Journal of Textile Research ›› 2019, Vol. 40 ›› Issue (04): 26-31.doi: 10.13475/j.fzxb.20180405706

• Fiber Materials • Previous Articles     Next Articles

Preparation and properties of guanidine-containing antibacterial polyester fibers

WANG Yan1,2, WANG Lianjun1,2(), CHEN Jianfang1,2   

  1. 1. School of Chemistry and Chemical Engineering, Hunan Institute of Engineering, Xiangtan,Hunan 411104, China
    2. Key Laboratary of Environmental Catalysis and Waste Regeneration,Hunan Institute of Engineering, Xiangtan, Hunan 411104, China
  • Received:2018-04-25 Revised:2019-01-13 Online:2019-04-15 Published:2019-04-16
  • Contact: WANG Lianjun E-mail:wlj_1923@163.com

Abstract:

In order to endue polyester fibers with more durable antibacterial properties, using zinc trifluoromethanesulfonate as the catalyst, Et3N as the alkali agent and tetrahydrofuran as the solvent, a series of 2-amidazolidone compounds were synthesized by reacting natural amino acid ethyl ester hydrochlorides with different carbodiimides at 90 ℃. Blended antibacterial polyster fibers were prepared by melt spinning, the structure of 2-amidazolidone compounds and bacteria polyster fibers were characterized, and the properties were analyzed. The results show that the antibacterial fibers have good antibacterial activity against Escherichia coli, Staphylococcus aureus and Candida albicans, and the antibacterial effect increases with the increase of the content of guanidine in antibacterial fibers. When the mass fraction of guanidine monomer reaches 1.5%, the greatest antibacterial effect is achieved. At the same time, the distribution of antibacterial agents in the fibers is even, and the added guanidine monomer of proper amount has little effect on the mechanical properties and dyeing and finishing of the fibers.

Key words: carbodiimide, cyclic guanidine, antibacterial agent, polyester fiber, functional fiber

CLC Number: 

  • TQ421.2

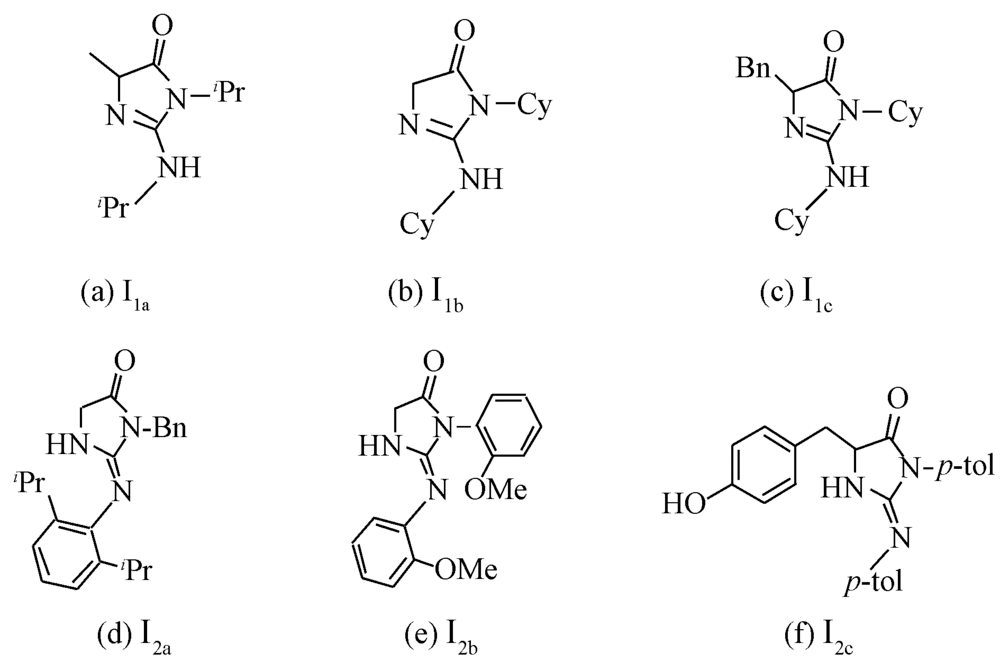
Fig.1

Synthesis of 2-amidazolidone monomers"

Fig.2

Chemical structure of guanidine antimicrobial finishing agent"

Tab.1

Spinning and drawing process of polyester fiber containing guanidines"

项目 螺杆各区温度/℃ 泵及弯管
温度/℃
纺丝速度/
(m·min-1)
Ⅰ区 Ⅱ区 Ⅲ区 Ⅳ区
纺丝
工艺
260 270 285 280 275 1 000
项目 上罗拉温
度/℃
热板温
度/℃
下罗拉温
度/℃
拉伸速度/
(m·min-1)
拉伸
倍数
拉伸
工艺
90 135 110 800 4

Fig.3

NMR spectra of guanidine antimicrobial finishing agent"

Fig.4

FT-IR spectra of polyester fibers and F1a1 polyester fibers containing 0.5% I1a antibacterial agents"

Tab.2

Conventional mechanical properties of blend polyester fibers"

试样
编号
断裂强度/
(cN·dtex-1)
断裂伸
长率/%
弹性模量/
(cN·dtex-1)
F0 3.424 33.56 109.03
F1a3 3.257 31.04 106.75
F1b3 3.255 31.06 105.44
F1c3 3.109 32.11 103.32
F2a3 3.152 32.03 105.58
F2b3 3.241 31.57 104.99
F2c3 3.255 32.01 105.47

Fig.5

TEM images of antibacterial polyester fibers"

Fig.6

DSC curves of pure polyester fiber and polyester fiber contained 1.5% I2c"

Tab.3

Antibacterial properties of polyester fiber with different washing times"

试样
编号
抑菌率/%
大肠杆菌 金黄色葡萄球菌 白色念珠菌
0次 10次 30次 0次 10次 30次 0次 10次 30次
F0 0 0 0 0 0 0 0 0 0
F1a1 71 65 55 68 62 52 65 60 50
F1a2 85 79 70 80 76 70 79 74 68
F1a3 99 90 88 95 88 83 91 88 80
F1a4 99 91 88 96 90 84 93 87 82
F1b1 74 66 52 70 62 53 67 62 55
F1b2 84 81 72 82 77 69 80 75 66
F1b3 98 91 84 96 87 80 90 83 82
F1b4 99 90 87 97 91 80 94 83 78
F1c1 72 60 50 70 61 49 67 61 53
F1c2 87 81 75 83 75 67 78 70 66
F1c3 98 88 83 92 89 80 88 80 75
F1c4 99 90 85 98 91 81 95 89 80
F2a1 68 60 51 63 50 48 60 61 52
F2a2 84 75 64 75 68 54 72 54 45
F2a3 90 84 71 88 80 72 85 78 65
F2a4 92 90 83 90 85 78 90 87 76
F2b1 75 67 58 73 68 59 69 58 54
F2b2 87 84 70 83 73 60 81 74 58
F2b3 96 89 80 93 82 78 90 85 74
F2b4 99 92 90 98 91 87 95 89 80
F2c1 83 69 67 80 72 66 75 70 61
F2c2 90 83 72 88 73 65 87 74 60
F2c3 99 91 85 96 90 81 88 80 75
F2c4 99 92 85 98 91 87 95 88 81

Tab.4

Antibacterial properties of blended fibers at elevated temperatures with different washing times"

试样
编号
抑菌率/%
大肠杆菌 金黄色葡萄球菌 白色念珠菌
0次 10次 30次 0次 10次 30次 0次 10次 30次
F0 0 0 0 0 0 0 0 0 0
F1a1 70 66 55 67 60 51 64 61 50
F1a2 85 78 71 79 75 71 77 73 67
F1a3 97 90 87 93 85 83 91 89 80
F1a4 99 90 88 95 90 84 93 87 81
F1b1 73 65 52 71 60 52 65 60 50
F1b2 83 80 71 80 75 67 80 74 64
F1b3 98 90 83 94 87 79 88 82 80
F1b4 99 91 85 95 90 81 93 82 77
F1c1 70 59 48 69 60 47 66 60 53
F1c2 86 81 74 83 74 67 78 70 64
F1c3 97 87 82 92 89 81 86 79 73
F1c4 99 90 84 95 90 80 93 88 80
F2a1 68 61 50 62 5 46 60 59 53
F2a2 83 73 63 75 67 54 71 52 45
F2a3 89 82 70 85 81 70 81 75 61
F2a4 92 91 83 91 85 79 90 85 75
F2b1 73 66 57 73 67 58 68 57 54
F2b2 87 84 70 83 71 61 81 74 55
F2b3 96 87 80 92 80 77 98 84 72
F2b4 99 91 90 97 90 85 94 88 80
F2c1 83 69 67 80 72 66 75 70 61
F2c2 90 82 70 88 71 64 85 72 61
F2c3 97 90 82 95 90 79 86 80 72
F2c4 99 90 83 97 90 85 92 86 79
[1] MUNOZ-BONILLA A, FEMANDEZ-GARCIA M. Polymeric materials with antimicrobial activity[J]. Progress in Polymer Science, 2012,37:281-339.
[2] TIAN Huayu, TANG Zhaohui, ZHUANG Xiuli, et al. Biodegradable synthetic polymers: preparation, functionalization and biomedical application[J]. Progress in Polymer Science, 2012,37:237-280.
[3] 杨栋梁. 抗菌防臭整理的现状与展望:一[J]. 印染, 1996,22(9):31-33.
YANG Dongliang. The present situation and prospect of antiseptic and antiodorant finishing: Ⅰ[J]. China Dyeing & Finishing, 1996,22(9):31-33.
[4] NISHAT N, AHAMAD S, AHAMAD T. Synjournal, characterization, and antimicrobial studies of newly developed metal-chelated epoxy resins[J]. Journal of Applied Polymer Science, 2006,101:1347-1355.
[5] CHANG Li, ZHANG Xiaozhuan, SHI Xibao, et al. Preparation and characterization of a novel antibacterial fiber modified by quaternary phosphonium salt on the surface of polyacrylonitrile fiber[J]. Fibers and Polymers, 2014,15(10):2026-2031.
[6] 刘伦杰, 吴大洋, 汪涛. 壳聚糖的抗菌性研究进展与抗菌纺织品开发[J]. 纺织学报, 2010,31(7):145-150.
LIU Lunjie, WU Dayang, WANG Tao. Research progress in antibacterial activity of chitosan and development of antimicrobial textile[J]. Journal of Textile Research, 2010,31(7):145-150.
[7] JIANG Guojun, ZHANG Junrui, JI Dongxiao, et al. A novel approach for fabricating antibacterial nanofiber/cotton hybrid yarns[J]. Fibers and Polymers, 2017,18(5):987-992.
[8] 常丽. 季鏻盐改性聚丙烯腈纤维及其抗菌性能与机理研究[D]. 长沙:湖南大学, 2016: 254-262.
CHANG Li. Study on the synthesis, antimicrobial activities and mechanism of polyacrylonitrile fibers modified with quaternary phosphonium salts[D]. Changsha: Hunan University, 2016: 254-262.
[9] 于灵芳, 张华鹏. 镀银纤维混纺织物抑菌性能及机理分析[J]. 棉纺织技术, 2012,40(9):570-572.
YU Lingfang, ZHANG Huapeng. Antimicrobial property and mechanism analysis of silver-plated fiber blended fabric[J]. Cotton Textile Technology, 2012,40(9):570-572.
[10] 彭开美, 丁伟, 涂伟萍, 等. 胍类抗菌聚合物的构建及应用[J]. 化学学报, 2016,74:713-725.
PENG Kaimei, DING Wei, TU Weiping, et al. Contruction of guanidinium-rich polymers and their applications[J]. ACTA Chimica Sinica, 2016,74:713-725.
[11] 郑皓, 徐少俊, 杨晓霞, 等. 抗菌防霉剂的研究进展及其在纺织品中的应用[J]. 纺织学报, 2011,32(11):153-162.
ZHENG Hao, XU Shaojun, YANG Xiaoxia, at el. Progress of research on antimicrobial agents and their application to textiles[J]. Journal of Textile Research, 2011,32(11):153-162.
[12] SHEN H, WANG Y, XIE Z. Ti-amide catalyzed synjournal of cyclic guanidines from di-/triamines and carbodiimides[J]. Organic Letters, 2011,13(7):4562-4565.
[13] LIU H, TANG J, JIANG L, et al. Efficient domino synjournal of benzimidazole derivatives: copper catalysis versus transition metal-free conditions[J]. Tetrahedron Letters, 2015,56(13):1624-1630.
[1] DONG Kuiyong, YANG Tingting, WANG Xueli, HE Yong, YU Jianyong. Research and development progress of bio-based polyester and polyamide fibers [J]. Journal of Textile Research, 2020, 41(01): 174-183.
[2] WEI Yanhong, LIU Xinjin, XIE Chunping, SU Xuzhong, JI Yijun. Structure and properties of several differentiated polyester fibers [J]. Journal of Textile Research, 2019, 40(11): 13-19.
[3] YIN Sili, YANG Yang, JIANG Wen, SHI Yexin, ZHOU Xiaohua, HUANG Jinhong. Preparation and optimization of carboxyl viscose fiber grafted with silkworm chrysalis peptide [J]. Journal of Textile Research, 2019, 40(08): 14-19.
[4] SONG Xing, ZHU Chengyan, CAI Fengjie, LÜ Zhining, TIAN Wei. Influence of alkali treatment on mechanical properties of polyester/photosensitive resin composites [J]. Journal of Textile Research, 2019, 40(07): 97-102.
[5] WU Jiao, YU Husheng, WAN Xingyun, TIAN Ping, LI Huimin, HOU Xiaoxin. Preparation and properties of anti-bacterial, anti-mite and anti-mildew functional modified viscose fibers [J]. Journal of Textile Research, 2019, 40(07): 19-23.
[6] QIN Yimin. Physicochemical properties and bioactivities of chitosan fibers [J]. Journal of Textile Research, 2019, 40(05): 170-176.
[7] ZHOU Li, WANG Hongbo, DU Jinmei, FU Jiajia, WANG Wencong. Synthesis of polysulfopropylbetaine and its application inantibacterial cotton fabric [J]. Journal of Textile Research, 2019, 40(01): 84-90.
[8] ZHANG Lin, WU Hailiang, SHEN Yanqin, MAO Ningtao. Influence of alkali treatment on wicking effect and strength of profiled polyester yarn [J]. Journal of Textile Research, 2019, 40(01): 73-78.
[9] . Preparation and application of antimicrobial mug wort oil-chitosan microcapsules [J]. Journal of Textile Research, 2018, 39(10): 99-103.
[10] . Intelligent determination of blending fiber for polytrimethylene terephthalate and polybutylene terephthalate [J]. Journal of Textile Research, 2018, 39(09): 169-175.
[11] . Model establishment and validation of waste polyester fiber products based on near infrared quantitative analysis [J]. JOURNAL OF TEXTILE RESEARCH, 2018, 39(07): 63-68.
[12] . Integrating of soft intelligent textile and functional fiber [J]. JOURNAL OF TEXTILE RESEARCH, 2018, 39(05): 160-169.
[13] . Bioactivities and applications of alginate fibers [J]. JOURNAL OF TEXTILE RESEARCH, 2018, 39(04): 175-180.
[14] . Basic issues and development trends on general synthetic fibers with high functionalization [J]. JOURNAL OF TEXTILE RESEARCH, 2018, 39(03): 167-174.
[15] . Structure and physicochemical properties of polyester/polyamide copolymer fiber [J]. JOURNAL OF TEXTILE RESEARCH, 2016, 37(11): 1-7.
Viewed
Full text


Abstract

Cited

  Shared   
  Discussed   
No Suggested Reading articles found!