Journal of Textile Research ›› 2025, Vol. 46 ›› Issue (06): 88-95.doi: 10.13475/j.fzxb.20240702301

• Fiber Materials • Previous Articles     Next Articles

Modification of polysuccinimide nano fibrous membrane and its dye adsorption properties

QIU Yue1, YANG Xun1, LI Hao1, LI Haidong1, WU Guozhong2, ZHANG Caidan1,2,3()   

  1. 1. College of Materials and Textile Engineering, Jiaxing University, Jiaxing, Zhejiang 314000, China
    2. Shanghai Institute of Applied Physics, Chinese Academy of Sciences, Shanghai 201800, China
    3. G60 STI Valley Industry & Innovation Institute, Jiaxing University, Jiaxing, Zhejiang 314000, China
  • Received:2024-07-09 Revised:2025-03-12 Online:2025-06-15 Published:2025-07-02
  • Contact: ZHANG Caidan E-mail:caidanzhang@zjxu.edu.cn

Abstract:

Objective With people gradually raising the awareness of environmental protection and increasingly strict environmental policy, the pollution of dye wastewater has been attracting extensive attention. The adsorption method is one of the most cost-effective methods and environmentally friendly absorbent materials are widely explored. Polyasparthydrazide (PAHy) is a polyaspartic acid derivative with good biodegradability and abundant amino groups, associated with low cost. It is an ideal absorbent material for wastewater treatment. However, in practical applications, challenges such as poor structural stability due to the complexity of post-adsorption separation caused by water-soluble polymers, along with limited adsorption capacity, are often encountered. To address these issues, this study aims to develop a novel insoluble PAHy nanofibrous membrane with regenerative performance through electrospinning and chemical cross-linking techniques. In this study, PAHy nanofibrous membrane with high porosity was prepared and used for Congo Red (CR) adsorption.

Method Polysuccinimide (PSI) solution was prepared by dissolving PSI into N,N-dimethylformamide solvent and nanofibrous membrane was prepared utilizing electrospinning technology. The prepared membrane was soaked in 0.25 mol/L ethanediamine (ED) solution to form PSI crosslinking. Then, different concentration of hydrazine hydrate solution was added to transform PSI into PAHy. After that, 5% acetic acid solution was employed for the neutral reaction, and the samples were washed with deionized water and immersed in ethanol for deswelling. Finally, PAHy nanofibrous membrane was characterized and the Congo Red adsorption properties were evaluated.

Results The result confirmed the successful modification of PSI to PAHy, with characteristic peak imide groups shifting upon crosslinking and hydrazine treatment. The PSI nanofibrous membrane exhibited adjacent bands at 1 794 cm-1 and 1 709 cm-1 due to the coupled effect of two neighboring carbonyl groups. After crosslinking and hydrazine treatment, the residue succinimide rings in PSI were opened and the PAHy was generated. PAHy membrane was able to maintain the nanofibrous morphology with partly fused together, and the fiber diameter of nanofibrous membranes increased initially after modification. PSI nanofibrous membrane exhibited an excellent swelling property after ED crosslinking. PAHy nanofibrous membranes prepared by different concentration of hydrazine hydrate had a relatively small impact on its swelling properties. PAHy nanofibrous membrane with high porosity and abundant amino groups exhibited excellent adsorption capacity for CR dye. PAHy nanofibrous membrane modified by 15% hydrazine hydrate and at pH value of 5 displayed optimal adsorption capacity. And the maximum adsorption capacity was 1 679.3 mg/g. The adsorption process followed a pseudo-second-order kinetic model, as evidenced by the high correlation coefficient, indicating a chemisorption-dominated mechanism with possible physical adsorption contributions. The adsorption isotherm analysis revealed that the Langmuir model provided a better fit than the Freundlich model, suggesting a monolayer adsorption process. The regenerative capacity of PAHy nanofibrous membranes was confirmed through repeated adsorption-desorption cycles. The desorption was carried out by alkaline elution and acid neutralization. After 4 adsorption-desorption cycles, the PAHy nanofibrous membranes retained 83.4% of its initial adsorption capacity, demonstrating the potential for reuse in practical applications.

Conclusion In this study, PAHy nanofibrous membrane was successfully prepared through PSI nanofibrous membrane ethylenediamine crosslinking and hydrazine hydrate ammonolysis. The PAHy nanofibrous membrane with a large number of cationic amino functional groups exhibited an excellent CR adsorption capacity. PSI formed a structure after opening the ring with ethylenediamine. Cross-linked PSI nanofibrous membrane had good water absorption performance. Then PAHy nanofiber membrane was prepared by ammonolysis with hydrazine hydrate of cross-linked PSI nanofibrous membrane. The optimal adsorption conditions of PAHy nanofibrous membrane for CR were as follows: the concentration of hydrazine hydrate was 15%, the adsorption pH value was 5, and the adsorption time was 6 h. Moreover, PAHy nanofibrous membrane was reusable for CR adsorption after alkaline elution and acid neutralization. It suggests that PAHy nanofibrous membrane has a broad range of applications in dye wastewater treatment.

Key words: polysuccinimide, nanofiber, electrospinning, adsorption capacity, reproducibility, water treatment, adsorption material

CLC Number: 

  • TS102.6

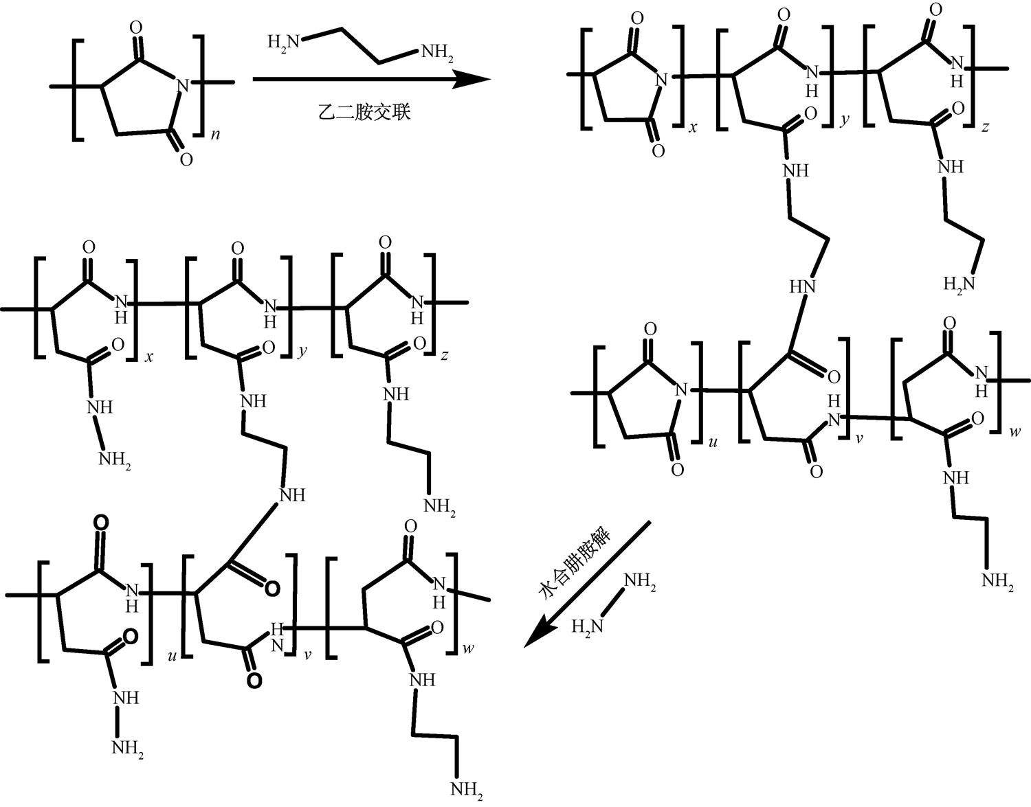
Fig.1

Preparation mechanism of PAHy nanofibrous membrane"

Fig.2

FT-IR spectra of PSI nanofiber membranes before and after modification"

Fig.3

SEM images of PAHy nanofiber membranes and after modified with different mass concentration of hydrazine"

Fig.4

Influence of adsorption time on Congo Red adsorption"

Fig.5

Pseudo-first order(a), Pseudo-second order (b) and Elovich adsorption(c) kinetics fitting curves of PAHy adsorption of Congo Red"

Fig.6

Fitting results of thermodynamic model simulation"

[1] 苏少纯. 聚琥珀酰亚胺基阿维菌素纳米控释系统的构建与性能[D]. 广州: 仲恺农业工程学院, 2022: 8-13.
SU Shaochun. Construction and performance of polysuccinimide abamectin nanocontrolled release sys-tem[D]. Guangzhou: Zhongkai College of Agricultural Engineering, 2022:8-13.
[2] 王鹏宇, 刘源鑫, 邱典, 等. 聚天冬氨酸的合成及应用研究进展[J]. 当代化工研究, 2023(18): 5-7.
WANG Pengyu, LIU Yuanxin, QIU Dian, et al. Advances in the synthesis and application of polyaspartic acid[J]. Contemporary Chemical Industry, 2023(18): 5-7.
[3] 吴变喜, 高玉华. 聚天冬氨酸衍生物的不同功能基团对阻垢性能的影响[J]. 清洗世界, 2018, 34 (3): 21-26.
WU Bianxi, GAO Yuhua. Effects of different functional groups of polyaspartic acid derivatives on performance of scale inhibition[J]. Cleaning World, 2018, 34 (3): 21-26.
[4] 初光友, 毛琦, 杨子浩, 等. 接枝不同种类氨基酸对聚天冬氨酸阻垢剂阻垢性能的影响[J]. 当代化工研究, 2024, 53 (3): 535-540.
CHU Guangyou, MAO Qi, YANG Zihao, et al. Effect of grafting different amino acids on scale inhibition performance of polyaspartic acid scale inhibitor[J]. Contemporary Chemical Industry, 2024, 53 (3): 535-540.
[5] 樊大勇, 崔小明. 水处理剂聚天冬氨酸的合成和应用研究进展[J]. 精细石油化工进展, 2022, 23 (1): 14-19.
FAN Dayong, CUI Xiaoming. Research progress in synthesis and application of water treatment agent polyaspartic[J]. Advances in Fine Peterochemicals, 2022, 23 (1): 14-19.
[6] 余嵘, 陈晓. 改性聚天冬氨酸阻垢缓蚀性能研究进展[J]. 工业水处理, 2021, 41 (12): 35-40.
doi: 10.19965/j.cnki.iwt.2020-0930
YU Rong, CHEN Xiao. Research progress in scale and corrosion inhibition performance of modified polyaspartic acid[J]. Industrial Water Treatment, 2021, 41 (12): 35-40.
doi: 10.19965/j.cnki.iwt.2020-0930
[7] ZHANG Caidan, YANG Xun, YU Lidan, et al. Electrospun polyasparthydrazide nanofibrous hydrogel loading with in-situ synthesized silver nanoparticles for full-thickness skin wound healing application[J]. Materials & Design, 2024. DOI: 10.1016/j.matdes.2024.112818.
[8] 赵俭波. 聚天冬氨酸水凝胶的制备与应用[D]. 北京: 北京化工大学, 2021:1-11.
ZHAO Jianbo. Preparation and application of polyaspartic hydrogel[D]. Beijing: Beijing University of Chemical Technology, 2021:1-11.
[9] 李思捷, 张彩丹. 聚天冬氨酸基纤维水凝胶的制备及其释药性能[J]. 纺织学报, 2020, 41 (2): 20-25, 32.
LI Sijie, ZHANG Caidan. Preparation of poly (aspartic acid) based fiber hydrogel and its drug release behavior[J]. Journal of Textile Research, 2020, 41(2): 20-25, 32.
[10] 师晓凤, 马应霞, 李鑫, 等. 静电纺聚丙烯腈基纳米纤维对重金属离子吸附性能的研究进展[J]. 材料导报, 2022, 36 (18): 215-223.
SHI Xiaofeng, MA Yingxia, LI Xin, et al. Research progress on adsorption performance of electrospun polyacrylonitrile-based nanofibers for heavy-metal ions[J]. Materials Reports, 2022, 36 (18): 215-223.
[11] 邵彦峥, 孙将皓, 魏春艳, 等. 棉秆皮微晶纤维素/改性壳聚糖吸附纤维制备与性[J]. 纺织学报, 2023, 44(8):18-25.
SHAO Yanzheng, SUN Jianghao, WEI Chunyan, et al. Preparation and properties of adsorption fiber made from cotton stalk bark microcrystalline cellulose/modified chitosan[J]. Journal of Textile Research, 2023, 44(8):18-25.
[12] GYARMATI Benjámin, HEGYESI NÓra, PUKÁNSZKY BÉla, et al. A colourimetric method for the determination of the degree of chemical cross-linking in aspartic acid-based polymer gels[J]. Express Polymer Letters, 2015, 9(2):154-164.
[13] 王晓娟. pH响应型聚(α,β-L-天冬氨酸)衍生物的设计合成及其生物医学性能[D]. 天津: 南开大学, 2024:56-57.
WANG Xiaojuan. Design and synthesis of Ph-responsive poly (α, β-L-aspartic acid) derivatives and their biomedical properties[D]. Tianjin: Nankai University, 2024:56-57.
[14] MANSHA Muhammad, WAHEED Abdul, AHMAD Tauair, et al. Synthesis of a novel polysuccinimide based resin for the ultrahigh removal of anionic azo dyes from aqueous solution[J]. Environmental Research, 2020. DOI: 10.1016/j.envres.2020.109337.
[15] 韩金宏, 张丹丹, 刘敏, 等. 氧化叔胺树脂制备及对水中刚果红的吸附性能研究[J]. 化工新型材料, 2024, 52(5): 221-228, 233.
doi: 10.19817/j.cnki.issn1006-3536.2024.07.042
HAN Jinhong, ZHANG Dandan, LIU Min, et al. Synthesis of tertiary amine oxide resins and its adsorption properties for Congo red in solutions[J]. New Chemical Materials, 2024, 52(5): 221-228, 233.
doi: 10.19817/j.cnki.issn1006-3536.2024.07.042
[16] 王建坤, 郭晶, 张昊, 等. 交联氨基淀粉对亚甲基蓝染料的吸附性能[J]. 纺织学报, 2018, 39(11): 103-110.
doi: 10.13475/20171204808
WANG Jiankun, GUO Jing, ZHANG Hao, et al. Adsorption properties of cross-linked amido starch onto methylene blue[J]. Journal of Textile Research, 2018, 39(11):103-110.
doi: 10.13475/20171204808
[17] 杨文博, 张傲洁, 刘幽燕, 等. 聚氨酯泡沫固定化生物体系对活性蓝4的吸附脱色[J]. 纺织学报, 2022, 43(8): 132-139.
YANG Wenbo, ZHANG Aojie, LIU Youyan, et al. Adsorption and decolourization of Reactive Blue 4 by polyurethane foam-immobilized biosystem[J]. Journal of Textile Research, 2022, 43(8):132-139.
[1] CHEN Yajuan, GUO Hanyu, ZHANG Chentian, LI Xinxin, ZHANG Xueping. Preparation and hygroscopic properties of polyvinyl alcohol/sodium alginate/polyamide 66 composite hydrogel core-spun yarns [J]. Journal of Textile Research, 2025, 46(06): 103-110.
[2] XIANG Wenlong, YANG Jingran, XIAO Xiaozhen. Preparation of Fe-Co bimetallic organic framework/rice husk composite material and its performance in dye decolorization [J]. Journal of Textile Research, 2025, 46(06): 178-186.
[3] DING Zhenhua, YUAN Kaiyu, ZHOU Jing, YE Dongdong. Research progress in cellulose nanofluid systems for osmotic energy harvesting [J]. Journal of Textile Research, 2025, 46(06): 56-62.
[4] WANG Chunxiang, LI Jiao, XIE Kaifang, XUE Hongkun, XU Guangbiao. Preparation and properties of gastrodia elata polysaccharide/polyvinyl alcohol antibacterial food-wrap membrane by electrospinning [J]. Journal of Textile Research, 2025, 46(06): 73-79.
[5] ZHANG Jiacheng, YU Ying, ZUO Yuxin, GU Zhiqing, TANG Tengfei, CHEN Hongli, LÜ Yong. Torsional sensing characteristics of polyacrylonitrile/MoS2 fiber membranes based on flexoelectric effect [J]. Journal of Textile Research, 2025, 46(06): 80-87.
[6] SUN Jie, GUO Yuqing, QU Yun, ZHANG Liping. Preparation and performance of aramid nanofibers/MXene coaxial fiber electrodes [J]. Journal of Textile Research, 2025, 46(05): 125-134.
[7] WANG Wei, GAO Jiannan, PEI Xiaohan, LU Xin, SUN Yinyin, WU Jianbing. Fabrication and oil-water separation efficiency of cellulose/methyltrimethoxysilane aerogel [J]. Journal of Textile Research, 2025, 46(05): 135-142.
[8] SHI Xiaocong, CHEN Li, DU Xun. Preparation of alizarin-polylactic acid/collagen nanofiber membrane and its ammonia detection performance [J]. Journal of Textile Research, 2025, 46(05): 143-150.
[9] YAN Jing, WANG Yaqian, LIU Jingjing, LI Haoyi, YANG Weimin, KANG Weimin, ZHUANG Xupin, CHENG Bowen. Preparation of melt-electrospun filament yarns and their applications in triboelectric nanogenerators [J]. Journal of Textile Research, 2025, 46(05): 23-29.
[10] JIN Rushi, CHEN Wanming, LIU Guojin, LIU Chenghai, QI Dongming, ZHAI Shimin. Application progress in biochars in printing and dyeing wastewater treatment [J]. Journal of Textile Research, 2025, 46(04): 235-243.
[11] CAO Zhanrui, JI Cancan, HE Shanshan, ZHOU Feng, XIANG Yang, GAO Fei, LIU Ke, WANG Dong. Preparation and bovine serum albumin separation of ethylene vinyl alcohol copolymer nanofibrous anion-exchange aerogel [J]. Journal of Textile Research, 2025, 46(04): 29-37.
[12] GUO Yuqing, QU Yun, ZHANG Liping, SUN Jie. Preparation and spinnability of aramid nanofibers [J]. Journal of Textile Research, 2025, 46(04): 1-10.
[13] LU Ning, CHEN Biling, SONG Gongji, LUO Yixin, WANG Jiannan, XU Jianmei. Application and research progress of nanofibres in artificial nerve conduits [J]. Journal of Textile Research, 2025, 46(03): 236-244.
[14] ZHAN Kejing, YANG Xin, ZHANG Yinglong, ZHANG Xin, PAN Zhijuan. Fabrication and mechanical reinforcement of self-coagulated regenerated silk fibroin micro-nanofiber membranes [J]. Journal of Textile Research, 2025, 46(02): 10-19.
[15] FAN Mengjing, YUE Xinyan, SHAO Jianbo, CHEN Yu, HONG Jianhan, HAN Xiao. Construction and sensing performance of capacitive torsion sensor made from electrospinning fiber core-spun yarn [J]. Journal of Textile Research, 2025, 46(02): 106-112.
Viewed
Full text


Abstract

Cited

  Shared   
  Discussed   
No Suggested Reading articles found!