Journal of Textile Research ›› 2022, Vol. 43 ›› Issue (10): 16-23.doi: 10.13475/j.fzxb.20210906708

• Fiber Materials • Previous Articles     Next Articles

Preparation and properties of polypyrole/silk fibroin conductive nanofiber membranes

YU Yangxiao1, LI Feng1, WANG Yuyu1, WANG Shanlong1, WANG Jiannan1,2, XU Jianmei1,2()   

  1. 1. College of Textile and Clothing Engineering, Soochow University, Suzhou, Jiangsu 215021, China
    2. Key Laboratory of Textile Industry for Silk Products in Medical and Health Use, Soochow University, Suzhou, Jiangsu 215123, China
  • Received:2021-09-06 Revised:2022-03-17 Online:2022-10-15 Published:2022-10-28
  • Contact: XU Jianmei E-mail:xujianmei@suda.edu.cn

Abstract:

In order to develop tissue regeneration materials with certain electrical conductivity, we prepared silk fibroin nanofiber membranes using electrospinning and further polypyrrole/silk fibroin conductive nanofiber membranes by in-situ oxidative polymerization. The effect of spinning parameters on the surface morphology of nanofiber membrane was studied. The electrical conductivity of nanofiber membrane was tested by the four-point probe. FT-IR spectrometer was used to characterize the chemical structure of nanofiber membrane. The results showed that silk fibroin nanofiber membranes have an even surface with less beads, with an average fiber diameter of (520.70±140.81) nm, when solution concentration was 0.16 g/mL, flow rate 0.2 mL/h, voltage 20 kV, rotating speed 1 000 r/min. Polypyrrole/silk fibroin conductive nanofiber membranes was prepared by in-situ oxidative polymerization, and it retains its original nano fiber structure, and the electrical conductivity is (0.44±0.07) S/cm, when the pyrrole concentration was 0.3 mol/L, dopant concentration 0.3 mol/L, the ratio of fixed pyrrole to oxidant 1∶2, and the polymerization time 6 h.

Key words: polypyrrole, silk fibroin, electrospinning, in-situ oxidative polymerization, conductive nanofiber membrane

CLC Number: 

  • TS101.4

Fig.1

Surface morphology(×3 000) (a) and diameter distribution (b) of silk fibroin nanofiber membranes with different mass concentrations of spinning solution"

Fig.2

Surface morphology(×3 000)(a) and diameter distribution(b) of silk fibroin nanofiber membranes with different flow rates"

Fig.3

Surface morphology(×3 000)(a) and diameter distribution(b) of silk fibroin nanofiber membranes with different voltages"

Fig.4

Surface morphology(×3 000)(a) and diameter distribution(b) of silk fibroin nanofiber membranes with different rotating speeds"

Fig.5

Polymerization process of polypyrrole. (a)Formation of radical cations; (b)Formation of bipyrrole; (c)Formation of bipyrrole radical cations; (d)Formation of polypyrrole long chain; (e)Doping process of polypyrrole"

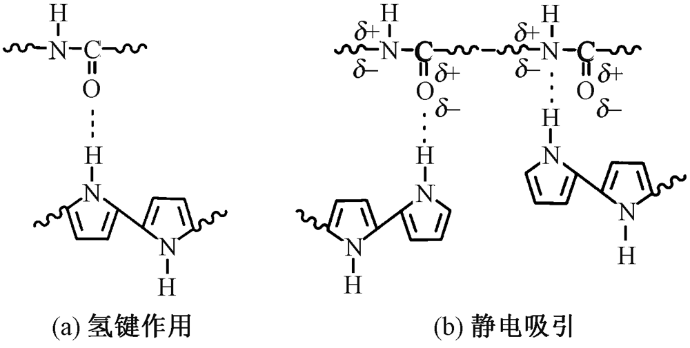
Fig.6

Interaction between polypyrrole and silk fibroin. (a)Hydrogen bonding interaction; (b)Electrostatic attraction"

Fig.7

Surface morphology of polypyrole/silk fibroin nanofiber membranes with different molar ratios(×2 000). (a) Surfaces in contact with air;(b) Surface in contact with solution"

Fig.8

Electrical conductivity of polypyrole/silk fibroin nanofiber membranes with different molar ratios"

Fig.9

FT-IR spectra of samples"

[1] ESLAHI N, REZA M, JOGHATAEI M T, et al. The effects of poly L-lactic acid nanofiber scaffold on mouse spermatogonial stem cell culture[J]. International JournaL of Nanomedicine, 2013, 8: 4563-4576.
[2] 贾琳, 陈莉娜, 张海霞, 等. 聚氨酯/胶原蛋白复合纳米纤维支架的性能[J]. 纺织学报, 2016, 37(8): 1-6.
JIA Lin, CHEN Li'na, ZHANG Haixia, et al. Performance of composite polyurethane/collagen nanofiber scaffolds[J]. Journal of Textile Research, 2016, 37(8): 1-6.
doi: 10.1177/004051756703700101
[3] ALTMAN G H, DIAZ F, JAKUBA C. Silk-based biomaterials[J]. Biomaterials, 2003, 24(3): 401-416.
pmid: 12423595
[4] 姜雨淋, 王卉, 张克勤. 生物3D打印用丝素蛋白基凝胶墨水的研究进展[J]. 纺织学报, 2021, 42(11): 1-8.
JIANG Yulin, WANG Hui, ZHANG Keqin. Research progress of silk fibroin-based hydrogel bioinks for 3D bio-printing[J]. Journal of Textile Research, 2021, 42(11): 1-8.
doi: 10.1177/004051757204200101
[5] LI X F, ZHANG Q, LUO Z W, et al. Biofunctionalized silk fibroin nanofibers for directional and long neurite outgrowth[J]. Biointerphases, 2019. DOI: 10.1063/1.5120738.
doi: 10.1063/1.5120738
[6] SCHMIDT C E, SHASTRI V R, VACANTI J P, et al. Stimulation of neurite outgrowth using an electrically conducting polymer[J]. Proceedings of the National Academy of Sciences of the United States of America, 1997, 94(17): 8948-8953.
pmid: 9256415
[7] LEE M H, PARK Y J, HONG S H, et al. Pulsed electrical stimulation enhances consistency of directional migration of adipose-derived stem cells[J]. Cells, 2021. DOI: 10.3390/cells10112846.
doi: 10.3390/cells10112846
[8] LONG Y, LI J, YANG F, et al. Wearable and implantable electroceuticals for therapeutic electrostimulations[J]. Advanced Science, 2020. DOI: 10.1002/advs.202004023.
doi: 10.1002/advs.202004023
[9] FUNK R H W. Endogenous electric fields as guiding cue for cell migration[J]. Frontiers in Physiology, 2015. DOI: 10.3389/fphys.2015.00143.
doi: 10.3389/fphys.2015.00143
[10] VAITKUVIENE A, KASETA V, VORONOVIC J, et al. Evaluation of cytotoxicity of polypyrrole nanoparticles synthesized by oxidative polymerization[J]. Journal of Hazardous Materials, 2013, 250: 167-174.
[11] KIM S, OH W K, JEONG Y S, et al. Cytotoxicity of, and innate immune response to, size-controlled polypyrrole nanoparticles in mammalian cells[J]. Biomaterials, 2011, 32(9): 2342-2350.
doi: 10.1016/j.biomaterials.2010.11.080 pmid: 21185594
[12] SUN B B, ZHOU Z F, LI D W, et al. Polypyrrole-coated poly(L-lactic acid-co-epsilon-caprolactone)/silk fibroin nanofibrous nerve guidance conduit induced nerve regeneration in rat[J]. Materials Science & Engineering C-Materials for Biological Applications, 2019, 94: 190-199.
[13] ZHAO Y H, NIU C M, SHI J Q, et al. Novel conductive polypyrrole/silk fibroin scaffold for neural tissue repair[J]. Neural Regeneration Research, 2018, 13(8): 1455-1464.
doi: 10.4103/1673-5374.235303
[14] ZHAO Y H, LIANG Y Y, DING S P, et al. Application of conductive PPy/SF composite scaffold and electrical stimulation for neural tissue engineering[J]. Biomaterials, 2020, 255: 120-164.
[15] LEE J Y, BASHUR C A, GOLDSTEIN A S, et al. Polypyrrole-coated electrospun PLGA nanofibers for neural tissue applications[J]. Biomaterials, 2009, 30(26): 4325-4335.
doi: 10.1016/j.biomaterials.2009.04.042 pmid: 19501901
[16] XU Y X, HUANG Z B, PU X M, et al. Fabrication of chitosan/polypyrrole-coated poly(L-lactic acid)/polycaprolactone aligned fibre films for enhancement of neural cell compatibility and neurite growth[J]. Cell Proliferation, 2019. DOI: 10.1111/cpr.12588.
doi: 10.1111/cpr.12588
[17] QI F Y, WANG Y Q, MA T, et al. Electrical regulation of olfactory ensheathing cells using conductive polypyrrole/chitosan polymers[J]. Biomaterials, 2013, 34(7): 1799-1809.
doi: 10.1016/j.biomaterials.2012.11.042 pmid: 23228424
[18] LIANG Y S, MITRIASHKIN A, LIM T T, et al. Conductive polypyrrole-encapsulated silk fibroin fibers for cardiac tissue engineering[J]. Biomaterials, 2021. DOI: 10.1016/j.biomaterials.2021.12100.
doi: 10.1016/j.biomaterials.2021.12100
[19] 李永舫. 导电聚吡咯的研究[J]. 高分子通报, 2005(4): 51-57.
LI Yongfang. Studies on conducting polypyrrole[J]. Polymer Bulletin, 2005(4): 51-57.
[20] XIA Y Y, LU Y. Fabrication and properties of conductive conjugated polymers/silk fibroin composite fibers[J]. Composites Science and Technology, 2008, 68(6): 1471-1479.
doi: 10.1016/j.compscitech.2007.10.044
[21] 于波, 徐学诚. 聚吡咯结构与导电性能的研究[J]. 华东师范大学学报(自然科学版), 2014(4): 77-87.
YU Bo, XU Xuecheng. Structure-conductive property relationship of polypyrrole[J]. Journal of East China Normal University (Natural Science Edition), 2014(4): 77-87.
[22] YURTSEVER M, YURTSEVER E. Structural studies of polypyrroles: I: an ab-initio evaluation of bonding through alpha and beta carbons[J]. Synthetic Metals, 1999, 98(3): 221-227.
doi: 10.1016/S0379-6779(98)00195-7
[23] HAN F, LIU S, LIU X, et al. Woven silk fabric-reinforced silk nanofibrous scaffolds for regenerating load-bearing soft tissues[J]. Acta Biomaterialia, 2014, 10(2): 921-930.
doi: 10.1016/j.actbio.2013.09.026 pmid: 24090985
[24] JIN X, WANG H, LIU Y M, et al. Hydrogen-bonding power interfacial load transfer of carbon fabric/polypyrrole composite pseudosupercapacitor electrode with improved electrochemical stability[J]. Applied Surface Science, 2019, 470: 783-791.
doi: 10.1016/j.apsusc.2018.11.125
[1] YANG Jizhen, LIU Qiangfei, HE Ruidong, WU Shaohua, HE Hongwei, NING Xin, ZHOU Rong, DONG Xianglin, QI Guishan. Research progress in high efficiency and low resistance air filter materials [J]. Journal of Textile Research, 2022, 43(10): 209-215.
[2] HU Chengye, ZHOU Xinru, FAN Mengjing, HONG Jianhan, LIU Yongkun, HAN Xiao, ZHAO Xiaoman. Preparation and properties of skin-core structure micro/nano fiber composite yarns [J]. Journal of Textile Research, 2022, 43(09): 95-100.
[3] LI Weiping, YANG Guixia, CHENG Zhiqiang, ZHAO Chunli. Preparation and properties of polyvinylpyrrolidone/aloe composite nanofiber membrane [J]. Journal of Textile Research, 2022, 43(08): 55-59.
[4] LIU Jiao, CHEN Shaojuan, WU Shaohua. Preparation and properties of silk fibroin/poly(l-lactic acid) nanofiber yarns-based tendon patches [J]. Journal of Textile Research, 2022, 43(08): 60-66.
[5] QU Yun, MA Wei, LIU Ying, REN Xuehong. Antibacterial fiber membrane with photodegradation function based on polyhydroxybutyrate/polycaprolactone [J]. Journal of Textile Research, 2022, 43(06): 29-36.
[6] LI Aiyuan, SHI Xinyu, YUE Wanfu, YOU Weiyun. Preparation and property of silk fibroin based hydrogel scaffolds [J]. Journal of Textile Research, 2022, 43(06): 44-48.
[7] OU Kangkang, QI Linya, HOU Yijun, FAN Tianhua, QI Kun, WANG Baoxiu, WANG Huaping. Preparation and properties of nanofiber-based unidirectional water-transport antibacterial wound dressings [J]. Journal of Textile Research, 2022, 43(06): 49-56.
[8] GU Zhanghong, YAO Xiang, WANG Jinsi, ZHANG Yaopeng. Preparation and properties of single-layer and parallel silk fibroin fiber patterns with cell adhesion contrast properties [J]. Journal of Textile Research, 2022, 43(05): 1-6.
[9] LI Qin, LI Xingxing, XIE Fangfang, ZHOU Wenlong, CHEN Kaiyi, LIU Yuqing. Research progress in nanocellulose energy storage materials based on electrospinning and carbonization methods [J]. Journal of Textile Research, 2022, 43(05): 178-184.
[10] CHEN Feng, JI Zhongli, YU Wenhan, DONG Wuqiang, WANG Qianlin, WANG Deguo. Influence of nanofiber membrane wettability on gas-liquid filtration performance of sandwiched composite filters [J]. Journal of Textile Research, 2022, 43(05): 63-69.
[11] CHEN Mingjun, LI Haoyi, YANG Weimin. Physical model and effects of electric field on jets in polymer melt differential electrospinning [J]. Journal of Textile Research, 2022, 43(05): 70-76.
[12] SUN Zheru, ZHANG Qingle, HAO Lincong, CHENG Lu, XIA Xin. Preparation and performance of polyurethane/polydimethylsiloxane waterproof and moisture permeable membrane with star like topological geometry structure [J]. Journal of Textile Research, 2022, 43(04): 40-46.
[13] LEI Caihong, YU Linshuang, ZHU Hailin, ZHENG Tao, CHEN Jianyong. Hemostasis properties of silk fibroin materials under different types of hydrolysis [J]. Journal of Textile Research, 2022, 43(04): 15-19.
[14] JIN Xu, LIU Fang, DU Xuan, HUA Chao, GONG Xuzhong, ZHANG Xiuqin, WANG Bin. Research progress in nanofiber supported nano zero-valent-iron based materials in environmental remediation [J]. Journal of Textile Research, 2022, 43(03): 201-209.
[15] ZHANG Yu, LIU Laijun, LI Chaojing, JIN Qiaoqiao, XIE Qianyang, LI Peilun, WANG Fujun, WANG Lu. Preparation of exosome-functionalized shish-kebab fibrous membrane and its osteogenic differentiation ability [J]. Journal of Textile Research, 2022, 43(03): 24-30.
Viewed
Full text


Abstract

Cited

  Shared   
  Discussed   
No Suggested Reading articles found!