Journal of Textile Research ›› 2022, Vol. 43 ›› Issue (04): 33-39.doi: 10.13475/j.fzxb.20210500107

• Fiber Materials • Previous Articles     Next Articles

Electromagnetic wave absorption performance of loofah-based carbon materials

YE Wei1,2, YU Jin1,2, LONG Xiaoyun1,2(), SUN Qilong1,2, MA Yan1,2   

  1. 1. National & Local Joint Engineering Research Center of Technical Fiber Composites for Safety and Protection, Nantong University, Nantong, Jiangsu 226019, China
    2. School of Textiles and Clothing, Nantong University, Nantong, Jiangsu 226019, China
  • Received:2021-05-06 Revised:2021-09-27 Online:2022-04-15 Published:2022-04-20
  • Contact: LONG Xiaoyun E-mail:lxy1988@ntu.edu.cn

Abstract:

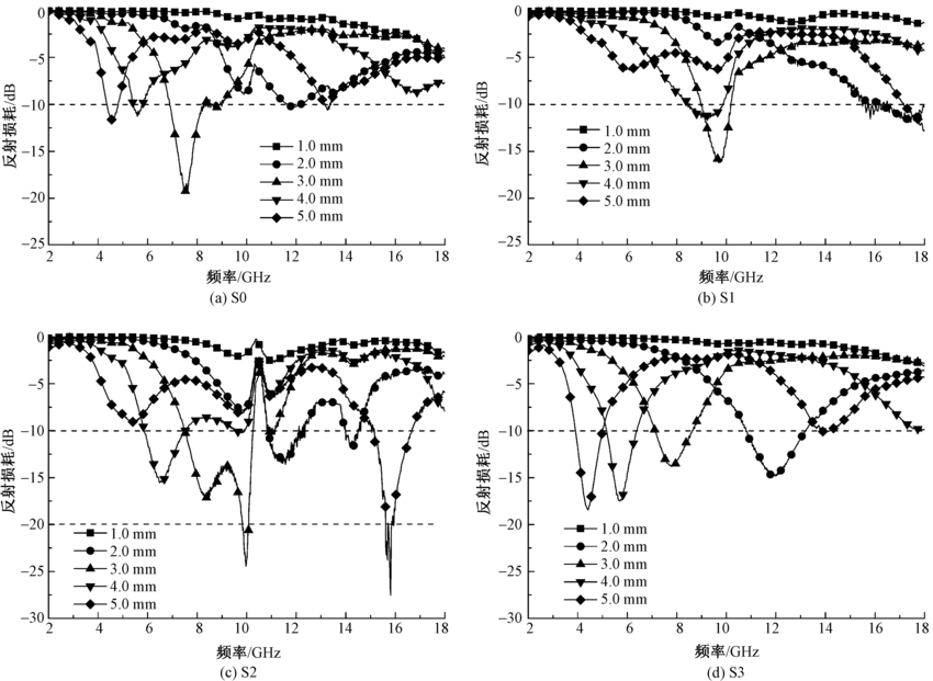
In order to develop a novel fibrous electromagnetic wave absorbing material, natural loofah was used as the base material of a carbon mesh, with Fe3O4 loaded onto the surface and internal pores of the loofah fiber through in-situ hybridization. The material properties were characterized and analyzed by scanning electron microscope, X-ray photoelectron spectrometer, vibrating sample magnetometer hysteresis loop analysis and electromagnetic parameter analysis. Results show that loofah-based carbon material preserves the special hollow structure, Fe3O4 particles are uniformly distributed on the fiber surface and internal pores, and the synergy between dielectric loss, magnetic loss and fiber structure enhances the electromagnetic wave loss of the material. When the solubility of FeCl3 is 2 mol/L and the processing temperature is 700 ℃, in the range of 2-18 GHz, and the sample has a thickness of 3 mm, the electromagnetic wave loss reaches -24.37 dB at 9.97 GHz, and at 7.33-10.33 GHz the electromagnetic wave loss in the frequency band is less than -10 dB. The loofah fiber can be prepared into electromagnetic wave absorbing material with excellent performance through suitable carbonization and Fe3O4 loading process.

Key words: composite material, loofah fiber, Fe3O4, dielectric loss, magnetic loss, electromagnetic wave absorption, in-situ hybridization technology

CLC Number: 

  • TS101

Fig.1

Surface and cross-section SEM images and EDS spectra of loofah fiber. (a) Surface of S0(×1 000); (b) Surface of S2 (×1 000); (c) Cross-section of S2(×3 000); (d) EDS spectra of S0; (e) EDS spectra of S2"

Fig.2

XPS spectra of S0 (a), S2(b) samples and O element (c), Fe element(d) binding energy analysis of S2 sample"

Fig.3

Magnetic hysteresis loop of samples at room temperature"

Fig.4

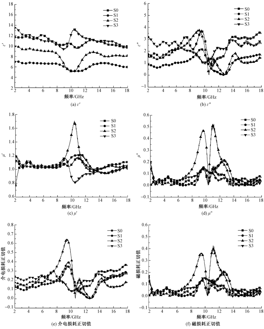
Electromagnetic parameters of sample at different treatment conditions. (a) ε'; (b) ε″; (c) μ'; (d) μ″; (e) Dielectric loss tangent; (f) Magnetic loss tangent"

Fig.5

Electromagnetic wave loss curve of sample in range of 2-18 GHz"

[1] CHEN W, LI S, CHEN C, et al. Self-assembly and embedding of nanoparticles by in situ reduced graphene for preparation of a 3D graphene/nanoparticle aerogel[J]. Advanced Materials, 2011, 23(47): 5679-5683.
doi: 10.1002/adma.201102838
[2] BAO C, SONG L, XING W, et al. Preparation of graphene by pressurized oxidation and multiplex reduction and its polymer nanocomposites by masterbatch-based melt blending[J]. Journal of Materials Chemistry, 2012, 22(13): 6088-6096.
doi: 10.1039/c2jm16203b
[3] BAI X, ZHAI Y, ZHANG Y. Green approach to prepare graphene-based composites with high microwave absorption capacity[J]. Journal of Physical Chemistry C, 2011, 115(23): 11673-11677.
doi: 10.1021/jp202475m
[4] PENG F, MENG F, GUO Y, et al. Intercalating hybrids of sandwich-like Fe3O4-graphite: synthesis and their synergistic enhancement of microwave absorption[J]. ACS Sustainable Chemistry & Engineering, 2018, 6(12): 16744-16753.
[5] PRASAD J, SINGH A K, TOMAR M, et al. Strong electromagnetic wave absorption and microwave shielding in the Ni-Cu@MoS2/rGO composite[J]. Journal of Materials Science: Materials in Electronics, 2019, 30(20): 18666-18677.
doi: 10.1007/s10854-019-02219-7
[6] HE P, HOU Z L, ZHANG K L, et al. Lightweight ferroferric oxide nanotubes with natural resonance property and design for broadband microwave absorption[J]. Journal of Materials Science, 2017, 52: 8258-8267.
doi: 10.1007/s10853-017-1041-6
[7] WAN Y, JIAN X, LI C, et al. Microwave absorption properties of FeCo-coated carbon fibers with varying morphologies[J]. Journal of Magnetism & Magnetic Materials, 2016, 399(1): 252-259.
[8] CHEN C, XI J, YIN H, et al. Ultralight graphene micro-popcorns for multifunctional composite applications[J]. Carbon, 2018, 139: 545-555.
doi: 10.1016/j.carbon.2018.07.020
[9] YAN C, CAO J, LV H, et al. In situ regulating aspect ratio of bamboo-like CNTs via CoxNi1-x-catalyzed growth to pursue superior microwave attenuation in X-band[J]. Inorganic Chemistry Frontiers, 2019, 6(1): 309-316.
doi: 10.1039/C8QI01102H
[10] TONG G, LIU F, WU W, et al. Rambutan-like Ni/MWCNT heterostructures: easy synthesis, formation mechanism, and controlled static magnetic and microwave electromagnetic characteristics[J]. Journal of Materials Chemistry A, 2014, 2(20): 7373-7382.
doi: 10.1039/c4ta00117f
[11] NAZIR A, YU H, WANG L, et al. Recent progress in the modification of carbon materials and their application in composites for electromagnetic interference shielding[J]. Journal of Materials Science, 2018, 53: 8699-8719.
doi: 10.1007/s10853-018-2122-x
[12] LUO Chunjia, TANG Yusheng, JIAO Tian. High-temperature stable and metal-free electromagnetic wave-absorbing SiBCN ceramics derived from carbon-rich hyperbranched polyborosilazanes[J]. ACS Applied Materials & Interfaces, 2018, 10(33): 28051-28061.
[13] YAN X, JI T, YE W. Surface modification of activated carbon fibers with Fe3O4 for enhancing their electromagnetic wave absorption property[J]. Journal of Nanomaterials, 2020(1): 1-14.
[14] QIU J, QIU T. Fabrication and microwave absorption properties of magnetite nanoparticle-carbon nanotube-hollow carbon fiber composites[J]. Carbon, 2015, 81: 20-28.
doi: 10.1016/j.carbon.2014.09.011
[15] SHAO Y, LU W, CHEN H, et al. Flexible ultra-thin Fe3O4/MnO2 core-shell decorated CNT composite with enhanced electromagnetic wave absorption perfor-mance[J]. Composites Part B: Engineering, 2018, 144: 111-117.
doi: 10.1016/j.compositesb.2018.02.015
[16] YAN L, HONG C, SUN B, et al. In situ growth of core-sheath heterostructural SiC nanowire arrays on carbon fibers and enhanced electromagnetic wave absorption performance[J]. ACS Applied Materials & Interfaces, 2017, 9(7): 6320-6331.
[17] ZHOU Z P, LAI C L, ZHANG L F, et al. Development of carbon nanofibers from aligned electrospun polyacrylonitrile nanofiber bundles and characterization of their microstructural, electrical, and mechanical properties[J]. Polymer, 2009, 50 (13): 2999-3006.
doi: 10.1016/j.polymer.2009.04.058
[18] YCA B, QSA B, LEI S, et al. Effect of preparation conditions on structure and electromagnetic wave absorption properties of sandwich-like Fe3O4-rGO nanocomposites-science direct[J]. Journal of Magnetism and Magnetic Materials, 2020, 503: 166656.
doi: 10.1016/j.jmmm.2020.166656
[19] ZHANG X, ZHU W, ZHANG W, et al. Preparation of TiO2/Fe3O4/CF composites for enhanced microwave absorbing performance[J]. Journal of Materials Science: Materials in Electronics, 2018, 29(9): 7194-7202.
doi: 10.1007/s10854-018-8707-y
[20] LO C K, XIAO D, CHOI M. Homocysteine-protected gold-coated magnetic nanoparticles: synthesis and characterisation[J]. Journal of Materials Chemistry, 2007, 17(23): 2418-2427.
doi: 10.1039/b617500g
[21] HO C H, TSAI C P, CHUNG C C, et al. Shape-controlled growth and shape-dependent cation site occupancy of monodisperse Fe3O4 nanoparticles[J]. Chemistry of Materials, 2011, 23(7): 1753-1760.
doi: 10.1021/cm102758u
[22] TURU Y, PETER H. Analysis of XPS spectra of Fe2+ and Fe3+ ions in oxide materials[J]. Applied Surface Science, 2008, 254: 2441-2449.
doi: 10.1016/j.apsusc.2007.09.063
[23] RITTER M, WEISS W. Fe3O4(III) surface structure determined by LEED crystallography[J]. Surface Science, 1999, 432(1/2): 81-94.
doi: 10.1016/S0039-6028(99)00518-X
[24] XIANG J, LI J, ZHANG X, et al. Magnetic carbon nanofibers containing uniformly dispersed Fe/Co/Ni nanoparticles as stable and high-performance electromagnetic wave absorbers[J]. Journal of Materials Chemistry A, 2014, 2(40): 16905-16914.
doi: 10.1039/C4TA03732D
[25] 叶伟, 孙雷, 余进, 等. 磁性颗粒/碳纤维轻质柔软复合材料制备及其吸波性能[J]. 纺织学报, 2019, 40(1): 97-102.
YE Wei, SUN Lei, YU Jin, et al. Preparation and microwave absorption property of flexible lightweight magnetic particles-carbon fiber composites[J]. Journal of Textile Research, 2019, 40 (1): 97-102.
[26] HAN Z, LI D, WANG H, et al. Broadband electromagnetic-wave absorption by FeCo/C nanocapsules[J]. Applied Physics Letters, 2009, 95(2): 1-3.
[1] LÜ Lihua, LI Zhen, ZHANG Duoduo. Preparation and properties of sound absorbing composites based on use of waste straw/polycaprolactone [J]. Journal of Textile Research, 2022, 43(01): 28-35.
[2] LI Bo, FAN Wei, GAO Xingzhong, WANG Shujuan, LI Zhihu. Carbon fiber reinforced epoxy based vitrimer composite material closed-loop recycling [J]. Journal of Textile Research, 2022, 43(01): 15-20.
[3] CHEN Hainiao, TIAN Wei, JIN Xiaoke, ZHANG Hongxia, LI Yanqing, ZHU Chengyan. Analysis on cross-sectional structure of moso bamboo using three-dimensional microscope imaging [J]. Journal of Textile Research, 2021, 42(12): 49-54.
[4] WEI Xiaoling, LI Ruixue, QIN Zhuo, HU Xinrong, LIN Fusheng, LIU Lingshan, GONG Xiaozhou. Key technologies for formation of warp T-shape preforms [J]. Journal of Textile Research, 2021, 42(11): 51-55.
[5] REN Libing, CHEN Li, JIAO Wei. Microstructure characterization of multi-layer interlocked woven preforms based on quadratic functions [J]. Journal of Textile Research, 2021, 42(08): 76-83.
[6] ZHOU Mengmeng, JIANG Gaoming, GAO Zhe, ZHENG Peixiao. Research progress in weft-knitted biaxial tubular fabric reinforced composites [J]. Journal of Textile Research, 2021, 42(07): 184-191.
[7] QIAO Cancan, JIANG Yaming, QI Yexiong, LIN Wenni, ZHANG Ye. Characterization of shock wave propagation in ceramic reinforced weft-knitted biaxial multilayer yarnlining fabric and woven fabrics composites [J]. Journal of Textile Research, 2021, 42(05): 84-89.
[8] SONG Xing, JIN Xiaoke, ZHU Chengyan, CAI Fengjie, TIAN Wei. 3D printing and mechanical properties of glass fiber/photosensitive resin composites [J]. Journal of Textile Research, 2021, 42(01): 73-77.
[9] LÜ Qingtao, ZHAO Shibo, DU Peijian, CHEN Li. Research status of fatigue properties characterization and analysis methods of resin matrix composites [J]. Journal of Textile Research, 2021, 42(01): 181-189.
[10] LI Haoyi, XU Hao, CHEN Mingjun, YANG Tao, CHEN Xiaoqing, YAN Hua, YANG Weimin. Research progress of noise reduction by nanofibers [J]. Journal of Textile Research, 2020, 41(11): 168-173.
[11] LI Liping, WU Daoyi, ZHAN Yikai, HE Min. Review on carbon fiber surface modification using electrophoretic deposition of carbon nanotubes and graphene oxide [J]. Journal of Textile Research, 2020, 41(06): 168-173.
[12] CHEN Lifu, YU Weidong. Stab resistance of composites with synthetic diamond filled polyimide resin matrix [J]. Journal of Textile Research, 2020, 41(05): 38-44.
[13] LI Peng, WAN Zhenkai, JIA Minrui. Damage monitoring of composite materials based on twist energy of carbon nanotube yarns [J]. Journal of Textile Research, 2020, 41(04): 58-63.
[14] ZHANG Hengyu, ZHANG Xiansheng, XIAO Hong, SHI Meiwu. Research progress of two-dimensional carbide in field of flexible electromagnetic absorbing [J]. Journal of Textile Research, 2020, 41(03): 182-187.
[15] LI Yuzhou, ZHANG Yufan, ZHOU Qingqing, CHEN Guoqiang, XING Tieling. Preparation and electrochemical properties of MnO2/graphene/cotton fabric composite electrode [J]. Journal of Textile Research, 2020, 41(01): 96-101.
Viewed
Full text


Abstract

Cited

  Shared   
  Discussed   
No Suggested Reading articles found!