Journal of Textile Research ›› 2024, Vol. 45 ›› Issue (05): 138-146.doi: 10.13475/j.fzxb.20220603201

• Dyeing and Finishing Engineering • Previous Articles     Next Articles

Preparation and sensing performances of flexible temperature sensor prepared from melt-blown nonwoven materials

WANG Nan1,2, SUN Hui2,3(), YU Bin2,3, XU Lei2,3,4, ZHU Xiangxiang2,3   

  1. 1. College of Materials Science and Engineering, Zhejiang Sci-Tech University, Hangzhou, Zhejiang 310018, China
    2. College of Textile Science and Engineering (International Insititute of Silk), Zhejiang Sci-Tech University, Hangzhou, Zhejiang 310018, China
    3. Key Laboratory of Fiber Materials and Manufacturing Technology, Zhejiang Sci-Tech University, Hangzhou, Zhejiang 310018, China
    4. Suzhou Vocational College of Economics and Trade, Suzhou, Jiangsu 215009, China
  • Received:2023-07-20 Revised:2024-01-26 Online:2024-05-15 Published:2024-05-31

Abstract:

Objective Most of high sensitivity temperature sensors are prepared from membranes, metals and other substrate materials, and flexible textile materials with good processing performance and low cost are increasingly used much for making flexible sensors, such as wearable electronics for e-skin and health monitoring and flexible temperature sensors which have advantages in simple structure, wide range of applications and low preparation cost. This research explores the preparation and sensing performance of flexible textile temperature sensors prepared from melt-blown nowoven textiles.

Method PEDOT:PSS/CNTs/PBTNW flexible temperature sensors were prepared by co-loading poly(3,4-ethylenedioxythiophene)-poly(styrene sulfonic acid) (PEDOT:PSS) and carbon nanotubes (CNTs) with different concentration ratios on the surface of PBT melt-blown nonwoven (PBTNW) by a simple ultrasonic process. The method is simple, and the temperature sensor can monitor the human body as well as the environment temperature, which expands the application field of textile materials.

Results SEM evaluation showed that the interstices of PBTNW loaded with PEDOT:PSS polymer were filled with a small number of one-dimensional CNTs, forming a one-dimensional and two-dimensional structure, which in turn formed a three-dimensional networls structure easy for electrical conductivity and temperature sensing. The PEDOT:PSS and the CNTs formed a complete conductive network with the PBTNW as the backbone. The presence of the polymer PEDOT:PSS mitigated the agglomeration of CNTs better than loading CNTs alone. The temperature sensing test results showed that the prepared temperature sensor achieved a sensitivity of up to -0.71%/℃ in the range of 25-80 ℃, fast response time (18 s), good linearity (R2=0.99), hysteresis as low as 4.98%, good reusability as well as a long term stability, and a sensing accuracy of 0.1 ℃ in the temperature range of 37-38 ℃. The thermal stability and mechanical properties of PBTNW and PEDOT:PSS/CNTs/PBTNW with different loading ratios were analyzed. After loading PEDOT:PSS and different ratios of PEDOT:PSS and CNTs on the surface of PBTNW, the thermal stability and mechanical properties of the prepared flexible temperature sensors were found to be the best when the ratio of PEDOT:PSS to CNTs was 1∶0.6.

Conclusion Fast response time and high sensitivity gives flexible temperature sensors not only in the environmental temperature measurement of the possibility, but also expand its possibility in the field of human body temperature monitoring. It is indicated that textile materials as a lower cost and simple processing methods of flexible materials have the prospect for applications in the field of flexible sensors. The reliability of the prepared temperature sensors was proved experimentally. However, it is difficult to have high strength due to the characteristics of nonwoven materials themselves, which limits the long-term use of nonwoven temperature sensors.

Key words: poly(3,4-ethylene dioxythiophene)-polystyrene sulfonic acid, polybutylene terephalate, melt-blown nonwoven, carbon nanotube, flexible temperature sensor

CLC Number: 

  • TS176

Fig.1

Schematic diagram of fabrication process for temperature sensor"

Fig.2

SEM images of different PBTNW samples"

Fig.3

FT-IR spectra of different PBTNW temperature sensors"

Fig.4

XRD patterns of different PBTNW temperature sensors"

Fig.5

TGA curves of different PBTNW samples"

Tab.1

Comparison of thermal decomposition temperatures of different PBTNW samples"

试样名称 热分解温度/℃
T0.95 T0.95
PBTNW 300.2 442.2
PEDOT:PSS/PBTNW 302.0 449.5
PEDOT:PSS/CNTs0.3/PBTNW 320.5 450.4
PEDOT:PSS/CNTs0.6/PBTNW 342.2 456.3
PEDOT:PSS/CNTs0.9/PBTNW 325.3 446.5

Fig.6

Sensitivity for temperature sensors of PEDOT:PSS/CNTs/PBTNW samples"

Fig.7

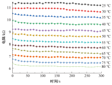
Resistance change vs.temperature curve of PEDOT:PSS/CNTs0.6/PBTNW temperature sensor"

Fig.8

Repeatability of PEDOT:PSS/CNTs0.6/PBTNW temperature sensor"

Fig.9

Long-term stability of PEDOT:PSS/CNTs0.6/PBTNW temperature sensor"

Fig.10

Response time of PEDOT:PSS/CNTs0.6/PBTNW temperature sensor"

Fig.11

Prescision of PEDOT:PSS/CNTs0.6/PBTNW temperature sensor"

Fig.12

Hysteresis of PEDOT:PSS/CNTs0.6/PBTNW temperature sensor"

Fig.13

Tensile curves of PEDOT: PSS/CNTs with different mass ratios"

Tab.2

Longitudinal fracture strength and elongation at break of different PBTNW samples"

试样名称 断裂强度/
(N·tex-1)
断裂
伸长率/%
PBTNW 8.301±0.220 337.9±3.12
CNTs/PBTNW 6.640±0.550 295.4±4.12
PEDOT:PSS/PBTNW 8.940±0.320 271.3±3.14
PEDOT:PSS/CNTs0.3/PBTNW 10.311±0.680 339.6±5.23
PEDOT:PSS/CNTs 0.6/PBTNW 12.421±1.102 342.6±2.98
PEDOT:PSS/CNTs0.9/PBTNW 13.381±0.930 299.4±3.17

Fig.14

Practical application of PEDOT:PSS/CNTs0.6/PBT NW temperature sensor. (a)Temperature change of water cup after adding hot water; (b)Palm temperature; (c)Hand back temperature"

[1] GU J, ZHANG H, CHEN F, et al. Mini review on flexible and wearable electronics for monitoring human health information[J]. Nanoscale Research Letters, 2020, 14(1):263.
[2] 苏毅. 面向康复机器人的柔性温度传感器的研究[D]. 太原: 中北大学, 2021:2-4.
SU Yi. Research on flexible temperature sensor for rehabilitation robot[D]. Taiyuan: North University of Chin, 2021:2-4.
[3] NAG A, MUKHOPADHYAY S C, KOSEL J. Wearable flexible sensors: a review[J]. IEEE Sensors Journal, 2017, 17(13): 3949-3960.
[4] 张弛, 杨晓亮, 唐瑞, 等. 微机电系统温度传感器研究进展及产业现状综述[J]. 科技与创新, 2021(4):83-85.
ZHANG Chi, YANG Xiaodong, TANG Rui, et al. Research progress and industry status of MEMS temperature sensor[J]. Science and Innovation, 2021(4):83-85.
[5] 闫宗瑶, 刘建勇, 方子鑫. 柔性温度传感器的加工及在纺织领域的应用[J]. 针织工业, 2021(10):71-75.
YAN Zongyao, LIU Jianyong, FANG Zixin. The processing of flexible temperature sensor and its application in textile field[J]. Knitting Industries, 2021(10):71-75.
[6] 孙嘉琪, 于晓坤, 王克毅. 柔性织物传感器研究现状与发展[J]. 功能材料与器件学报, 2020, 26(1):16-23.
SUN Jiaqi, YU Xiaokun, WANG Keyi. Research status and development of flexible fabric sensor[J]. Journal of Functional Materials and Devices, 2020, 26(1):16-23.
[7] 石素宇, 王利娜, 辛长征, 等. 废弃非织造布再利用的前处理及应用研究[J]. 现代纺织技术, 2018, 26(6):29-33.
[11] WANGY F, SEKINE T, TAKEDA Y, et al. Fully printed PEDOT:PSS-based temperature sensor with high humidity stability for wireless healthcare monitoring[J]. Scientific Reports, 2020. DOI: 10.1038/s41598-020-59432-2.
[12] DU Y, ZHANG Q, ZHUO K, et al. Study on the performance oftemperature-stabilised flexible strain sensors based on silvernanowires[J]. Micro & Nano Letters, 2019, 14(2):168-172.
[13] LIU Q X, TAI H L, ZHEN Y, et al., A high-performances flexible temperature sensor composed of polyethyleneimine/reduced graphene oxide bilayer for real-time monitoring[J]. Advanced Material Technology, 2019. DOI: 10.1002/admt.201800594.
[7] SHI Suyu, WANG Lina, XIN Changzheng, et al. Research on pre-treatment and application of reuse of waste nonwoven fabric[J]. Modern Textile Technology, 2018, 26(6):29-33.
[8] 徐延光, 马炳和, 邓进军. 基于MEMS技术的柔性Ni基热敏传感器阵列研制[J]. 半导体技术, 2009, 34(7):697-700.
XU Yanguang, MA Binghe, DENG Jinjun. Fabrication of flexible Ni based thermal sensor array based on MEMS Technology[J]. Semiconductor Technology, 2009, 34(7):697-700.
[9] 徐骁雯, 张健, 陶佰睿. 基于喷墨打印技术的柔性温度传感器阵列[J]. 齐齐哈尔大学学报(自然科学版), 2016, 32(2):19-22.
XU Xiaowen, ZHANG Jian, TAO Bairui. Flexible temperature sensor array based on inkjet printing technology[J]. Journal of Qiqihar University (Natural Science Edition), 2016, 32(2):19-22.
[10] 何柳丰, 窦文堃, 刘军山. 聚酰亚胺柔性温度传感器的制作与性能测试[J]. 机电工程技术, 2018, 47(11):5-8, 80.
HE Liufeng, DOU Wenkun, LIU Junshan. Fabrication and performance test of flexible polyimide temperature sensor[J]. Mechanical & Electrical Engineering Technology, 2018, 47(11):5-8, 80.
[1] JIA Xiaoya, WANG Ruining, SUN Runjun. Preparation and stab-resistance of composites fabricated by aramid fabric impregnated with SiO2/poly(ethylene glycol)200/ multi-walled carbon nanotube shear thickening solution [J]. Journal of Textile Research, 2024, 45(04): 151-159.
[2] CHEN Rongxuan, SUN Hui, YU Bin. Preparation and photocatalytic properties of N-TiO2/ polypropylene melt-blown nonwovens [J]. Journal of Textile Research, 2024, 45(03): 137-147.
[3] SONG Gongji, WANG Yuyu, WANG Shanlong, WANG Jiannan, XU Jianmei. Research progress in artificial nerve conduit prepared by carbon nanotube-doped polymer [J]. Journal of Textile Research, 2023, 44(11): 232-239.
[4] GU Yingshu, ZHU Yanlong, WANG Bin, DONG Zhenfeng, GU Xiaoxia, YANG Changlan, CUI Meng, ZHANG Xiuqin. Preparation and properties of polylactic acid/electret melt-blown nonwovens [J]. Journal of Textile Research, 2023, 44(08): 41-49.
[5] ZHANG Shaoyue, YUE Jiangyu, YANG Jiale, CHAI Xiaoshuai, FENG Zengguo, ZHANG Aiying. Preparation and properties of eco-friendly polycaprolactone-based composite phase change fibrous membranes [J]. Journal of Textile Research, 2023, 44(03): 11-18.
[6] YANG Xiaodong, YU Bin, SUN Hui, ZHU Feichao, LIU Peng. Preparation and filtration properties of polyethylene trifluoroethylene melt-blown nonwovens [J]. Journal of Textile Research, 2023, 44(02): 19-26.
[7] PU Haihong, HE Pengxin, SONG Baiqing, ZHAO Dingying, LI Xinfeng, ZHANG Tianyi, MA Jianhua. Preparation of cellulose/carbon nanotube composite fiber and its functional applications [J]. Journal of Textile Research, 2023, 44(01): 79-86.
[8] CHU Yanyan, LI Shichen, CHEN Chao, LIU Yingying, HUANG Weihan, ZHANG Yue, CHEN Xiaogang. Research progress in bulletproof flexible textile materials and structures [J]. Journal of Textile Research, 2022, 43(12): 203-212.
[9] WANG Hongjie, YAO Lan, WANG He, ZHANG Zhong. Preparation and electrochemical performances of melt-blown nonwovens electrode from medical mask [J]. Journal of Textile Research, 2022, 43(12): 22-28.
[10] WU Yanjin, WANG Jiang, WANG Hong. Preparation and charging characteristics analysis of hydro charging polypropylene melt-blown nonwovens [J]. Journal of Textile Research, 2022, 43(12): 29-34.
[11] LOU Huiqing, ZHU Feichao, LI Leilei, DING Huilong, PU Dandan, WANG Xiangfei. Preparation and electrochemical performance of composite carbon nanotube/Ni/polyaniline fibrous supercapacitor [J]. Journal of Textile Research, 2022, 43(11): 35-40.
[12] XUE Chao, ZHU Hao, YANG Xiaochuan, REN Yu, LIU Wanwan. Preparation and properties of polyurethane-based carbon nanotube/liquid metal conductive fibers [J]. Journal of Textile Research, 2022, 43(07): 29-35.
[13] NIE Wenqi, SUN Jiangdong, XU Shuai, ZHENG Xianhong, XU Zhenzhen. Research progress in supercapacitors based on flexible textile fibers [J]. Journal of Textile Research, 2022, 43(07): 200-206.
[14] YAO Mingyuan, LIU Ningjuan, WANG Jianing, XU Fujun, LIU Wei. Electrothermal properties of functionalization carbon nanotube composite films and films twisted yarns [J]. Journal of Textile Research, 2022, 43(05): 86-91.
[15] LU Qianqian, TANG Junxiong, LIU Yuanjun, ZHAO Xiaoming. Research progress in preparation of carbon nanotubes based wave absorbing composites and its applications in textile field [J]. Journal of Textile Research, 2022, 43(04): 187-193.
Viewed
Full text


Abstract

Cited

  Shared   
  Discussed   
No Suggested Reading articles found!