjie, WANG Chaoxia. Preparation and electric storage performance of stretchable polypyrrole / cotton knitted fabric [J]. Journal of Textile Research, 2020, 41(10): 101-106.
[3] LIU Guojin, SHI Feng, CHEN Xinxiang, ZHANG Guoqing, ZHOU Lan. Preparation of polyurethane / phase change wax functional finishing agents for heat storage and temperature regulation and their applications on cotton fabrics [J]. Journal of Textile Research, 2020, 41(07): 129-134.
[4] CHENG Shijie, WANG Chenyang, ZHANG Hongwei, ZUO Danying. Effect of boron nitrogen doped carbon dots on ultraviolet-protection of cotton fabrics [J]. Journal of Textile Research, 2020, 41(06): 93-98.
[5] ZHOU Qingqing, CHEN Jiayi, QI Zhenming, CHEN Weijian, SHAO Jianzhong. Preparation and characterization of flame retardant and antibacterial cotton fabric [J]. Journal of Textile Research, 2020, 41(05): 112-120.
[6] TAN Lin, SHI Yidong, ZHOU Wenya. Study on enhancement of hydrophobicity treatment of cotton fabrics using silica sol [J]. Journal of Textile Research, 2020, 41(04): 106-111.
[7] WEI Tengxiang, LI Min, PENG Hongyun, FU Shaohai. Relationship between open-width mercerization condition and loop structure of weft plain-knitted cotton fabrics [J]. Journal of Textile Research, 2020, 41(04): 98-105.
[8] ZHAO Bing, HUANG Xiaocui, QI Ning, ZHONG Zhou, CHE Mingguo, GE Liangliang. Research progress of antibacterial cotton fabric treated with silver nanoparticles based on covalent bond [J]. Journal of Textile Research, 2020, 41(03): 188-196.
[9] GAO Simeng, WANG Hongbo, DU Jinmei, WANG Wencong. Synthesis of polybetaine antibacterial agent and its applications in cotton textiles finishing [J]. Journal of Textile Research, 2020, 41(02): 89-94.
[10] GAO Xue, LI Zheng, GONG Jixian, LI Qiujin, LI Fengyan, ZHANG Jianfei. Research progress on new bio-antibacterial agents for textiles [J]. Journal of Textile Research, 2020, 41(02): 187-192.
[11] YI Ling, ZHANG He, FU Xin, LI Wen. Preparation and far-infrared emission performance of graphene based zirconium / titanium composites modified cotton fabrics [J]. Journal of Textile Research, 2020, 41(01): 102-109.
[12] LI Yuzhou, ZHANG Yufan, ZHOU Qingqing, CHEN Guoqiang, XING Tieling. Preparation and electrochemical properties of MnO2 / graphene / cotton fabric composite electrode [J]. Journal of Textile Research, 2020, 41(01): 96-101.
[13] CHEN Ying, ZHOU Shuang, WEI Tianjing, FANG Haoxia, LI Yufei. Preparation and properties of polypyrrole composite fabric by soft template process [J]. Journal of Textile Research, 2019, 40(12): 93-97.
[14] CUI Yifan, HOU Wei, ZHOU Qianxi, YAN Jun, LU Yanhua, HE Tingting. Influence of silk sericin temperature sensitive hydrogel on properties of cotton fabrics [J]. Journal of Textile Research, 2019, 40(12): 74-78.
[15] SUN Yufa, ZHOU Xiangdong. Synthesis and characterization of novel phosphorous and nitrogen-containing flame retardant for cotton fabrics [J]. Journal of Textile Research, 2019, 40(12): 79-85.
Viewed
Full text


Abstract

Cited

  Shared   
  Discussed   
No Suggested Reading articles found!