Journal of Textile Research ›› 2024, Vol. 45 ›› Issue (04): 169-179.doi: 10.13475/j.fzxb.20230307401

• Dyeing and Finshing Engineering • Previous Articles     Next Articles

Acute toxic effects of antimony contaminants on green algae and cyanobacteria

LI Fang1,2, ZHANG Yili1, WANG Man1, MENG Xiangzhou2,3, SHEN Chensi1,2()   

  1. 1. College of Environmental Science and Engineering, Donghua University, Shanghai 201620, China
    2. Shanghai Institute of Pollution Control and Ecological Security, Shanghai 200092, China
    3. College of Environmental Science and Engineering, Tongji University, Shanghai 200092, China
  • Received:2023-03-31 Revised:2024-01-11 Online:2024-04-15 Published:2024-05-13

Abstract:

Objective Antimony (Sb) is utilized as a catalyst during the polymerization process of polyethylene terephthalate (PET) and it remains in PET fibers or textiles. When printing and dyeing PET, Sb will leach into wastewater and cause contamination, and it commonly exists in aquatic environments in two oxidation states: +3 and +5. Investigating their toxicological effects on aquatic ecosystems is highly necessary. Microalgae are the primary producers in aquatic ecosystems, and their short growth cycle and ease of isolation make them highly suitable for studying the toxic effects of Sb pollutants on aquatic ecosystems.

Method Representatives of green algae, Raphidocelis subcapitata and Chlamydomonas reinhardtii, and representatives of cyanobacteria, Synechococcus and Dolichospermum sp., were selected for investigation. The growth status of the microalgae was evaluated by measuring algal cell concentration, chlorophyll a, and soluble protein. The potential oxidative stress caused by exposure to Sb(Ⅲ) and Sb(V) was assessed by measuring the activities of superoxide dismutase (SOD) and catalase (CAT). The potential damage to microalgal was determined through subcellular structure observation by TEM. Additionally, the adsorption or absorption of Sb(Ⅲ) and Sb(V) by microalgae were quantified to determine the extent of adsorption relative to their growth status.

Results The results revealed that under different concentrations of Sb(Ⅲ) and Sb(V) stress for 72 h, Hormesis effect was observed in four algae species, i.e. Raphidocelis subcapitata, Chlamydomonas reinhardtii, Synechococcus, Dolichospermum sp. Sb(Ⅲ) had a more potent inhibitory effect on microalgae, with up to a 76.6% reduction in growth, compared to Sb(V) which only resulted in a 41.0% decrease. Green algae were found to be more vulnerable to Sb-induced stress compared to cyanobacteria. The toxic impact of Sb on microalgae was primarily attributed to the impairment of their photosynthetic machinery and the occurrence of oxidative damage. Alterations in the synthesis of chlorophyll a and soluble protein content in microalgae indicated similar trends in response to growth inhibition, but the impact on cyanobacteria was less pronounced. Additionally, the activities of SOD and CAT in green algae exhibited a pattern of promotion at low concentrations and inhibition at high concentrations, while cyanobacteria showed a variable pattern of changes. Subcellular examination of microalgae revealed that Chlamydomonas reinhardtii experienced damage to the cell wall, nucleus, chloroplasts, and other organelles, whereas Synechococcus suffered damage mainly to the photosynthetic system. Further, all four microalgae had greater sorption and uptake of Sb(Ⅲ) than Sb(V), but there was no clear correlation between the uptake or sorption of antimony by microalgae and their tolerance to antimony stress.

Conclusion Antimony contamination has become an increasing concern, and it is essential to comprehend the toxicity and toxic mechanisms of Sb of different valence. This study found that the toxicity of Sb(Ⅲ) to microalgae is significantly higher than that of Sb(V), and that green algae are more sensitive to Sb stress than blue algae. When the exposure concentration of Sb(Ⅲ) is below 0.05 mg/L and the exposure concentration of Sb(V) is below 0.2 mg/L, the toxicity impact on microalgae is relatively small. The mechanisms by which Sb affects microalgae are primarily associated with harm to the photosynthetic system and oxidative stress. Under Sb(Ⅲ) stress, the cell wall, nucleus, chloroplasts, and other organelles of green algae are damaged, while in blue-green algae, the photosynthetic system is primarily affected. The above research results are expected to provide certain basis for a comprehensive assessment of the ecological risks of Sb pollutants.

Key words: Sb pollution, cyanobacteria, green algae, toxic effect, wastewater treatment

CLC Number: 

  • X173

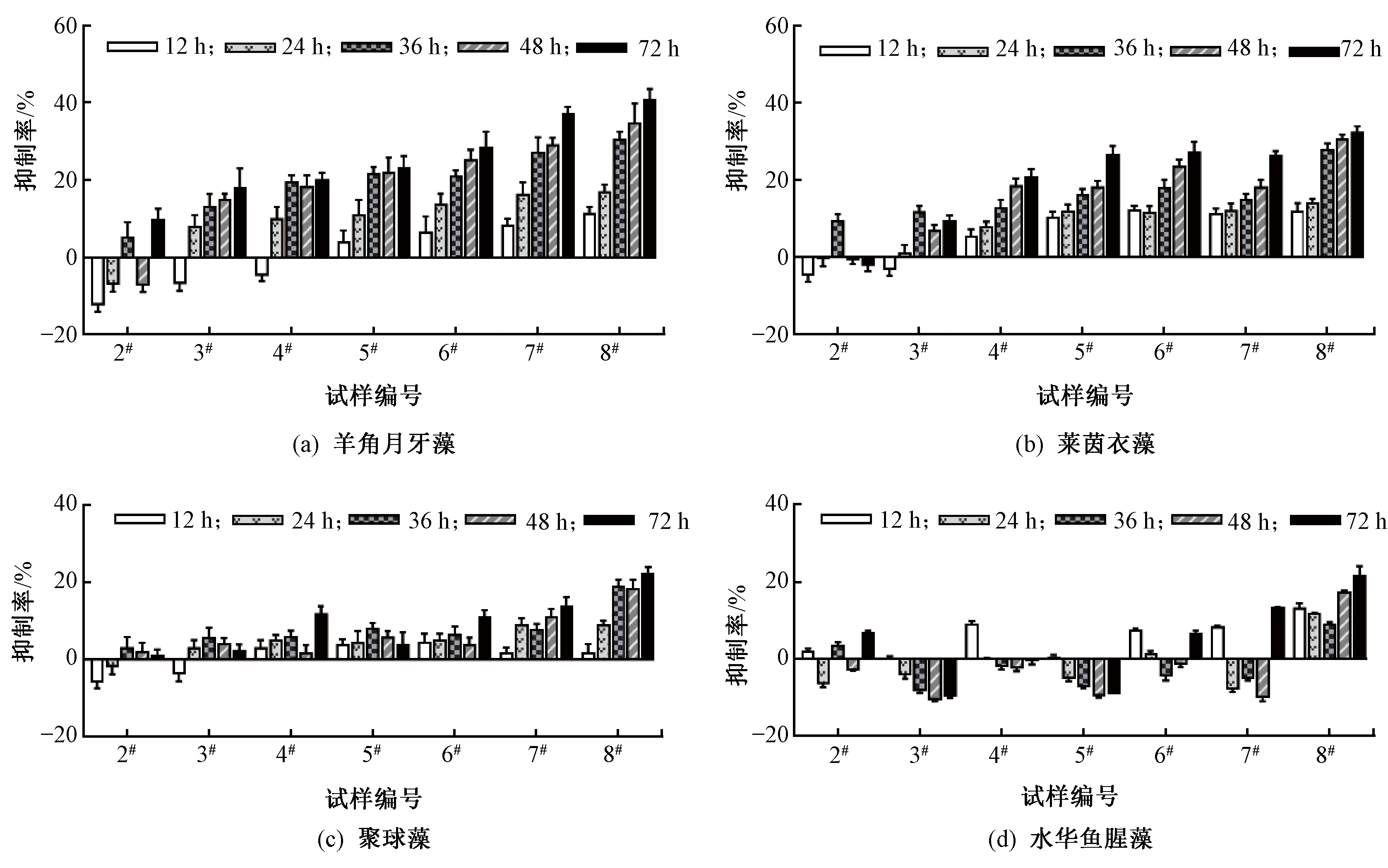
Fig.1

Sb (Ⅲ) inhibition rates on Raphidocelis subcapitata(a), Chlamydomonas reinhardtii(b), Synechococcus(c) and Dolichospermum sp.(d)"

Fig.2

Sb (Ⅴ) inhibition rates on Raphidocelis subcapitata(a), Chlamydomonas reinhardtii(b), Synechococcus(c) and Dolichospermum sp.(d)"

Fig.3

Effects of Sb(Ⅲ) and Sb(Ⅴ) on chlorophyll a of algae. (a) Raphidocelis subcapitata; (b) Chlamydomonas reinhardtii; (c) Synechococcus; (d) Dolichospermum sp."

Fig.4

Effects of Sb(Ⅲ) and Sb(Ⅴ) on soluble protein of algae. (a) Raphidocelis subcapitata; (b) Chlamydomonas reinhardtii; (c) Synechococcus; (d) Dolichospermum sp."

Fig.5

Effects of Sb(Ⅲ) and Sb(Ⅴ) on SOD of algae. (a) Raphidocelis subcapitata; (b) Chlamydomonas reinhardtii; (c) Synechococcus; (d) Dolichospermum sp."

Fig.6

Effects of Sb(Ⅲ) and Sb(Ⅴ) on CAT of algae. (a) Raphidocelis subcapitata; (b) Chlamydomonas reinhardtii; (c) Synechococcus; (d) Dolichospermum sp."

Fig.7

TEM images of Chlamydomonas reinhardtii and Synechococcus. (a) Control groups of Chlamydomonas reinhardtii; (b) Experimental groups of Chlamydomonas reinhardtii; (c) Control groups of Synechococcus; (d) Experimental groups of Synechococcus"

Tab.1

Removal rates of Sb(Ⅲ) and Sb(Ⅴ) by microalgae after 72 h"

Sb质量浓度/
(mg·L-1)
Sb(Ⅲ)去除率/% Sb(V)去除率/%
羊角月牙藻 莱茵衣藻 聚球藻 水华鱼腥藻 羊角月牙藻 莱茵衣藻 聚球藻 水华鱼腥藻
0.02 25.2±1.9 73.4±0.9 24.9±1.6 20.1±0.9 57.7±3.0 49.3±0.8 65.1±2.5 58.0±2.0
0.05 44.7±1.3 66.5±0.8 37.2±1.5 34.1±1.4 48.3±2.6 57.4±1.6 58.8±2.3 52.6±1.0
0.1 60.2±1.8 52.8±1.2 39.1±1.4 33.9±1.6 41.1±0.9 51.7±1.0 49.4±2.1 57.7±1.9
0.2 62.5±2.5 30.2±0.8 45.5±2.7 47.9±2.1 33.3±2.4 40.0±0.5 30.6±1.5 59.2±1.2
0.5 68.7±2.3 26.3±1.2 35.5±2.1 52.8±2.2 36.7±4.0 40.3±1.1 25.3±2.7 49.0±1.8
1 73.2±1.8 19.3±1.1 30.6±2.4 48.9±1.8 39.8±2.2 31.3±0.7 23.9±2.8 20.5±1.5
2 76.7±3.7 10.2±0.8 32.4±3.1 52.4±0.8 38.9±3.9 30.8±1.2 21.0±1.6 19.0±1.8
[1] 章耀鹏, 沈忱思, 徐晨烨, 等. 纺织工业典型污染物治理技术回顾[J]. 纺织学报, 2021, 2(8): 24-33.
ZHANG Yaopeng, SHEN Chensi, XU Chenye, et al. Review on treatment technology for typical pollutants in textile industry[J]. Journal of Textile Research, 2021, 42(8): 24-33.
[2] 狄惠琴, 张沂頔, 王洪涛. 化纤纺织染整废水中锑污染控制策略[J]. 工业水处理, 2021, 41(12): 22-28.
doi: 10.19965/j.cnki.iwt.2020-1014
DI Huiqin, ZHANG Yidi, WANG Hongtao. Strategies on antimony pollution control in the chemical fiber textile dyeing and finishing wastewater[J]. Industrial Water Treatment, 2021, 41(12): 22-28.
doi: 10.19965/j.cnki.iwt.2020-1014
[3] 李方. 纺织工业排污许可证管理与污染防治技术[M]. 北京: 中国环境科学出版社, 2020: 46.
LI Fang. Emission permit management and pollution prevention technology for the textile industry[M]. Beijing: China Environmental Science Press, 2020: 46.
[4] 董冲冲. 涤纶生命周期中重金属锑的来源解析及检测[D]. 上海: 东华大学,2016: 14.
DONG Chongchong. Source analysis and detection of heavy matals antimony in the life cycle of polyester[D]. Shanghai: Donghua University, 2016: 14.
[5] 李航彬, 杨志辉, 袁平夫, 等. 湘中锑矿区土壤重金属锑的污染特征[J]. 环境科学与技术, 2011, 34(1): 70-74.
LI Hangbin, YANG Zhihui, YUAN Pingfu, et al. Characteristics of antimony pollution in soils at mining areas in central Hunan Province[J]. Environmental Science & Technology, 2011, 34(1): 70-74.
[6] UNGUREANU G, SANTOS S, BOAVENTURA R, et al. Arsenic and antimony in water and wastewater: overview of removal techniques with special reference to latest advances in adsorption[J]. Journal of Environmental Management, 2015, 151(15): 326-342.
[7] 任杰, 刘晓文, 李杰, 等. 我国锑的暴露现状及其环境化学行为分析[J]. 环境化学, 2020, 39(12): 3436-3449.
REN Jie, LIU Xiaowen, LI Jie, et al. Analysis of exposure status quo and environmental chemical behaviors of antimony in China[J]. Environmental Chemistry, 2020, 39(12): 3436-3449.
[8] 沈忱思, 刘志保, 章耀鹏, 等. 纺织印染行业锑排放特征与治理技术[J]. 西安工程大学学报, 2022, 36(3): 9-19.
SHEN Chensi, LIU Zhibao, ZHANG Yaopeng, et al. Characteristics and control technologies of antimony discharge in textile printing and dyeing industry[J]. Journal of Xi'an Polytechnic University, 2022, 36(3): 9-19.
[9] ALHO L, SOUZA J, ROCHA G S, et al. Photosynthetic, morphological and biochemical biomarkers as tools to investigate copper oxide nanoparticle toxicity to a freshwater chlorophyceae[J]. Environmental Pollution, 2020. DOI: 10.1016/j.envpol.2020.114856.
[10] 何孟常, 万红艳. 环境中锑的分布、存在形态及毒性和生物有效性[J]. 化学进展, 2004(1): 131-135.
HE Mengchang, WAN Hongyan. Distribution, speciation, toxicity and bioavailability of antimony in the environment.[J]. Progress in Chemistry, 2004(1): 131-135.
[11] 冯人伟, 韦朝阳, 涂书新. 植物对锑的吸收和代谢及其毒性的研究进展[J]. 植物学报, 2012, 47(3): 302-308.
doi: 10.3724/SP.J.1259.2012.00302
FENG Renwei, WEI Chaoyang, TU Shuxin. Research advances in uptake, metabolism and toxicity of antimony in plants[J]. Chinese Bulletin of Botany, 2012, 47(3): 302-308.
[12] MARKIEWICZ M, MROZIK W, REZWAN K, et al. Changes in zeta potential of imidazolium ionic liquids modified minerals: implications for determining mechanism of adsorption[J]. Chemosphere, 2013, 90(2): 706-712.
[13] ARNON D. Copper enzymes in isolated chloroplasts.Polyphenoloxidases in Beta vulgaris[J]. Plant Physiol, 1949, 24(1): 1-15.
[14] GEORGIOU C D, GRINTZALIS K, ZERVOUDAKIS G, et al. Mechanism of coomassie brilliant blue G-250 binding to proteins: a hydrophobic assay for nanogram quantities of proteins[J]. Analytical & Bioanalytical Chemistry, 2008, 391(1): 391-403.
[15] CAI Y, MU W J, JIA K, et al. Effects of three nanomaterials on growth, photosynthetic characteristics and production of reactive oxygen species of diatom Nitzschia Palea[J]. Chemistry and Ecology, 2022, 38(2): 145-161.
[16] GARRIDO I, ORTEGA A, HERNÁNDEZ M, et al. Effect of antimony in soils of an Sb mine on the photosynthetic pigments and antioxidant system of Dittrichia viscosa leaves[J]. Environmental Geochemistry and Health, 2021, 43(4): 1367-1383.
[17] LI D, HE T, SALEEM M, et al. Metalloprotein-specific or critical amino acid residues: perspectives on plant-precise detoxification and recognition mechanisms under cadmium stress[J]. International Journal of Molecular Sciences, 2022, 23: 1734-1754.
[18] LI N, QIN L, JIN M, et al. Extracellular adsorption, intracellular accumulation and tolerance mechanisms of Cyclotella sp. to Cr(VI) stress[J]. Chemosphere, 2021. DOI: 10.1016/j.chemosphere.2020.128662.
[19] REZAYIAN M, NIKNAM V, EBRAHIMZADEH H. Oxidative damage and antioxidative system in algae[J]. Toxicology Reports, 2019(6): 1309-1313.
[20] 孔祥雪, 李宝珍, 杨金水. 微藻去除重金属镉的抗性机理研究进展[J]. 微生物学通报, 2017, 44(8): 1980-1987.
KONG Xiangxue, LI Baozhen, YANG Jinshui. Research progress in microalgae resistance to cadmium stress[J]. Microbiology China, 2017, 44(8): 1980-1987.
[21] WANG C, WANG X, WANG P, et al. Effects of iron on growth, antioxidant enzyme activity, bound extracellular polymeric substances and microcystin production of Microcystis aeruginosa FACHB-905[J]. Ecotoxicology & Environmental Safety, 2016, 132: 231-239.
[22] 王静. 铜绿微囊藻中砷的代谢与生物效应[D]. 天津: 天津大学,2012: 36-37.
WANG Jing. Metabolism and biological effects of arsenic in Microcystis aeruginosa[D]. Tianjin: Tianjin University, 2012: 36-37.
[23] 吴健. 不同结构类型离子液体对蛋白核小球藻的毒性研究[D]. 杭州: 浙江工商大学,2018: 48.
WU Jian. Toxicity of ionic liquid with different structure on Chlorella pyrenoidosa[D]. Hangzhou: Zhejiang Gongshang University, 2018: 48.
[24] HAI Y, GANG P. Toxicity and bioaccumulation of copper in three green microalgal species[J]. Chemosphere, 2002, 49(5): 471-476.
pmid: 12363319
[25] HUANG W J, WU C C, CHANG W C, et al. Bioaccumulation and toxicity of arsenic in cyanobacteria cultures separated from a eutrophic reservoir[J]. Environmental Monitoring & Assessment, 2014(186): 805-814.
[26] LI S, YU Y, GAO X, et al. Evaluation of growth and biochemical responses of freshwater microalgae Chlorella vulgaris due to exposure and uptake of sulfonamides and copper[J]. Bioresource Technology, 2021. DOI: 10.1016/j.biortech.2021.126064.
[27] 黄飞. 蛋白核小球藻对无机砷的吸附吸收及作用机制[D]. 杭州: 浙江大学,2018: 3.
HUANG Fei. The adsorption and uptake of inorganic arsenic by Chlorella pyrenoidosa and the interaction mechanism[D]. Hangzhou: Zhejiang University, 2018: 3.
[28] 孟丽娜, 彭春莹, 李铁栋, 等. 基于蛋白质组学对螺旋藻砷胁迫响应机制的研究[J]. 生物技术通报, 2020, 36(4): 107-116.
MENG Lina, PENG Chunying, LI Tiedong, et al. Proteomic analysis of Spirulina platensis in response to arsenic stresss[J]. Biotechnology Bulletin, 2020, 36(4): 107-116.
[29] MISHRA S, STARK H J, KUPPER H. A different sequence of events than previously reported leads to arsenic-induced damage in Ceratophyllum demersum L[J]. Metallomics, 2014, 6(3): 444-454.
[1] LU Yaoyao, YE Juntao, RUAN Chengxiang, LOU Jin. Preparation and photocatalytic performance of titanium dioxide/porous carbon nanofibers composite material [J]. Journal of Textile Research, 2024, 45(04): 67-75.
[2] CHEN Rongxuan, SUN Hui, YU Bin. Preparation and photocatalytic properties of N-TiO2/ polypropylene melt-blown nonwovens [J]. Journal of Textile Research, 2024, 45(03): 137-147.
[3] HAN Bo, WANG Yulin, SHU Dawu, WANG Tao, AN Fangfang, SHAN Juchuan. Reactive dyeing using recycled dyeing wastewater [J]. Journal of Textile Research, 2023, 44(08): 151-157.
[4] WANG Guoqin, FU Xiaohang, ZHU Yuke, WU Liguang, WANG Ting, JIANG Xiaojia, CHEN Huali. Photodegradation mechanism and pathway of visible light-response mesoporous TiO2 for Rhodamine B [J]. Journal of Textile Research, 2023, 44(05): 155-163.
[5] ZHENG Linjuan, YU Jia, YIN Chong, LIANG Zhijie, MAO Qinghui. Preparation and photocatalytic properties of cotton fabrics loaded with polymetallic organic framework material [J]. Journal of Textile Research, 2022, 43(10): 106-111.
[6] ZHOU Xiaoju, HU Zhenglong, REN Yiming, XIE Landong. Fabrication and photocatalyic performance of Bi2MoO6 modified TiO2 nanorod array photocatalyst [J]. Journal of Textile Research, 2022, 43(10): 97-105.
[7] YANG Li, WANG Tao, SHI Xianbing, HAN Zhenbang. Preparation of modified polyacrylonitrile fiber supported MoSx/TiO2 composite photocatalyst and its performance for dye degradation [J]. Journal of Textile Research, 2022, 43(09): 149-155.
[8] WANG Jing, LOU Yaya, WANG Chunmei. Preparation and decolorization of iron-based metal\|organic framework/activated carbon fiber composites [J]. Journal of Textile Research, 2022, 43(08): 126-131.
[9] GAO Luxi, LÜ Xuechuan, ZHANG Chi, SONG Hanlin, GAO Xiaohan. Synthesis and decolorizing performance of modified flocculant for treating dyeing wastewater [J]. Journal of Textile Research, 2022, 43(07): 121-128.
[10] XIE Mengyu, HU Xiaolin, LI Xing, QU Jian'gang. Fabrication and interfacial evaporation properties of reduced graphene oxide/viscose multi-layer composite [J]. Journal of Textile Research, 2022, 43(04): 117-123.
[11] DENG Yang, SHI Xianbing, WANG Tao, LIU Liwei, HAN Zhenbang. Preparation and performance of modified polyacrylonitrile fibers photocatalyst with MIL-53(Fe) [J]. Journal of Textile Research, 2022, 43(03): 58-63.
[12] WEI Na'na, LIU Die, MA Zheng, JIAO Chenlu. Adsorption performance of cellulose/chitosan magnetic aerogel prepared by freeze-thawing method [J]. Journal of Textile Research, 2022, 43(02): 53-60.
[13] ZHANG Mengdi, ZHANG Wei, YAO Jiming. Application of natural clay minerals in electrocoagulation of indigo dyeing wastewater [J]. Journal of Textile Research, 2022, 43(02): 196-201.
[14] SHI Minhui, LI Bingrui, WANG Ting, WU Liguang. Mechanism and performance of TiO2 composite photocatalysts for photo-degradation of methyl-orange in highly saline wastewater [J]. Journal of Textile Research, 2021, 42(12): 103-110.
[15] LI Qing, CHEN Linghui, LI Dan, WU Zhiqiang, ZHU Wei, FAN Zenglu. Research progress in photocatalytic degradation of dyes using metal-organic frameworks [J]. Journal of Textile Research, 2021, 42(12): 188-195.
Viewed
Full text


Abstract

Cited

  Shared   
  Discussed   
No Suggested Reading articles found!