Journal of Textile Research ›› 2024, Vol. 45 ›› Issue (03): 114-121.doi: 10.13475/j.fzxb.20230202401

• Dyeing and Finishing Engineering • Previous Articles     Next Articles

Preparation and application properties of chitosan fluorescent anti-counterfeiting printing coating

LI Manli1,2, JI Zhihao3, LONG Zhu1, WANG Yifeng2, JIN Enqi3()   

  1. 1. College of Textile Science and Engineering, Jiangnan University, Wuxi, Jiangsu 214122, China
    2. Zhejiang Furun Co., Ltd., Shaoxing, Zhejiang 311800, China
    3. Key Laboratory of Clean Dyeing and Finishing Technology of Zhejiang Province, Shaoxing University, Shaoxing, Zhejiang 312000, China
  • Received:2023-02-13 Revised:2023-12-22 Online:2024-03-15 Published:2024-04-15
  • Contact: JIN Enqi E-mail:jdkxxh_2001@163.com

Abstract:

Objective In order to tackle the low fluorescence intensity and photobleaching resistance of organic fluorescent anti-counterfeiting printing coatings commonly used in textile printing and dyeing industry, aggregation-induced emission (AIE) fluorophore-tetraphenyl ethylene (TPE) labeled chitosan (CS) fluorescent anti-counterfeiting coatings were prepared and their application properties were investigated.

Method The typical AIE monomer-tetraphenyl ethylene-isothiocyanate (TPE-ITC) was synthesized initially. The TPE-ITC product was characterized by Fourier transform infrared spectroscopy (FT-IR) and MALDI-TOF mass spectrometry (MS). The study took CS as the representative of bio-based polymer paints, labeled different amounts of TPE fluorophores onto CS using the TPE-ITC as fluorescent monomers, and prepared a series of TPE-CS fluorescent paints with different degrees of labeling (DL). The series of TPE-CS products were characterized by FT-IR and 1H-nuclear magnetic resonance (1H-NMR) to confirm the labeling of TPE fluorophores. Main application properties of the TPE-CS paints, such as fluorescence intensity, photobleaching resistance and thermal stability, were evaluated. Anti-counterfeit printing on cotton fabric was carried out using the TPE-CS coatings and the common color fastness of the printed fabric was tested systematically according to the national standards.

Results FT-IR and MS spectra confirmed that the synthetic product was the expected AIE fluorescent monomer TPE-ITC. FT-IR and 1H-NMR spectra proved that TPE fluorophores were successfully grafted onto the molecular chain of CS. The higher was the feed concentration of TPE-ITC monomers, the higher was the DL of TPE-CS. TGA thermograms illustrated that TPE-CS (DL of 2.56%) had nearly the same thermal stability with unlabeled CS. With the increase in the DL, the fluorescence intensity of TPE-CS showed a gradual increase, reflecting its unique AIE advantage. The TPE-CS coating was colorless and thus its printing pattern on the fabric had good concealment in the sunlight. On the contrary, because of the high fluorescence quantum yield of the AIE fluorophores, the TPE-CS coating was found to emit blue fluorescence under ultraviolet light, and the printing pattern on the fabric could be easily recognized with the naked eye. With the increase in the DL of the TPE-CS, the fluorescent intensity of the printing patterns on the fabric kept increasing. Compared with aggregation caused quenching (ACQ) fluorophore labeled CS, the anti-counterfeiting TPE-CS coatings exhibited superior fluorescence intensity and photobleaching resistance. Even if the DL of TPE-CS was only 1.43%, the relative fluorescence intensity of the anti-counterfeit coating solution (1 000 mg/L) could exceed 1 090. After exposure to high-intensity ultraviolet light for 1 h, the relative fluorescence intensity of the solution still reached 94.9% of that before photobleaching. The common color fastness ratings for the fabric printed by TPE-CS 3# were all above level 3.

Conclusion Labeling AIE fluorophore TPE onto CS macromolecule is one of the effective methods to prepare high-performance organic polymer fluorescent anti-counterfeiting printing paint. The high heat stability of CS is not affected by the labeling of TPE group. The TPE-CS anti-counterfeiting coating within the appropriate range of the DL is sufficient to withstand the baking temperature during printing. In addition, the fluorescence emission intensity of TPE-CS is much higher than that of F-CS after UV photobleaching with the same time and intensity. The use of TPE-CS fluorescent anti-counterfeiting coatings can solve the problems of the ones labeled by ACQ fluorophore, such as low fluorescence emission intensity and weak photobleaching resistance. Taking the application properties and preparation cost into serious consideration, TPE-CS with the DL of 1.43% shows good fluorescence emission performance and high photobleaching resistance and thus the DL value is appropriate. The fabric printed by the TPE-CS coating possesses high fastness to sunlight. Therefore, it can compensate for the lack of sunlight resistance of ACQ fluorescent paints and is suitable for long-term outdoor use. The AIE fluorophore labeled bio-based polymer has great potential to be widely used in the field of textile fluorescent anti-counterfeiting printing as a kind of environment-friendly coating with extensive sources and excellent performance. The preparation and application of TPE-CS fluorescent printing coating can overcome the defects of commonly used fluorescent paints and can be used as an important reference for the preparation of other kinds of AIE fluorophores labeled bio-based fluorescent coatings, such as starch, cellulose, and protein.

Key words: tetraphenyl ethylene, chitosan, fluorescent coating, printing coating, fluorescence emission property, photobleaching resistance, thermal stability, fluorescent anti-counterfeiting printing

CLC Number: 

  • TS194.2

Fig.1

Schematic diagram of preparation of TPE-ITC"

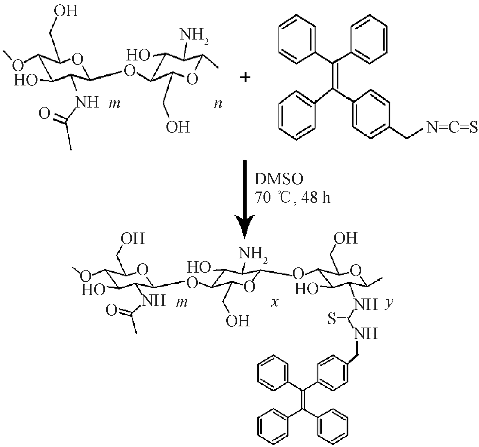
Fig.2

Schematic diagram of preparation of TPE-CS"

Fig.3

FT-IR spectrum of TPE-ITC"

Fig.4

Mass spectrum of TPE-ITC"

Fig.5

FT-IR spectra of unlabeled CS and TPE-CS"

Fig.6

1H-NMR spectra of unlabeled CS and TPE-CS. (a)Unlabeled CS; (b) TPE-CS 1#; (c)TPE-CS 2#;(d)TPE-CS 3#;(e)TPE-CS 4#"

Tab.1

Labeling degrees of TPE-CS synthesized under different fluorescent monomer concentrations"

TPE-CS
编号
荧光单体占CS
结构单元的
摩尔分数/%
吸光度 TPE的质量
浓度/
(g·L-1)
标记率/
%
1# 0.64 0.339 0.006 6 0.27
2# 1.28 0.503 0.013 2 0.55
3# 2.56 1.016 0.033 8 1.43
4# 5.12 1.640 0.058 8 2.56

Fig.7

TGA thermograms of unlabeled CS (a)and TPE-CS 4#(b)"

Fig.8

Fluorescence spectra of TPE-CS solutions with different labeling degrees (λex=328 nm)"

Fig.9

Photos of cotton fabrics printed by TPE-CS anti-counterfeit coatings in sunlight (a) and UV light(b)"

Tab.2

"

耐皂洗色牢度 耐摩擦色牢度 耐日晒色
牢度
褪色 白布沾色 湿
4 4~5 3~4 3 4~5

Fig.10

Fluorescence spectra of TPE-CS 3# solution before and after photobleaching (λex=328 nm)"

Fig.11

Fluorescence spectra of F-CS solution before and after photobleaching (λex=438 nm)"

[1] ZHANG M X, CHEN J C, WANG M L, et al. Electron beam-induced preparation of aie non-woven fabric with excellent fluorescence durability[J]. Applied Surface Science, 2021. DOI: 10.1016/j.apsusc.2020.148382.
[2] PRAVEEN V K, VEDHANARAYANAN B, MAL A, et al. Self-assembled extended π-systems for sensing and security applications[J]. Accounts of Chemical Research, 2020, 53(2): 496-507.
doi: 10.1021/acs.accounts.9b00580 pmid: 32027125
[3] BASTA A, MISSORI M, GIRGIS A S, et al. Novel fluorescent security marker: part II: application of novel 6-alkoxy-2-amino-3,5-pyridinedicarbonitrile nanoparticle in safety paper[J]. Accounts of Chemical Research, 2020, 53(2): 496-507.
doi: 10.1021/acs.accounts.9b00580
[4] 汪娟丽, 李玉虎. 荧光防伪涂料的制备及其在陶质文物标识中的应用[J]. 涂料工业, 2017, 47(7): 40-44.
WANG Juanli, LI Yuhu. Preparation of fluorescent anti-counterfeit coatings and its application in marks of ceramic cultural relics[J]. Paint & Coatings Industry, 2017, 47(7): 40-44.
[5] HU W T, LI T, LIU X, et al. 1550 nm pumped upconversion chromaticity modulation in Er3+ doped double perovskite LiYMgWO6 for anti-counterfeiting[J]. Journal of Alloys and Compounds, 2020. DOI: 10.1016/j.jallcom.2019.152933.
[6] WANG Z K, CHEN S J, LAM J W Y, et al. Long-term fluorescent cellular tracing by the aggregates of AIE bioconjugates[J]. Journal of the American Chemical Society, 2013, 135(22): 8238-8245.
doi: 10.1021/ja312581r pmid: 23668387
[7] SU J, GAO Y, NI S N, et al. A safer and cleaner process for recovering thorium and rare earth elements from radioactive waste residue[J]. Journal of Hazardous Materials, 2021. DOI: 10.1016/j.jhazmat.2020.124654.
[8] IBRAHIM M E, ORABI A H, FALILA N I, et al. Processing of the mineralized black mica for the recovery of uranium, rare earth elements, niobium, and tantalum[J]. Hydrometallurgy, 2020. DOI: 10.1016/j.hydromet.2020.105474.
[9] LUO J D, XIE Z L, LAM J W Y, et al. Aggregation-induced emission of 1-methyl-1,2,3,4,5-pentaphenyl-silole[J]. Chemical Communications, 2001, 18: 1740-1741.
[10] 王双双, 季志浩, 盛国栋, 等. 零价铁/氧化石墨烯复合吸附剂对染料和重金属的吸附性能[J]. 纺织学报, 2022, 43(9): 156-166.
WANG Shuangshuang, JI Zhihao, SHENG Guodong, et al. Dye and heavy metal adsorption performance of zero-valent iron/grapheme oxide blend absorbent[J]. Journal of Textile Research, 2022, 43(9): 156-166.
[11] JIN E Q, WANG Z K, LI M L, et al. Fluorescent sizing agents based on aggregation-induced emission effect for accurate evaluation of permeability and coating property[J]. Fibers and Polymers, 2021, 22(5): 1218-1227.
doi: 10.1007/s12221-021-0452-9
[12] RUBINSON K A, RUBINSON J F. Contemporary instrumental analysis[M]. Beijing: Science Press, 2003:467-468,484-485.
[13] KEMP W. Qualitative organic analysis: spectrochemical techniques[M]. 2nd ed. London: McGraw-Hill Book Company (UK) Limited, 1986:46-47,126-129.
[14] 张清峰, 姜子涛, 郑国栋. 异硫氰酸酯-β-环糊精微胶囊的制备及其稳定性研究[J]. 现代食品科技, 2012, 28(8): 979-981, 985.
ZHANG Qingfeng, JIANG Zitao, ZHENG Guodong. Preparation, characterization and stability of allyl isothiocyanate-β-cyclodextrin microcapsules[J]. Modern Food Science and Technology, 2012, 28(8): 979-981, 985.
[15] 潘虹, 赵涛. 壳聚糖改性及其在抗菌方面的应用[J]. 纺织学报, 2011, 32(2): 96-101.
PAN Hong, ZHAO Tao. Antibacterial property of fabric treated with a fiber-reactive chitosan derivative[J]. Journal of Textile Research, 2011, 32(2): 96-101.
[16] JIN E Q, WU M J, WANG S S, et al. Preparation and application performance of graft-quaternization double modified chitosan electrospun antibacterial nanofibers[J]. Materials Today Communications, 2022. DOI: 10.1016/j.mtcomm.2022.103712.
[17] 贾园, 杨婷婷, 杨菊香, 等. 聚集诱导发光聚合物的制备及应用研究进展[J]. 高分子材料科学与工程, 2022, 38(6): 161-169.
JIA Yuan, YANG Tingting, YANG Juxiang, et al. Progress in preparation and application of polymers with aggregation induced emission characteristics[J]. Polymer Materials Science and Engineering, 2022, 38(6): 161-169.
[1] LI Lili, YUAN Liang, TANG Yuxia, YANG Wenju, WANG Hao. Tea pigment dyeing of cotton fabric modified with polydopamine/chitosan and its antibacterial and anti-ultraviolet properties [J]. Journal of Textile Research, 2024, 45(03): 106-113.
[2] LI Ping, ZHU Ping, LIU Yun. Preparation and properties of flame-retardant polyester-cotton fabrics with chitosan-based intumescent flame retardant system [J]. Journal of Textile Research, 2024, 45(02): 162-170.
[3] XIAO Hao, SUN Hui, YU Bin, ZHU Xiangxiang, YANG Xiaodong. Preparation of chitosan-SiO2 aerogel/cellulose/polypropylene composite spunlaced nonwovens and adsorption dye performance [J]. Journal of Textile Research, 2024, 45(02): 179-188.
[4] LEI Caihong, YU Linshuang, JIN Wanhui, ZHU Hailin, CHEN Jianyong. Preparation and application of silk fibroin/chitosan composite fiber membrane [J]. Journal of Textile Research, 2023, 44(11): 19-26.
[5] ZHANG Guangzhi, YANG Fusheng, FANG Jin, YANG Shun. One bath flame retardant finishing of polylactic acid nonwoven by phytic acid/chitosan/boric acid [J]. Journal of Textile Research, 2023, 44(10): 120-126.
[6] QIAN Chen, HUANG Boxiang, LI Yongqiang, WAN Junmin, FU Yaqin. Research progress on high temperature resistant modified reinforcing fiber sizing agents [J]. Journal of Textile Research, 2023, 44(09): 232-242.
[7] SHAO Yanzheng, SUN Jianghao, WEI Chunyan, LÜ Lihua. Preparation and properties of adsorption fiber made from cotton stalk bark microcrystalline cellulose/modified chitosan [J]. Journal of Textile Research, 2023, 44(08): 18-25.
[8] DI Youbo, CHEN Xieyang, YAN Zhifeng, YIN Xuan, QIU Chunli, MA Weiliang, ZHANG Xiangbing. Iron ion removal from seed hemp pulp based on synergistic effect of chitosan and polyvinyl alcohol [J]. Journal of Textile Research, 2023, 44(06): 175-182.
[9] DU Xun, CHEN Li, HE Jin, LI Xiaona, ZHAO Meiqi. Preparation and properties of colorimetric sensing nanofiber membrane with wound monitoring function [J]. Journal of Textile Research, 2023, 44(05): 70-76.
[10] FANG Yinchun, CHEN Lüxin, LI Junwei. Preparation and properties of flame retardant and superhydrophobic polyester/cotton fabrics [J]. Journal of Textile Research, 2022, 43(11): 113-118.
[11] HUANG Yaoli, LU Cheng, JIANG Jinhua, CHEN Nanliang, SHAO Huiqi. Thermal mechanical properties of polyimide fiber-reinforced polydimethylsiloxane flexible film [J]. Journal of Textile Research, 2022, 43(06): 22-28.
[12] ZHAO Bobo, WANG Liang, LI Jingyu, WAN Gang, XIA Zhaopeng, LIU Yong. Preparation and properties of hexamethylenetetramine cross-linked phenolic fibers [J]. Journal of Textile Research, 2022, 43(05): 57-62.
[13] WANG Chenmeizi, WANG Ling, ZHANG Qingle, WANG Ying, XIA Xin. Preparation and property of composite hydrogel nonwoven based fresh-keeping material [J]. Journal of Textile Research, 2022, 43(03): 132-138.
[14] CHENG Yue, HU Yingjie, FU Yijun, LI Dawei, ZHANG Wei. Preparation and properties of antibacterial hemostatic nonwoven elastic bandage [J]. Journal of Textile Research, 2022, 43(03): 31-37.
[15] ZHANG Tao, WANG Fuping, CHEN Guobao, WU Jiyu, PANG Yani, CHEN Zhongmin. Preparation and performance of chitosan-based antibacterial gel [J]. Journal of Textile Research, 2022, 43(03): 71-77.
Viewed
Full text


Abstract

Cited

  Shared   
  Discussed   
No Suggested Reading articles found!