Journal of Textile Research ›› 2024, Vol. 45 ›› Issue (05): 121-128.doi: 10.13475/j.fzxb.20230507701

• Dyeing and Finishing Engineering • Previous Articles     Next Articles

Preparation and application performance of nonlinear cationic polyurethane modified silicone softener

QUAN Heng1,2,3, QIAN Sailong1,2,4, LIU Shinan1,2, ZOU Chunmei5, NI Lijie2,3,4()   

  1. 1. School of Textile Science and Engineering, Wuhan Textile University, Wuhan, Hubei 430200, China
    2. Hubei Key Laboratory of Biomass Fibers and Eco-Dyeing & Finishing, Wuhan, Hubei 430200, China
    3. Jianghan Plain Textile and Garment Industry Technology Research Institute, Jingzhou, Hubei 434000, China
    4. Key Laboratory of Clean Dyeing and Finishing Technology of Zhejiang Province(Shaoxing University), Shaoxing, Zhejiang 312000, China
    5. Hubei Daya Biotechnology Co., Ltd., Jingzhou, Hubei 434200, China
  • Received:2023-05-30 Revised:2024-01-16 Online:2024-05-15 Published:2024-05-31

Abstract:

Objective The softening finishing of fabric is an important part in textile processing, which improves comfort of textile products. However, the commonly used amino silicone oil softener is known to cause decrease in the hydrophilicity and elasticity of fabrics. Thus, designing and developing a new type of softener, which could improve the hydrophilicity while maintaining the unique style and superior feel of finished fabrics, is expected to solve the problem of existing amino silicone oil softeners.

Method Triethanolamine and isophorone diisocyanate (IPDI) were adopted to prepare the prepolymer. The chain extension was carried out by introducing small molecule hydroxyalkyl silicone oil 3667(D3667) and polyethylene glycol 2000(PEG2000) into the prepolymer. A series of nonlinear cationic polyurethane modified silicone softeners (BS, LcS and NmS) were synthesized associated with different feeding ratios of IPDI, PEG2000 and D3667. The chemical structure of the products was characterized by Fourier transform infrared spectra. The thermodynamic properties and surface morphology were utilized to explore the blending state between nonlinear cationic polyurethane modified silicone softener and amino silicon oil. The crease recovery angle, hydrophilicity and comprehensive hand feel of the finished fabric were studied to reveal the influence of softener structure on the performance of textile.

Results Through thermal performance testing, it was found that the maximum weight loss rate temperature of the composite of AS and branched cationic polyurethane modified silicone softener (BS) increased from 334 ℃ to 397 ℃ compared to amino silicone oil (AS). It was found that only one endothermic peak remained in BS/AS mixture, indicating that the BS/AS composite exhibited excellent blending performance and would be less prone to microphase separation. No significant difference was identified in the surface morphology between the AS treated bleached nylon/spandex fiber and the BS/AS composite treated fiber in the knitted fabrics, and the mass fraction of silicon element of BS/AS treated fiber surface (0.8%) was between that of the AS (1.4%) and BS (0.04%). This result confirmed that BS formed a uniform mixture with AS to resist the microphase separation. The convenitional amino silicon oil treated cotton fabric showed a crease recovery angle of 95.4° and a hydrophilic time of more than 800.0 s for nylon/spandex fabric. After composite treatment with branched cationic polyurethane modified silicone softener, the crease recovery angle of the cotton fabric was increased to 129.1°, and the hydrophilic time of nylon/spandex fabric was decreased to 48.6 s, significantly improving the hydrophilicity and crease recovery angle of amino silicone oil. This improvement can be attributed to the entanglement and bonding between the non-linear cationic polyurethane modified silicone softener and the hydrophobic chain segments of amino silicone oil. As for comprehensive hand feel, the BS/AS complex was shown to improve the smoothness, bulkiness, and warmth of the nylon/spandex fabric, but decrease the softness.

Conclusion Nonlinear cationic polyurethane modified silicone softener can form a uniform mixture with amino silicone oil, and the thermal stability of the composite is improved. The molecular entanglement and association between the nonlinear cationic polyurethane modified silicone softener and amino silicone oil can effectively prevent the accumulation of amino silicone oil on the auxiliary/air interface, thus improving the crease recovery angle of cotton fabrics and the hydrophilicity of nylon/spandex fabrics. The BS/AS complex can improve the smoothness, bulkiness, and warmth of nylon/spandex fabrics, demonstrating promising application prospects in high-end fashion or sportswear fabrics.

Key words: softening agent, organosilicone modification, modified polyurethane, nonlinear structure, anti-crease, hydrophilic, nylon/spandex fabric

CLC Number: 

  • TS195.5

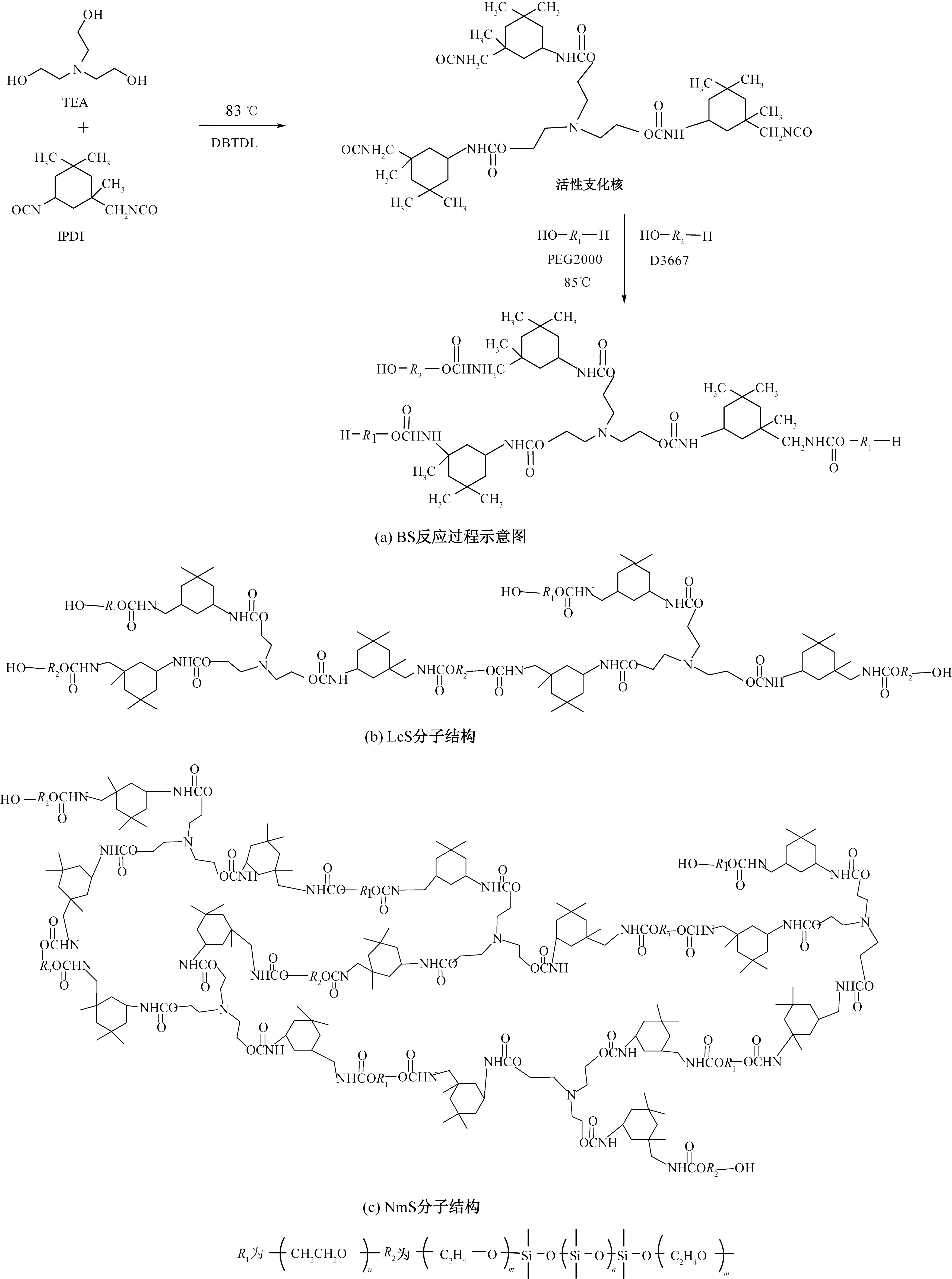
Fig.1

Schematic diagram of BS preparation reaction process (a) and molecular structure of LcS (b)and NmS (c)"

Fig.2

Infrared spectra of BS, LcS and NmS"

Fig.3

Gel Permeation Chromatography chromatograms of BS"

Fig.4

Particle size distribution curves of BS, LcS and NmS"

Fig.5

TG/DTG curves of AS, BS, and BS/AS at same heating rate"

Fig.6

DSC curves of AS, BS and BS/AS at same heating rate"

Tab.1

Element percentage content of nylon/spandex fabrics surface"

整理剂 质量占比/%
C N O Si
空白 46.3 28.2 25.5 0
AS 49.4(35.0) 23.8(0.9) 25.5(23.3) 1.4(40.8)
BS 50.0(42.5) 26.3(1.6) 23.7(45.8) 0.04(10.1)
BS/AS 46.2(38.7) 26.4(1.2) 26.7(34.6) 0.8(25.5)

Fig.7

SEM images of nylon/spandex fabric before and after finishing (×2 000). (a) Original fabric; (b) Fabric treated with BS; (c) Fabric treated with LcS; (d) Fabric treated with NmS; (e) Fabric treated with AS; (f) Fabric treated with BS/AS; (g) Fabric treated with LcS/AS; (h) Fabric treated with NmS/AS"

Tab.2

Crease recovery angle and hydrophilic properties of the fabric before and after finishing"

棉织物 锦纶/氨纶织物
整理剂 折皱
回复角/(°)
整理剂 亲水
时间/s
107.2 753.5
AS 95.4 AS >800.0
BS 190.0 BS 20.1
LcS 150.7 LcS 10.3
NmS 148.7 NmS 26.3
BS/AS 129.1 BS/AS 48.6
LcS/AS 129.9 LcS/AS 66.9
NmS/AS 140.1 NmS/AS 116.5

Fig.8

Comparison of comprehensive hand feel of nylon/spandex before and after finishing"

[1] 汤金伟, 冯俏君, 刘宽, 等. 高稳定改性亲水硅油柔软剂的制备及其应用[J]. 化学工程师, 2022, 36(8):108-110.
TANG Jinwei, FENG Qiaojun, LIU Kuan, et al. Preparation and application of high stability modified hydrophilic silicone oil softener[J]. Chemical Engineer, 2022, 36(8):108-110.
[2] 杨红英, 张家耀, 张建祥, 等. 5种整理方式对棉织物风格的影响[J]. 棉纺织技术, 2020, 48(7):26-29.
YANG Hongying, ZHANG Jiayao, ZHANG Jianxiang, et al. Influence of five finishing method on cotton fabric style[J]. Cotton Textile Technology, 2020, 48(7):26-29.
[3] 罗明智, 孙志强, 吕杰文, 等. 多纤维组合针织物固态软片柔软整理的应用[J]. 印染助剂, 2023, 40(6):43-46.
LUO Mingzhi, SUN Zhiqiang, LÜ Jiewen, et al. Application of solid soft film soft finishing of multi-fiber combination knitted fabric[J]. Textile Auxiliaries, 2023, 40(6):43-46.
[4] WEI Y, ZHENG C, CHEN P, et al. Synthesis of multiblock linear polyether functional amino silicone softener and its modification of surface properties on cotton fabrics[J]. Polymer Bulletin, 2019, 76(1):447-467.
[5] SUNG H C, JUN H Y, HOON B L, et al. Evaluation of touch and durability of cotton knit fabrics treated with reactive urethane-silicone softeer[J]. Polymers, 2022, 14(9):1873-1873.
[6] 王彦珍, 宋秘钊, 王娟, 等. 氨基聚醚改性硅油柔软剂在亚麻织物上的应用[J]. 棉纺织技术, 2021, 49(10):38-41.
WANG Yanzhen, SONG Mizhao, WANG Juan, et al. Application of amino polyether modified silicone oil softener on flax fabric[J]. Cotton Textile Technology, 2021, 49(10):38-41.
[7] 孟令熹. 新型聚氨酯改性嵌段聚醚氨基硅油的合成及应用[J]. 有机硅材料, 2020, 34(6):29-34.
MENG Lingxi. Synthesis and application of a novel pol yure thane modified block polyether amino silicone oil[J]. Organosilicon Materials, 2020, 34(6):29-34.
[8] 祝令海. 织物柔软整理中常见的问题及解决方案[J]. 染整技术, 2020, 42(11):12-14.
ZHU Linghai. Common problems and solutions in fabric softening finishing[J]. Dyeing and Finishing Technology, 2020, 42(11):12-14.
[9] 梁亚静, 姚金波, 冯懋, 等. 棉织物用无甲醛抗皱整理剂的研究进展[J]. 现代纺织技术, 2023, 31(1):285-292.
doi: 10.19398/j.att.202207061
LIANG Yajing, YAO Jinbo, FENG Mao, et al. Research progress of formaldehyde-free wrinkle resistant finishing agents for cotton fabrics[J]. Advanced Textile Technology, 2023, 31(1):285-292.
doi: 10.19398/j.att.202207061
[10] 彭军, 董任峰, 赖培旭, 等. 水性聚氨酯的合成制备及改性技术研究[J]. 广东化工, 2023, 50(3):24-26.
PENG Jun, DONG Renfeng, LAI Peixu, et al. Study on synthesis and modification of waterborne poly-urethane[J]. Guangdong Chemical Industry, 2023, 50(3):24-26.
[11] PENG H, ZHANG P, XIE J, et al. Properties of cotton fabrics treated by etherification and esterification and esterification/addition crosslinking with an amino-functional silicon softener[J]. Cellulose, 2021, 28(11):1-14.
[12] 杨振声, 王炳帅. 烯丙基聚烷氧基环氧醚的制备及其性能[J]. 纺织学报, 2022, 43(3):103-109.
YANG Zhensheng, WANG Bingshuai. Preparation and performance of allyl polyalkoxy epoxy ether[J]. Journal of Textile Research, 2022, 43(3):103-109.
[13] 李家鑫, 宋秘钊, 韩洪帅, 等. 氨基环氧基双改性氢硅氧烷柔软剂的应用[J]. 印染, 2023, 49(6):46-48.
LI Jiaxin, SONG Mizhao, HAN Hongshuai, et al. Application of amino-epoxy modified hydrosiloxane softener[J] China Dyeing & Finishing, 2023, 49(6):46-48.
[14] 陆健华, 徐成书, 张晶, 等. 嵌段硅油复配柔软剂在棉针织物上的整理应用[J]. 纺织科学与工程学报, 2021, 38(4):36-39.
LU Jianhua, XU Chengshu, ZHANG Jing, et al. Finish ing application of block silicone oil compound softener[J]. Journal of Textile Science and Engineering, 2021, 38(4):36-39.
[15] 权衡, 任敬之, 陈文龙, 等. 有机硅及其共混物在锦纶/氨纶织物上的迁移与分布[J]. 纺织学报, 2022, 43(6):115-120.
QUAN Heng, REN Jingzhi, CHEN Wenlong, et al. Migration and distribution of organosilicon and its blends on polyamide/polyurethane fabrics[J]. Journal of Textile Research, 2022, 43(6):115-120.
[16] MEHDI G, VAHID A H, SAHEBI I J. A review on microphase separation measurement techniques for polyurethanes[J]. Journal of Plastic Film Sheeting, 2022, 38(4):502-541.
[17] ARÉVALO-ALQUICHIRE S, MORALES-GONZALEZ M, NAVAS-GÒMEZ K, et al. Influence of polyol/crosslinker blend composition on phase separation and thermo-mechanical properties of polyurethane thin films[J]. Polymers, 2020.DOI:10.3390/polym12030666.
[18] 王琳, 李入林, 陈文涛, 等. N-(苯乙酰氨基)-N'-(α-萘乙酰基)硫脲的热解机理及热动力学研究[J]化学学报, 2009, 67(8):838-842.
WANG Lin, LI Rulin, CHEN Wentao, et al. Thermal decomposition mechanism and kinetics of N-(phenyl-acetamido)-N'-(α naphthylaceto) thiourea[J]. Acta Chimica Sinica, 2009, 67(8):838-842.
[19] 刘帆, 谭艳君, 霍倩. 氨基硅油改性丙烯酸酯黏合剂的合成及在芳纶印花中的应用[J]. 印染, 2021, 47(4):11-15.
LIU Fan, TAN Yanjun, HUO Qian. Synthesis of amino oil modified acrylate and its application in aramidon printing[J]. China Dyeing & Finishing, 2021, 47(4):11-15.
[20] 徐成书, 吴梦婷, 任燕, 等. 线性聚醚嵌段氨基硅油的制备及其性能[J]. 纺织学报, 2019, 40(8):89-94.
XU Chengshu, WU Mengting, REN Yan, et al. Preparation and properties of linear polyether-blocked amino silicone[J]. Journal of Textile Research, 2019, 40(8):89-94.
[1] WANG Rongchen, ZHANG Heng, ZHAI Qian, LIU Ruiyan, HUANG Pengyu, LI Xia, ZHEN Qi, CUI Jingqiang. Preparation and fast wettability of polylactic acid micro-nanofibrous dressing by melt blowing process [J]. Journal of Textile Research, 2024, 45(01): 30-38.
[2] QI Xiaojie, SUN Li'na, LIAO Haiyang, MA Bomou, YU Jianyong, WANG Xueli, LIU Xiucai. Preparation and properties of modified polyester fiber for super softness and high hygroscopy [J]. Journal of Textile Research, 2023, 44(09): 27-34.
[3] YANG Zhensheng, WANG Bingshuai. Preparation and performance of allyl polyalkoxy epoxy ether [J]. Journal of Textile Research, 2022, 43(03): 103-109.
[4] GAO Qiang, WANG Xiao, GUO Yajie, CHEN Ru, WEI Ju. Preparation and performance of cotton based Ti3C2Tx oil-water separation membrane [J]. Journal of Textile Research, 2022, 43(01): 172-177.
[5] YANG Qun, LIANG Qi, WANG Liming, DAI Zhengwei. Thermo-sensitive hydrophilic-hydrophobic transition and moisture permeability of poly-N-isopropylacrylamide/polyurethane gradient composite membrane [J]. Journal of Textile Research, 2021, 42(09): 17-23.
[6] XIE Wanting, LIU Qihai, JIA Zhenyu, ZHU Xiaohua, WANG Ronghui. Preparation and performance of super absorbent modified cotton fiber membrane [J]. Journal of Textile Research, 2021, 42(04): 48-54.
[7] HOU Wenshuang, MIN Jie, JI Feng, ZHANG Jianxiang, SU Meng, HE Ruixian. Influence of fabric tightness and anti-crease finishing on wrinkle recovery of pure cotton woven fabrics [J]. Journal of Textile Research, 2021, 42(01): 118-124.
[8] ZHANG Yimin, ZHOU Weitao, HE Jianxin, DU Shan, CHEN Xiangxiang, CUI Shizhong. Fabrication and properties of amidoxime-modified SiO2/polyacrylonitrile composite fibrous nonwovens [J]. Journal of Textile Research, 2020, 41(05): 25-29.
[9] LIU Jian, MAO Jinlu, PENG Li, CAI Lingyun, ZHENG Xuming, ZHANG Fushan. Performance and regulation of hydrophilic oil agent for polyethylene-polypropylene nonwoven fabrics [J]. Journal of Textile Research, 2019, 40(09): 114-121.
[10] ZHANG Huan, YAN Jun, WANG Xiaowu, JIAO Andong, LI Hong, ZHENG Laijiu, HE Tingting. Application of low temperature plasma in surface modification of polyester fiber [J]. Journal of Textile Research, 2019, 40(07): 103-107.
[11] ZHANG Tengfei, SHI Ludan, HU Hongmei, WANG Yu, WANG Xueli, YU Jianyong. Synthesis and characterization of bio-based polyamide 56 oligomer modified polyester [J]. Journal of Textile Research, 2019, 40(06): 1-7.
[12] LI Bing, GE Guoping, GUO Wei, DONG Yongchun, CHEN Xingcan. Comparison between structure and performance of fresh cocoon raw silk and dry cocoon raw silk and identification method thereof [J]. Journal of Textile Research, 2019, 40(03): 32-38.
[13] JIA Huiying, JIANG Zhiqing, MA Jianwei, JIANG Liang, CHEN Shaojuan. Preparation and properties of modified polytetrafluoroethylene fiber by oxidation self-polymerization of dopamine [J]. Journal of Textile Research, 2019, 40(01): 14-18.
[14] . Microwave assisted preparation and sizing properties of carboxymethyl corn starch [J]. Journal of Textile Research, 2018, 39(12): 59-66.
[15] . Effect of modified by β-cyclodextrin derivatives of aldehydes crosslinked chitosan on hydrophilicity of polyester fabric [J]. JOURNAL OF TEXTILE RESEARCH, 2018, 39(07): 82-88.
Viewed
Full text


Abstract

Cited

  Shared   
  Discussed   
No Suggested Reading articles found!