Journal of Textile Research ›› 2025, Vol. 46 ›› Issue (03): 1-8.doi: 10.13475/j.fzxb.20240302601

• Fiber Materials •    

Influences of stress in thermal imidization on structure and properties of polyimide fibers

WANG Biao1,2, LI Yuan1,2, DONG Jie1,2, ZHANG Qinghua1,2()   

  1. 1. College of Materials Science and Engineering, Donghua University, Shanghai 201620, China
    2. State Key Laboratory of Modification of Chemical Fibers and Polymer Materials, Donghua University, Shanghai 201620, China
  • Received:2024-03-11 Revised:2024-05-08 Online:2025-03-15 Published:2025-04-16
  • Contact: ZHANG Qinghua E-mail:qhzhang@dhu.edu.cn

Abstract:

Objective The mechanical properties of high-performance polymer fibers such as Kevlar (poly(p-phenylene-terephthamide) (PPTA) fiber) and Zylon (poly(p-phenylenebenzobis-oxazole) (PBO) fiber) can deteriorate severely when exposed under an UV irradiation condition. Polyimide (PI) fiber is of great interest to researchers with excellent irradiation resistance, high thermal stability and good mechanical property. Generally, the preparation of PI fiber adopts a two-step process, i.e., fabrication of polyamic acid (PAA) fibers, and then the conversion of PAA fibers into PI fibers by a thermal imidization process which is one of the key processes affecting the microstructure and the overall properties of resultant PI fibers. This research investigates the thermal imidization process aiming to prepare high performance PI fibers.

Method The precursor PAA fibers were fabricated through a dry-jet wet spinning process (a classic two-step method). The PI fibers were prepared by thermal imidization of PAA fibers under a relaxation state and satress state, respectively. The evolution of chemical structure and aggregation structure of PI fibers under different states were compared and analyzed using Fourier transform infrared spectroscopy, wide-angle X-ray diffraction, thermogravimetric analysis and so on. The relationship between the structure and properties of PI fibers was established.

Results The thermal imidization process was accelerated by the applied stress. The degree of imidization of fibers reached 90% at 300 ℃ for 120 s under a stress of 30 cN, which was 17% higher than that in the relaxation state, thus contributing to the enhancement of fibers' properties. Under a stress, the axial crystal plane spacing of fibers increased after thermal imidization, leading to an increase in orientation and crystallinity of the fiber. Compared to the relaxation state imidization, the orientation degree of the (004) plane increased from 0.63 to 0.80, and crystallinity increased from 14.20% to 16.73% after the stress-state thermal imidization, indicating a more perfect crystal structure formed inside the fiber. However, most of the fiber remained amorphous. Owing to enhanced molecular chain orientation during imidization, both strength and modulus of fibers increased significantly while the elongation at break decreased. For the PI fiber thermally imidized under a stress condition, the 5% and 10% weight loss temperatures reached 529 ℃ and 565 ℃, respectively, higher than the relaxation samples.

Conclusion The stress applied in the thermal imidization process improves the degree of imidization, orientation and crystallinity of the resultant PI fiber, and significantly improves the mechanical and thermal properties of the PI fiber. It makes PI fibers more prominent in the advantages of high-performance fibers. Some results in this paper can serve as a foundation for optimizing the thermal imidization conditions of PAA fibers and producing high-performance PI fibers. It is believed that in the future, with the in-depth study of fiber forming process and post-treatment process, PI fibers with a better comprehensive performance will be widely applied in aerospace, military and composite material fields.

Key words: high-performance fiber, polyimide fiber, dry-jet wet spinning, thermal imidization, stress, aggregation structure

CLC Number: 

  • TB383

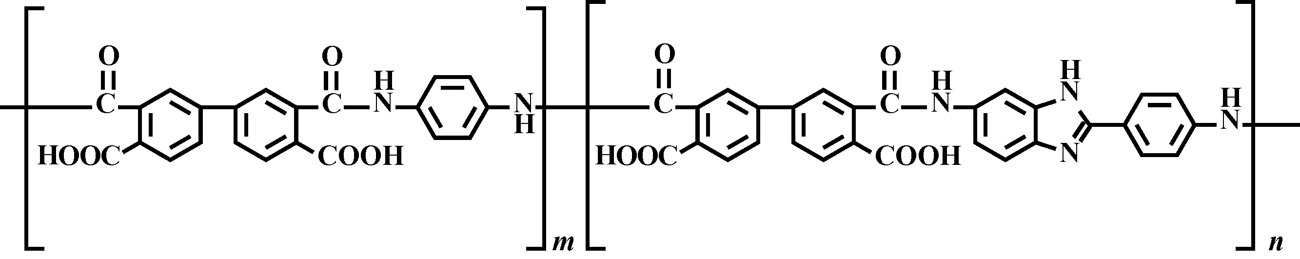
Fig.1

Structural formula of BPDA-PDA/BIA ternary copolymer PAA"

Fig.2

Thermal imidization process of polyamic acid"

Fig.3

FT-IR spectra of PAA fibers under relaxation state (a) and stress state (b) at different temperatures"

Fig.4

Imidization degrees of PI fibers treated under relaxation state and stress state"

Fig.5

2-D WAXD spectra of PI fibers under relaxation state and stress state"

Fig.6

1-D WAXD patterns of PI fibers along equator. (a) Relaxation state; (b) Stress state"

Fig.7

1-D WAXD patterns of PI fibers along meridian. (a) Relaxation state; (b) Stress state"

Fig.8

Fitting results of 1-D WAXD curve of PI fibers at 400 ℃"

Tab.1

Orientation degree and crystallinity of PI fibers in relaxation state and stress state"

样品编号 (004)晶面取向度 结晶度/%
PI-1 0.34 0
PI-2 0.47 0.36
PI-3 0.54 7.24
PI-4 0.61 11.98
PI-5 0.63 14.20
PI-A 0.55 0
PI-B 0.62 2.69
PI-C 0.69 14.60
PI-D 0.75 16.16
PI-E 0.80 16.73

Fig.9

Stress-strain curves of PI fibers thermally imidized under relaxation state and stress state"

Fig.10

TGA curves of PI fibers thermally imidized under relaxation and stress state"

[1] LIAW Derjang, WANG Kuangli, HUANG Yingchi, et al. Advanced polyimide materials: syntheses, physical properties and applications[J]. Progress in Polymer Science, 2012, 37(7): 907-974.
[2] 张梦颖, 牛鸿庆, 韩恩林, 等. 高强高模聚酰亚胺纤维及其应用研究[J]. 绝缘材料, 2016, 49(8): 12-16.
ZHANG Mengying, NIU Hongqing, HAN Enlin, et al. Research and application of polyimide fibers with high strength and modulus[J]. Insulating Materials, 2016, 49(8): 12-16.
[3] YANG Wenke, LIU Fangfang, CHEN Hongxiang, et al. Influence of heating rate on the structure and mechanical properties of aromatic BPDA-PDA polyimide fiber[J]. Polymers, 2020, 12(3): 589-598.
[4] 张亚飞, 李亚飞, 于志强, 等. 聚酰胺酸的制备与亚胺化过程研究[J]. 广州化工, 2018, 46(4): 80-83.
ZHANG Yanfei, LI Yafei, YU Zhiqiang, et al. Study on preparation of polyamic acid and its imidization process[J]. Guangzhou Chemical Industry, 2018, 46(4): 80-83.
[5] 陈雪, 崔晶, 孙旭阳, 等. 聚酰亚胺纤维热亚胺化过程研究[J]. 化学反应工程与工艺, 2022, 38(4): 338-347.
CHEN Xue, CUI Jing, SUN Xuyang, et al. Study on thermal imidization process of polyimide fiber[J]. Chemical Reaction Engineering and Technology, 2022, 38(4): 338-347.
[6] ZHANG Dianbo, DONG Jie, GAN Feng, et al. Structural evolution from poly(amic acid) to polyimide fibers during thermal imidization process[J]. High Performance Polymers, 2018, 31(5): 600-610.
[7] XU Yuan, WANG Shihua, LI Zhentao, et al. Polyimide fibers prepared by dry-spinning process: imidization degree and mechanical properties[J]. Journal of Materials Science, 2013, 48(22): 7863-7868.
[8] GAN Feng, DONG Jie, ZHANG Dianbo, et al. High-performance polyimide fibers derived from wholly rigid-rod monomers[J]. Journal of Materials Science, 2017, 53(7): 5477-5489.
[9] ZHENG Sensen, DONG Jie, LI Xiuting, et al. High-strength and high-modulus polyimide fibers with excellent UV and ozone resistance[J]. ACS Applied Polymer Materials, 2022, 4(6): 4558-4567.
[10] 方玉婷, 王士华, 郭涛, 等. 热拉伸条件对聚酰亚胺纤维结构和性能的影响[J]. 合成纤维, 2020, 49(9): 17-21.
FANG Yuting, WANG Shihua, GUO Tao, et al. The effects of post hot-drawing on structure and properties of polyimide fiber[J]. Synthetic Fiber in China, 2020, 49(9): 17-21.
[11] YIN Chaoqing, DONG Jie, TAN Wenjun, et al. Strain-induced crystallization of polyimide fibers containing 2-(4-aminophenyl)-5-aminobenzimidazole moiety[J]. Polymer, 2015, 75(2): 178-186.
[12] LUO Longbo, DAI Yu, YUAN Yihao, et al. Control of head/tail isomeric structure in polyimide and isomerism-derived difference in molecular packing and proper-ties[J]. Macromolecular Rapid Communications, 2017, 38(23): 404-408.
[13] 杨文轲, 刘芳芳, 张恩菘, 等. 热亚胺化过程中气氛和拉力对BPDA-PDA聚酰亚胺纤维结构与性能的影响[J]. 高等学校化学学报, 2017, 38(1): 150-158.
doi: 10.7503/cjcu20160580
YANG Wenke, LIU Fangfang, ZHANG Ensong, et al. Influence of atmosphere and force during thermal imidization on the structure and properties of BPDA-PDA polyimide fibers[J]. Chemical Journal of Chinese Universities, 2017, 38(1): 150-158.
doi: 10.7503/cjcu20160580
[14] YANG Wenke, LIU Fangfang, ZHANG Jidong, et al. Influence of thermal treatment on the structure and mechanical properties of one aromatic BPDA-PDA polyimide fiber[J]. European Polymer Journal, 2017, 96(9): 429-442.
[15] VAGANOV G V, DIDENKO A L, IVANOV A G, et al. The effect of imidization conditions on the structure and properties of fibres from partially crystallized polyimide[J]. Journal of Physics: Conference Series, 2020. DOI:10-1088/1742-6596/1697/1/012116.
[1] LI Huimin, LIU Shuqiang, DU Linlin, ZHANG Man, WU Gaihong. Parametric modeling of basalt/polyimide three-dimensional spacer woven fabric and numerical simulation of heat transfer in high temperature environment [J]. Journal of Textile Research, 2025, 46(01): 87-94.
[2] LIU Yuting, SONG Zetao, ZHAO Shengnan, WANG Xinglan, CHANG Suqin. Research status and development trend in individual cooling garment [J]. Journal of Textile Research, 2023, 44(12): 233-241.
[3] XIA Liangjun, CAO Genyang, LIU Xin, XU Weilin. Research progress in color construction of high-performance fibers and its products [J]. Journal of Textile Research, 2023, 44(06): 1-9.
[4] MA Ying, XIANG Weihong, ZHAO Yang, DENG Congying, LU Sheng, ZENG Xianjun. Weaving process modeling and micro-geometry prediction of three-dimensional orthogonal woven fabrics [J]. Journal of Textile Research, 2023, 44(06): 105-113.
[5] WU Fan, LI Yong, CHEN Xiaochuan, WANG Jun, XU Minjun. Finite element modeling and simulation of cotton fiber assembly compression based on three-dimensional braided model [J]. Journal of Textile Research, 2022, 43(09): 89-94.
[6] SUN Xiaolun, CHEN Li, ZHANG Yifan, LI Mohan. Tensile properties of 3-D woven composites with holes [J]. Journal of Textile Research, 2022, 43(08): 74-79.
[7] JIANG Shu, LI Jun. Research progress on thermal comfort of infant bedding [J]. Journal of Textile Research, 2022, 43(08): 189-196.
[8] HUANG Yaoli, LU Cheng, JIANG Jinhua, CHEN Nanliang, SHAO Huiqi. Thermal mechanical properties of polyimide fiber-reinforced polydimethylsiloxane flexible film [J]. Journal of Textile Research, 2022, 43(06): 22-28.
[9] FANG Meiqi, WANG Qian, LI Yan, LI Chaojing, LI Hao, WANG Lu. Design and in-vitro mechanical property analyses of sling for female stress urinary incontinence [J]. Journal of Textile Research, 2022, 43(03): 38-43.
[10] LI Tianhua, LI Jingjing, ZHANG Keqin, ZHAO Huijing, MENG Kai. Numerical simulation of hemodynamics in spiral artificial blood vessel [J]. Journal of Textile Research, 2022, 43(03): 17-23.
[11] DING Xu, SUN Ying, LUO Min, WANG Xingze, CHEN Li, CHEN Guangwei. Research progress in braided cordage made from high-performance fibers for spacecraft applications [J]. Journal of Textile Research, 2021, 42(12): 180-187.
[12] CHEN Zihan, YAO Yongbo, SHENG Junlu, YAN Zhiyong, ZHANG Yumei, WANG Huaping. Preparation and properties of cellulose/calcium alginate blend fiber [J]. Journal of Textile Research, 2021, 42(12): 15-20.
[13] ZHU Weiwei, GUAN Liyuan, LONG Jiajie, SHI Meiwu. Effects of supercritical CO2 fluid treatment time on structure and properties of diacetate fibers [J]. Journal of Textile Research, 2021, 42(12): 97-102.
[14] CHEN Xian, LI Mengmeng, ZHAO Xin, DONG Jie, TENG Cuiqing. Preparation and microstructure control of aerogel fibers based on aramid nanofibers [J]. Journal of Textile Research, 2021, 42(11): 17-23.
[15] LU Jun, WANG Fujun, LAO Jihong, WANG Lu, LIN Jing. Finite element analysis of braided artificial ligaments of different structures under combined loading [J]. Journal of Textile Research, 2021, 42(08): 84-89.
Viewed
Full text


Abstract

Cited

  Shared   
  Discussed   
No Suggested Reading articles found!