Journal of Textile Research ›› 2022, Vol. 43 ›› Issue (11): 1-8.doi: 10.13475/j.fzxb.20210908508

• Fiber Materials •     Next Articles

Preparation and characterization of polylactic acid nanofiber drug loaded medical dressings

LI Liang1, PEI Feifei2, LIU Shuping3, TIAN Sujie4, XU Mengyuan3, LIU Rangtong3(), HAI Jun1   

  1. 1. Textile College, Zhongyuan University of Technology, Zhengzhou, Henan 451191, China
    2. The First Affiliated Hospital of Zhengzhou University, Zhengzhou, Henan 450052, China
    3. Fashion Technology College, Zhongyuan University of Technology, Zhengzhou, Henan 451191, China
    4. College of Textile Science and Engineering, Jiangnan University,Wuxi, Jiangsu 214122, China
  • Received:2021-09-22 Revised:2022-03-17 Online:2022-11-15 Published:2022-12-26
  • Contact: LIU Rangtong E-mail:ranton@126.com

Abstract:

In order to construct a self-degradable, antibacterial, anti-inflammatory, light, thin and soft medical dressings conducive to wound healing, nanofiber drug loaded dressings based on polylactic acid (PLA) was prepared by electrospinning technology with different mass fractions of amoxicillin. The microstructure, wettability, drug release, antibacterial and self-degradation properties of nanofiber films were analyzed by means of scanning electron microscope, infrared spectrometer, X-ray diffraction, contact angle tester and UV spectrophotometer. The results indicate that the PLA nanofiber dressings possess porous structure and the diameter of dressing fiber decreases with the increase of drug loading. When the drug loading is 3%, the average diameter of dressing fiber is 684 nm. There is no chemical reaction between amoxicillin and polylactic acid, suggesting that negative modification did not occur for the amoxicillin. Moreover, the wettability and antibacterial properties of drug loaded PLA nanofiber dressings are enhanced with the increase of drug loading. The antibacterial rate of nanofiber dressings with 3% drug loading is up to 91% for staphylococcus aureus. In addition, polylactic acid nanofiber dressings represent excellent in-vitro degradation performance, drug release ability and stable release rate, which are necessary for wound dressings.

Key words: polyalctic acid, nanofiber, medical dressings, antibacterial, drug sustained release

CLC Number: 

  • TS174.8

Fig.1

SEM images of polylactic acid nanofiber drug loaded dressing(×20 000). (a) Polylactic acid nanofiber; (b) Doped with 1% amoxicillin; (c) Doped with 2% amoxicillin;(d) Doped with 3% amoxicillin"

Fig.2

Fiber diameter distribution histogram of polylactic acid nanofiber drug loaded dressing. (a) Polylactic acid nanofiber; (b) Doped with 1% amoxicillin; (c) Doped with 2% amoxicillin; (d) Doped with 3% amoxicillin"

Tab.1

Solution property of PLA with different drug loadings"

载药量/% 黏度/(mPa·s) 电导率/(μS·cm-1)
0 74.2 1.56
1 69.4 1.97
2 66.8 2.52
3 67.1 2.84

Fig.3

Infrared spectra of polylactic acid nanofiber drug loaded dressing"

Fig.4

X-ray diffraction pattern of polylactic acid nanofiber drug loaded dressing"

Fig.5

Contact angle of polylactic acid nanofiber drug loaded dressing"

Fig.6

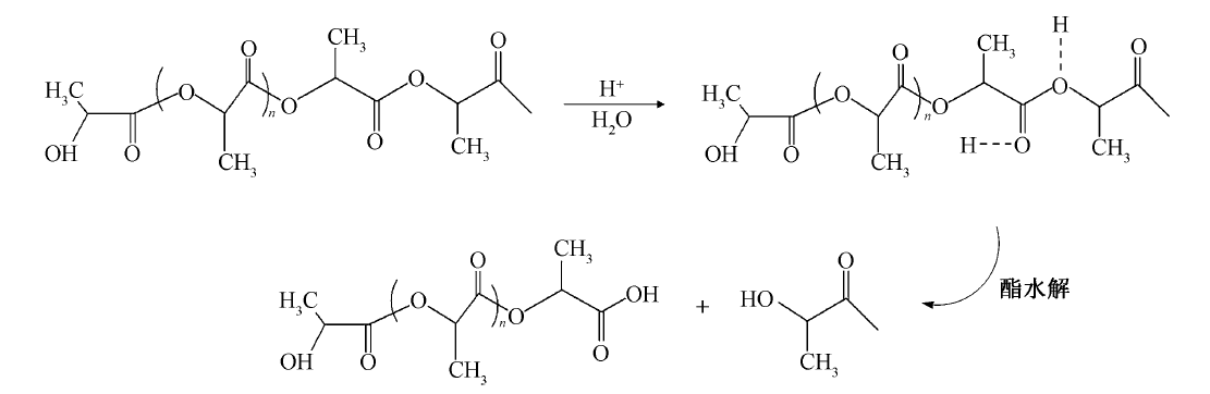
Degradation mechanism of polylactic acid nanofibers"

Fig.7

Degradation curve of polylactic acid nanofiber drug loaded dressing"

Fig.8

Simulated cumulative release curve of polylactic acid nanofiber drug loaded dressing in vitro"

Fig.9

Amoxicillin structural formula"

Fig.10

Antibacterial rate of polylactic acid nanofiber drug loaded dressing"

[1] 林建云, 罗时荷, 杨崇岭, 等. 生物基高分子型止血材料和伤口敷料[J]. 化学进展, 2021, 33(4): 581-595.
doi: 10.7536/PC200437
LIN Jianyun, LUO Shihe, YANG Chongling, et al. Bio-based polymeric hemostatic material and wound dressing[J]. Progress in Chemistry, 2021, 33(4): 581-595.
doi: 10.7536/PC200437
[2] QING Xiaoyan, HE Guanghua, LIU Zhongda, et al. Preparation and properties of polyvinyl alcohol/N-succinyl chitosan/lincomycin composite antibacterial hydrogels for wound dressing[J]. Carbohydrate Polymers, 2021.DOI: 10.1016/j.carbpol.2021.117875.
doi: 10.1016/j.carbpol.2021.117875
[3] HARRIOTT MELPHINE M, BHINDI N, KASSIS S, et al. Comparative antimicrobial activity of commercial wound care solutions on bacterial and fungal biofilms[J]. Annals of Plastic Surgery, 2019, 84(4):404-410.
[4] 谢海霞, 沈先荣, 葛卫红, 等. 胶原蛋白-壳聚糖-海藻酸盐复合敷料的促愈合作用[J]. 药物生物技术, 2016, 23(6):495-502.
XIE Haixia, SHEN Xianrong, GE Weihong, et al. The promoting effect of collagen-chitosan-alginate composition dressing on wound healing of rat[J]. Pharmaceutical Biotechnology, 2016, 23(6):495-502.
[5] 崔智慧, 张雅菲, 田田, 等. 国产氧化纤维素可吸收止血纱布对大鼠皮肤伤口愈合影响的机制研究[J]. 河北医科大学学报, 2019, 40(10):1193-1196.
CUI Zhihui, ZHANG Yafei, TIAN Tian, et al. A mechanism study about the effect of oxidized cellulose absorbable hemostatic gauze on skin wound healing in rats[J]. Journal of Hebei Medical University, 2019, 40(10):1193-1196.
[6] 李晶, 薛斌. 新型医用敷料的分类及特点[J]. 中国组织工程研究, 2013, 17(12):2225-2232.
LI Jing, XUE Bin. Insight into new medical dressings: classification and characteristics[J]. Chinese Journal of Tissue Engineering Research, 2013, 17(12):2225-2232.
[7] 樊梦妮, 陈晓蕾, 陈俊鹏, 等. 水凝胶医用敷料的研究进展[J]. 生物加工过程, 2021, 19(3): 294-305.
FAN Mengni, CHEN Xiaolei, CHEN Junpeng, et al. Research progress of hydrogel medical dressings[J]. Chinese Journal of Bioprocess Engineering, 2021, 19(3): 294-305.
[8] CHEN Xiangyan, LI Hongjin, QIAN Xiaoni, et al. Agarose oligosaccharide-silver nanoparticle-antimicrobial peptide-composite for wound dressing[J]. Carbohydrate Polymers, 2021.DOI: 10.1016/j.carbpol.2021.118258.
doi: 10.1016/j.carbpol.2021.118258
[9] ALEXA-MARIA Croitoru, YASIN Karacelebi, ELIF Saatcioglu, et al. Electrically triggered drug delivery from novel electrospun poly(lactic acid)/graphene oxide/quercetin fibrous scaffolds for wound dressing applications[J]. Pharmaceutics, 2021, 13(7):957.
doi: 10.3390/pharmaceutics13070957
[10] 张慜晨, 高伟成. 创面愈合过程中巨噬细胞调控机制的研究进展[J]. 组织工程与重建外科杂志, 2019, 15(3): 204-207.
ZHANG Minchen, GAO Weicheng. Research progress of regulation mechanism of macrophages in wound healing[J]. Journal of Tissue Engineering and Reconstructive Surgery, 2019, 15(3):204-207.
[11] WINTER G D. Formation of the scab and the rate of epithelisation of superficial wounds in the skin of the young domestic pig[J]. Nature, 1962, 193:293-294.
doi: 10.1038/193293a0
[12] 张隐, 潘明珠. PHBV纳米纤维的静电纺丝及在生物医用领域的研究进展[J]. 高分子通报, 2021(1):17-27.
ZHANG Yin, PAN Mingzhu. Research progress of preparation of poly(3-hydroxybutyrate-co-3-hydroxyvalerate) nanofibers based on electrospinning and its applications in biomedicine fields[J]. Chinese Polymer Bulletin, 2021(1):17-27.
[13] RHO K S, JEONG L, LEE G, et al. Electrospinning of collagen nanofibers: effects on the behavior of normal human keratinocytes and early-stage wound healing[J]. Biomaterials, 2006, 27: 1452-1461.
pmid: 16143390
[14] SCHNEIDER A, WANG X Y, KAPLAN D L, et al. Biofunctionalized electrospun silk mats as a topical bioactive dressing for accelerated wound healing[J]. Acta Biomater, 2009, 5: 2570-2578.
doi: 10.1016/j.actbio.2008.12.013 pmid: 19162575
[15] MALEKI H, SEMNANI RAHBAR R, NAZIR A. Improvement of physical and mechanical properties of electrospun poly(lactic acid) nanofibrous struc-tures[J]. Iranian Polymer Journal, 2020, 29:841-51.
doi: 10.1007/s13726-020-00844-2
[16] BI H, FENG T, LI B, et al. In vitro and in vivo comparison study of electrospun PLA and PLA/PVA/SA fiber membranes for wound healing[J]. Polymers, 2020, 12(4):839.
doi: 10.3390/polym12040839
[17] 吴焕岭. 载药再生细菌纤维素纤维的制备及其表征[J]. 纺织学报, 2017, 38(5): 14-18.
WU Huanling. Preparation and characterization of drug-loaded regenerated bacterial cellulose fiber[J]. Journal of Textile Research, 2017, 38(5): 14-18.
[18] 唐志敏, 李彦, 王璐. 载有$\widetilde{Ɔ}$-聚赖氨酸的纳米纤维膜的制备及其抗菌性能评价[J]. 东华大学学报(自然科学版), 2021, 47(6): 22-28.
TANG Zhimin, LI Yan, WANG Lu. Preparation and antibacterial evaluation of nanofiber membrane loaded with $\widetilde{Ɔ}$-polylysine[J]. Journal of Donghua University(Natural Science), 2021, 47 (6): 22-28.
[19] BRUSINI R, VARNA M, COUVREUR P. Advanced nanomedicines for the treatment of inflammatory diseases[J]. Advanced Drug Delivery Reviews, 2020, 157 :161-178.
doi: 10.1016/j.addr.2020.07.010 pmid: 32697950
[20] 阮绵照. 基质影响聚合物结晶的实验研究[D]. 杭州: 浙江大学, 2006:7-8.
RUAN Mianzhao. Experimental study on the effect of matrix on polymer crystallization[D]. Hangzhou: Zhejiang University, 2006:7-8.
[21] 李亮, 杨劲草, 胡泽栋, 等. 水解条件对聚乳酸纤维强伸性能的影响[J]. 棉纺织技术, 2019, 49:36-39.
LI Liang, YANG Jincao, HU Zedong, et al. Influence of hydrolysis condition on strength & elongation of polylactic acid fiber[J] Cotton Textile Technology, 2019, 49:36-39.
[1] ZHANG Changhuan, LI Xianxian, ZHANG Liran, LI Deyang, LI Nianwu, WU Hongyan. Preparation and performance of lithium iron phosphate/carbon black/carbon nanofibers flexible cathode [J]. Journal of Textile Research, 2022, 43(11): 16-21.
[2] WANG Hongjie, HU Zhongwen, WANG He, FENG Quan, LIN Tong. Research progress in one-way water transport textiles and their applications [J]. Journal of Textile Research, 2022, 43(11): 195-202.
[3] CAO Congcong, TANG Longshi, LIU Yuanjun, ZHAO Xiaoming. Research progress of inorganic antibacterial fabrics [J]. Journal of Textile Research, 2022, 43(11): 203-211.
[4] YAO Ying, ZHAO Weitao, ZHANG Desuo, LIN Hong, CHEN Yuyue, WEI Hong. Preparation of dendritic nanofiber membrane induced by hyperbranched quaternary ammonium salt and its properties [J]. Journal of Textile Research, 2022, 43(10): 1-9.
[5] YU Yangxiao, LI Feng, WANG Yuyu, WANG Shanlong, WANG Jiannan, XU Jianmei. Preparation and properties of polypyrole/silk fibroin conductive nanofiber membranes [J]. Journal of Textile Research, 2022, 43(10): 16-23.
[6] XIONG Tanping, TAN Fei, HUANG Cheng, YAN Kelu, ZOU Ni, WANG Zheng, YE Jingping, JI Bolin. Antimicrobial properties of chloramine-grafted polyester/polyamide microfiber knitted fabrics [J]. Journal of Textile Research, 2022, 43(08): 101-106.
[7] ZHU Yanlong, GU Yingshu, GU Xiaoxia, DONG Zhenfeng, WANG Bin, ZHANG Xiuqin. Preparation and properties of poly(lactic acid)/ZnO fiber with antibacterial and anti-ultraviolet functions [J]. Journal of Textile Research, 2022, 43(08): 40-47.
[8] LI Weiping, YANG Guixia, CHENG Zhiqiang, ZHAO Chunli. Preparation and properties of polyvinylpyrrolidone/aloe composite nanofiber membrane [J]. Journal of Textile Research, 2022, 43(08): 55-59.
[9] LIU Jiao, CHEN Shaojuan, WU Shaohua. Preparation and properties of silk fibroin/poly(l-lactic acid) nanofiber yarns-based tendon patches [J]. Journal of Textile Research, 2022, 43(08): 60-66.
[10] YANG Yao, CHENG Wei, YU Yuanyuan, WANG Qiang, WANG Ping, ZHOU Man. Application of antibacterial and antibacterial adhesion finishing agents in cotton fabric modification [J]. Journal of Textile Research, 2022, 43(07): 104-110.
[11] NAN Qingqing, ZENG Qinghong, YUAN Jingxuan, WANG Xiaoqin, ZHENG Zhaozhu, LI Gang. Advances on antibacterial textiles [J]. Journal of Textile Research, 2022, 43(06): 197-205.
[12] QU Yun, MA Wei, LIU Ying, REN Xuehong. Antibacterial fiber membrane with photodegradation function based on polyhydroxybutyrate/polycaprolactone [J]. Journal of Textile Research, 2022, 43(06): 29-36.
[13] FEI Jianwu, LÜ Mingze, LIU Liwei, WANG Chunhong, HAN Zhenbang. Construction of air-liquid-solid tri-phase system from bilayer micro/nanofiber membrane and its photocatalytic performance [J]. Journal of Textile Research, 2022, 43(06): 37-43.
[14] OU Kangkang, QI Linya, HOU Yijun, FAN Tianhua, QI Kun, WANG Baoxiu, WANG Huaping. Preparation and properties of nanofiber-based unidirectional water-transport antibacterial wound dressings [J]. Journal of Textile Research, 2022, 43(06): 49-56.
[15] CHEN Feng, JI Zhongli, YU Wenhan, DONG Wuqiang, WANG Qianlin, WANG Deguo. Influence of nanofiber membrane wettability on gas-liquid filtration performance of sandwiched composite filters [J]. Journal of Textile Research, 2022, 43(05): 63-69.
Viewed
Full text


Abstract

Cited

  Shared   
  Discussed   
[1] . [J]. JOURNAL OF TEXTILE RESEARCH, 2003, 24(06): 33 -34 .
[2] . [J]. JOURNAL OF TEXTILE RESEARCH, 2003, 24(06): 35 -36 .
[3] . [J]. JOURNAL OF TEXTILE RESEARCH, 2003, 24(06): 107 .
[4] . [J]. JOURNAL OF TEXTILE RESEARCH, 2003, 24(06): 109 -620 .
[5] . [J]. JOURNAL OF TEXTILE RESEARCH, 2004, 25(01): 1 -9 .
[6] . [J]. JOURNAL OF TEXTILE RESEARCH, 2004, 25(02): 101 -102 .
[7] . [J]. JOURNAL OF TEXTILE RESEARCH, 2004, 25(02): 103 -104 .
[8] . [J]. JOURNAL OF TEXTILE RESEARCH, 2004, 25(02): 105 -107 .
[9] . [J]. JOURNAL OF TEXTILE RESEARCH, 2004, 25(02): 108 -110 .
[10] . [J]. JOURNAL OF TEXTILE RESEARCH, 2004, 25(02): 111 -113 .