Journal of Textile Research ›› 2021, Vol. 42 ›› Issue (12): 151-158.doi: 10.13475/j.fzxb.20201201908

• Machinery & Accessories • Previous Articles     Next Articles

Flow and heat transfer characteristics of non-uniform heat-pipe heat exchanger

QIAN Miao1,2, HU Hengdie1, XIANG Zhong1(), MA Chengzhang1, HU Xudong1   

  1. 1. School of Mechanical Engineering and Automation, Zhejiang Sci-Tech University, Hangzhou, Zhejiang 310018, China
    2. Key Laboratory of Advanced Manufacturing Technology of Zhejiang Province, Hangzhou, Zhejiang 310018, China
  • Received:2020-12-08 Revised:2021-09-13 Online:2021-12-15 Published:2021-12-29
  • Contact: XIANG Zhong E-mail:xz@zstu.edu.cn

Abstract:

To reduce the flow resistance and improve the heat transfer efficiency of the heat-pipe heat exchanger, a non-uniform drop-shaped heat-pipe heat exchanger was developed. The computational fluid dynamics software ANSYS Fluent was used to simulate numerically the flow and heat transfer characteristics of the traditional staggered heat pipe arrays, drop-shaped heat-pipe arrays, and nonuniformly distributed drop-shaped heat-pipe arrays. The Nusselt numbers, friction coefficient and comprehensive index of heat transfer characteristics under different Reynolds numbers were obtained and compared with empirical formula to validate the feasibility. The results of comparative analysis show that compared with the traditional staggered heat-pipe array, the drop-shaped heat-pipe array has a larger effective heat transfer area without vortex in internal fluid flow, and it has a higher Nusselt number and a smaller friction coefficient with better comprehensive heat transfer characteristics. Moreover, the flow turbulence in the drop-shaped heat-pipe array is increased through the non-uniform design, and the Nusselt number is increased simultaneously, resulting in the increase of the heat transfer characteristics.

Key words: non-uniform heat-pipe heat exchanger, heat-pipe array, heat transfer characteristic, numerical simulation, non-uniform design, heat transfer efficiency, waste heat recovery

CLC Number: 

  • TK124

Fig.1

Structure of non-uniform drop-shaped heat-pipe heat array. (a) Three-dimensional model of non-uniform pipe diameter array; (b) Two-dimensional model of non-uniform pipe diameter structure; (c) Two-dimensional model of non-uniform distribution of tube spacing structure"

Fig.2

Local view of staggered circular heat-pipe array. (a) Small diameter; (b) Large diameter"

Fig.3

Local two-dimensional model of uniform drop-shaped heat-pipe array"

Tab.1

Structural parameters of heat-pipe array"

结构类型 宽度L/mm 长度W/mm 管径d/mm 管数N 横向间距s/mm 纵向间距t/mm
非均布
水滴形
结构
管距非均布 480 1 000 40 61 55,80 80
60,77
65,73
管径非均布 480 1 000 44,40,36 61 70 80
47,40,33
50,40,30
均布水滴形结构 480 1 000 40 61 70 80
错排圆
形结构
大直径 480 1 000 40 61 70 80
小直径 480 1 000 54 61 70 80

Tab.2

Thermodynamic parameters of air for simulation"

T/K Cp/
(J·kg-1·K-1)
λ/
(W·m-1·K-1)
η×105/
(kg·m-1·s-1)
293 1 005 0.025 9 1.81
323 1 005 0.028 3 1.96
373 1 009 0.032 1 2.19
433 1 017 0.036 4 2.45
473 1 026 0.039 3 2.60
623 1 059 0.049 1 3.14

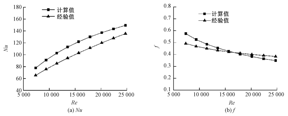
Fig.4

Comparison of Nu and f by numerical simulation and empirical formulas"

Fig.5

Flow field diagram of small diameter circular heat-pipe array structure. (a) Cloud diagram of velocity distribution; (b) Velocity flow diagram"

Fig.6

Velocity flow diagram of droplet-shaped heat-pipe array with non-uniform pipe diameter"

Fig.7

Temperature cloud of heat-pipe array structure. (a) Small diameter circular heat-pipe array; (b) Non-uniform distributed drop-shaped heat-pipe array"

Fig.8

Heat transfer characteristic diagram of different heat-pipe array structures"

Fig.9

Heat transfer characteristics of non-uniform drop-shaped heat-pipe with different tube spacing"

Fig.10

Heat transfer characteristics of different pipe diameters with non-uniform distribution of drop-shaped heat-pipes"

[1] OGULATA R T. Utilization of waste-heat recovery in textile drying[J]. Applied Energy, 2004, 79(1):41-49.
doi: 10.1016/j.apenergy.2003.12.002
[2] JOUHARA H, OLABI A G. Editorial: industrial waste heat recovery[J]. Energy, 2018, 160:1-2.
doi: 10.1016/j.energy.2018.07.013
[3] 王巧丽. 余热回收翅片管换热器传热与流体力学特性研究[D]. 广州: 华南理工大学, 2012: 11-12.
WANG Qiaoli. Study on heat transfer and fluid dynamics performances of the finned tube heat exchanger for waste heat recovery[D]. Guangzhou: South China University of Technology, 2012: 11-12.
[4] 高兴辉, 周帼彦, 涂善东. 缠绕管式换热器壳程强化传热性能影响因素分析[J]. 化工学报, 2019, 70(7):2456-2471.
GAO Xinghui, ZHOU Guoyan, TU Shandong. Study on effects of structural parameters on shell-side heat transfer enhancement in spiral wound heat exchangers[J]. CIESC Journal, 2019, 70(7):2456-2471.
[5] BARI S, HOSSAIN S N. Waste heat recovery from a diesel engine using shell and tube heat exchanger[J]. Applied Thermal Engineering, 2013, 61(2):355-363.
doi: 10.1016/j.applthermaleng.2013.08.020
[6] KALLANNAVAR S, MASHYAL S, RAIANGALE M. Effect of tube layout on the performance of shell and tube heat exchangers[J]. Materials Today: Proceedings, 2020, 27(1):263-267.
doi: 10.1016/j.matpr.2019.10.151
[7] SARRA K, LAUNAY S, TADRIST L. Analysis of enhanced vapor desuperheating during condensation inside a plate heat exchanger[J]. International Journal of Thermal Sciences, 2016, 105:96-108.
doi: 10.1016/j.ijthermalsci.2016.03.001
[8] KUMAR V, TIWARI A K, GHOSH S K. Effect of variable spacing on performance of plate heat exchanger using nanofluids[J]. Energy, 2016, 114:1107-1119.
doi: 10.1016/j.energy.2016.08.091
[9] ROBERTO C, GIUSEPPE B, DAVIDE D B, et al. Experimental and numerical analyses on a plate heat exchanger with phase change for waste heat recovery at off-design conditions[J]. Journal of Physics: Conference Series, 2015, 655(1):12-38.
[10] WANG Y X, HAN X X, LIANG Q Q, et al. Experimental investigation of the thermal performance of a novel concentric condenser heat pipe array[J]. International Journal of Heat and Mass Transfer, 2015, 82:170-178.
doi: 10.1016/j.ijheatmasstransfer.2014.11.045
[11] LIU D, TANG G F, ZHAO F Y, et al. Modeling and experimental investigation of looped separate heat pipe as waste heat recovery facility[J]. Applied Thermal Engineering, 2006, 26(17/18):2433-2441.
doi: 10.1016/j.applthermaleng.2006.02.012
[12] SRIMUANG W, AMATACHAVA P. A review of the applications of heat pipe heat exchangers for heat recovery[J]. Renewable and Sustainable Energy Reviews, 2012, 16(6):4303-4315.
doi: 10.1016/j.rser.2012.03.030
[13] FAGHRI A, BUCHKO M. Experimental and numerical analysis of low-temperature heat pipes with multiple heat sources[J]. Journal of Heat Transfer, 1991, 113(3):728-734.
doi: 10.1115/1.2910624
[14] ALIZADEHDAKHEL A, RAHIMI M, ALSAIRAFI A A. CFD modeling of flow and heat transfer in a thermosyphon[J]. International Communications in Heat and Mass Transfer, 2010, 37(3):312-318.
doi: 10.1016/j.icheatmasstransfer.2009.09.002
[15] KANG S W, WEI W C, TSAI S H, et al. Experimental investigation of silver nano-fluid on heat pipe thermal performance[J]. Applied Thermal Engineering, 2006, 26(17):2377-2382.
doi: 10.1016/j.applthermaleng.2006.02.020
[16] KHAN W A, CULHAM J R, YOVANOVICH M M. Convection heat transfer from tube banks in crossflow: analytical approach[J]. International Journal of Heat and Mass Transfer, 2006, 49(25/26):4831-4838.
doi: 10.1016/j.ijheatmasstransfer.2006.05.042
[17] RAZZAGHI H, LAVEGHI M, GOODARZI S, et al. Numerical analysis of the effects of changeable transverse and longitudinal pitches and porous media inserts on heat transfer from an elliptic tube bundle[J]. Journal of Theoretical & Applied Mechanics, 2014, 52(3):767-780.
[18] LEE D, AHN J, SHIN S. Uneven longitudinal pitch effect on tube bank heat transfer in cross flow[J]. Applied Thermal Engineering, 2013, 51(1):937-947.
doi: 10.1016/j.applthermaleng.2012.10.031
[19] 赵兰萍, 杨志刚. 管间距对矩形翅片椭圆管换热管束性能的影响[J]. 同济大学学报(自然科学版), 2016, 44(1):150-154.
ZHAO Lanping, YANG Zhigang. Effect of tube pitches on performance rectangular finned elliptical tube bundles[J]. Journal of Tongji University(Natural Science), 2016, 44(1):150-154.
[20] 赵兰萍, 杨志刚. 管束排列方式对矩形翅片椭圆管束性能的影响[J]. 同济大学学报(自然科学版), 2016, 44(2):298-302.
ZHAO Lanping, YANG Zhigang. Effect of tube arrangement on performance of rectangular finned elliptical tube bundles[J]. Journal of Tongji Univer-sity (Natural Science), 2016, 44(2):298-302.
[21] 赵兰萍, 宋亚军, 杨志刚. 矩形翅片椭圆换热管束性能[J]. 同济大学学报(自然科学版), 2016, 44(7):1096-1100.
ZHAO Lanping, SONG Yajun, YANG Zhigang. Performance of rectangular finned elliptical tube heat exchanger[J]. Journal of Tongji University (Natural Science), 2016, 44(7):1096-1100.
[22] REFAEY H A, SULTAN A M, MOAWAD M, et al. Numerical investigations of the convective heat transfer from turbulent flow over staggered tube bank[J]. Journal of The Institution of Engineers (India): Series C, 2019, 100(6):983-993.
doi: 10.1007/s40032-018-0493-z
[23] 吴轩, 赵伶玲, 高腾. 水滴形管换热与阻力特性的数值研究[J]. 热能动力工程, 2018, 33(12):30-35.
WU Xuan, ZHAO Lingling, GAO Teng. Numerical simulation on the heat exchange and flow resistance of water drop-shaped tube[J]. Journal of Engineering for Thermal Energy and Power, 2018, 33(12):30-35.
[24] 杨世铭, 陶文铨. 传热学[M]. 4版. 北京: 高等教育出版社, 2006: 261.
YANG Shiming, TAO Wenquan. Heat transfer theory[M]. 4th ed. Beijing: Higher Education Press, 2006: 261.
[25] 余建祖. 换热器原理与设计[M]. 北京: 北京航空航天大学出版社, 2005: 56.
YU Jianzu. Principle and design of heat exchanger[M]. Beijing: Beihang University Press, 2005: 56.
[26] 董艺玮. 圆柱扰流的流动稳定性和传热特性分析[D]. 天津:天津大学, 2017: 22-25.
DONG Yiwei. Flow stability and heat transfer characteristics of flow past a cylinder[D]. Tianjin: Tianjin University, 2017: 22-25.
[1] ZHOU Haobang, SHEN Min, YU Lianqing, XIAO Shichao. Effect of structural parameter of relay nozzles on characteristics of flow field in profiled reed of air jet loom [J]. Journal of Textile Research, 2021, 42(11): 166-172.
[2] MOU Haolei, XIE Jiang, PEI Hui, FENG Zhenyu, GENG Hongzhang. Ballistic impact tests and numerical simulation of aramid fabric and containment ring [J]. Journal of Textile Research, 2021, 42(11): 56-63.
[3] SHI Qianqian, WANG Jiang, ZHANG Yuze, LIN Huiting, WANG Jun. Numerical analysis on formation mechanism of airflow field in rotor spinning unit [J]. Journal of Textile Research, 2021, 42(02): 180-184.
[4] CHU Xi, QIU Hua. Flow simulations of ring swirl nozzle under different inlet pressure conditions [J]. Journal of Textile Research, 2020, 41(09): 33-38.
[5] DING Ning, LIN Jie. Free convection calculation method for performance prediction of thermal protective clothing in an unsteady thermal state [J]. Journal of Textile Research, 2020, 41(01): 139-144.
[6] LI Sihu, SHEN Min, BAI Cong, CHEN Liang. Influence of structure parameter of auxiliary nozzle in air-jet loom on characteristics of flow field [J]. Journal of Textile Research, 2019, 40(11): 161-167.
[7] CHEN Xu, WU Bingyang, FAN Ying, YANG Musheng. Numerical simulation of low temperature protection process for heat storage fabrics [J]. Journal of Textile Research, 2019, 40(07): 163-168.
[8] ZHENG Zhenrong, ZHI Wei, HAN Chenchen, ZHAO Xiaoming, PEI Xiaoyuan. Numerical simulation of heat transfer of carbon fiber fabric under impact of heat flux [J]. Journal of Textile Research, 2019, 40(06): 38-43.
[9] CAO Haijian, CHEN Hongxia, HUANG Xiaomei. Numerical simulation of side compressive properties on glass fiber/epoxy resin sandwich composite [J]. Journal of Textile Research, 2019, 40(05): 59-63.
[10] GUO Zhen, LI Xinrong, BU Zhaoning, YUAN Longchao. Three-dimensional numerical simulation of fiber movement in nozzle of murata vortex spinning [J]. Journal of Textile Research, 2019, 40(05): 131-135.
[11] GUANG Shaobo, JIN Yuzhen, ZHU Xiaochen. Analysis on airflow field in extended nozzle of air jet loom [J]. Journal of Textile Research, 2019, 40(04): 135-139.
[12] LIU Qiannan, ZHANG Han, LIU Xinjin, SU Xuzhong. Simulation on tensile mechanical properties of three-elementary weave woven fabrics based on ABAQUS [J]. Journal of Textile Research, 2019, 40(04): 44-50.
[13] SHANG Shanshan, YU Chongwen, YANG Jianping, QIAN Xixi. Numerical simulation of airflow field in vortex spinning process [J]. Journal of Textile Research, 2019, 40(03): 160-167.
[14] SHI Qianqian, AKANKWASA Nicholus Tayari, LIN Huiting, ZHANG Yuze, WANG Jun. Comparative analysis of rotor spinning machines and yarn performance between conventional and dual-feed rotor spinning [J]. Journal of Textile Research, 2019, 40(02): 63-68.
[15] . Numerical simulation for twisting chamber of air jet vortex spinning based on hollow spindle with spiral guiding grooves [J]. Journal of Textile Research, 2018, 39(09): 139-145.
Viewed
Full text


Abstract

Cited

  Shared   
  Discussed   
[1] . [J]. JOURNAL OF TEXTILE RESEARCH, 2003, 24(06): 35 -36 .
[2] . [J]. JOURNAL OF TEXTILE RESEARCH, 2003, 24(06): 107 .
[3] . [J]. JOURNAL OF TEXTILE RESEARCH, 2003, 24(06): 109 -620 .
[4] . [J]. JOURNAL OF TEXTILE RESEARCH, 2004, 25(02): 101 -102 .
[5] . [J]. JOURNAL OF TEXTILE RESEARCH, 2004, 25(02): 105 -107 .
[6] . [J]. JOURNAL OF TEXTILE RESEARCH, 2004, 25(02): 108 -110 .
[7] . [J]. JOURNAL OF TEXTILE RESEARCH, 2004, 25(02): 111 -113 .
[8] PAN Xu-wei;GU Xin-jian;HAN Yong-sheng;CHENG Yao-dong. Research on quick response of apparel supply chain for collaboration[J]. JOURNAL OF TEXTILE RESEARCH, 2006, 27(1): 54 -57 .
[9] HUANG Xiao-hua;SHEN Ding-quan. Degumming and dyeing of pineapple leaf fiber[J]. JOURNAL OF TEXTILE RESEARCH, 2006, 27(1): 75 -77 .
[10] WANG Ju-ping;YIN Jia-min;PENG Zhao-qing;ZHANG Feng. Ultrasonic wave aided enzymatic washing of reactive dyed fabrics[J]. JOURNAL OF TEXTILE RESEARCH, 2006, 27(1): 93 -95 .