纺织学报 ›› 2021, Vol. 42 ›› Issue (07): 39-45.doi: 10.13475/j.fzxb.20200900507

• 特约专栏:纺织材料阻燃新技术 • 上一篇    下一篇

超支化磷酰胺在粘胶织物阻燃整理中的应用

张超1,2,3,4, 蒋之铭1,2,3,4(), 朱少彤1, 张晨曦1,2,3,4, 朱平1,2,3,4   

  1. 1.青岛大学 纺织服装学院, 山东 青岛 266071
    2.青岛大学 功能纺织品与先进材料研究院, 山东 青岛 266071
    3.青岛大学 生物多糖纤维成形与生态纺织国家重点实验室, 山东 青岛 266071
    4.青岛大学 海洋生物质纤维材料及纺织品山东省协同创新中心, 山东 青岛 266071
  • 收稿日期:2020-09-01 修回日期:2021-04-07 出版日期:2021-07-15 发布日期:2021-07-22
  • 通讯作者: 蒋之铭
  • 作者简介:张超(1995—),男,硕士生。主要研究方向为功能性纤维及功能性纺织品。
  • 基金资助:
    国家重点研发计划项目(2017YFB0309000);国家自然科学基金项目(51991354)

Application of hyperbranched phosphoramide in flame retardant finishing of viscose fabrics

ZHANG Chao1,2,3,4, JIANG Zhiming1,2,3,4(), ZHU Shaotong1, ZHANG Chenxi1,2,3,4, ZHU Ping1,2,3,4   

  1. 1. College of Textiles & Clothing, Qingdao University, Qingdao, Shandong 266071, China
    2. Institute of Functional Textiles and Advanced Materials, Qingdao University, Qingdao, Shandong 266071, China
    3. State Key Laboratory of Bio-Fibers and Eco-Textiles, Qingdao University, Qingdao, Shandong 266071, China
    4. Collaborative Innovation Center of Marine Biomass Fibers Materials and Textiles of Shandong Province, Qingdao University, Qingdao, Shandong 266071, China
  • Received:2020-09-01 Revised:2021-04-07 Published:2021-07-15 Online:2021-07-22
  • Contact: JIANG Zhiming

摘要:

为开发无甲醛阻燃粘胶织物,以多羟基超支化磷酰胺(HPAE)和1,2,3,4-丁烷四羧酸(BTCA)为阻燃整理体系,制备阻燃粘胶织物。对比分析整理前后粘胶织物的表面结构组成、成炭性能和燃烧行为,评价该阻燃整理体系对粘胶织物的拉伸断裂强力、折皱回复角和白度的影响。结果表明:当织物的质量增加率为22.5%时,极限氧指数(LOI值)从21.0%提高到28.9%,织物离火自熄,能顺利通过垂直燃烧测试;HPAE极大提升了粘胶织物的成炭能力,在800 ℃氮气氛围中的残炭量为42.9%;整理后织物在燃烧过程中的热释放明显降低,最大热释放速率和总热释放量分别下降了59.4%和15.1%;经过25次标准水洗后,LOI值从29.1%下降到24.8%。

关键词: 粘胶织物, 1,2,3,4-丁烷四羧酸, 超支化磷酰胺, 阻燃剂, 阻燃整理, 功能纺织品

Abstract:

In order to realize synchronously formaldehyde-free and flame retardant properties of viscose fabrics, a flame-retardant viscose fabric was prepared with polyhydroxy hyperbranched phosphoramide (HPAE) and 1,2,3,4-butanetetracarboxylic acid (BTCA) as the flame retardant finishing system in this paper. The surface structure composition, charring performance and burning behavior of the viscose fabric before and after finishing were compared and analyzed, and the effect of the flame retardant system on the tensile breaking strength, wrinkle recovery angle and whiteness of viscose fabric were evaluated. The results show that when the weight gain of the fabric reaches 22.5%, the limiting oxygen index (LOI) value is increased from 21.0% to 28.9%. The fabric can self-extinguish after leaving the fire, and can successfully pass the vertical burning test.The introduction of HPAE greatly improved the carbon-forming ability of the viscose fabric, and the residual char retention rate was 42.9% in the nitrogen atmosphere at 800 ℃.The heat release of the finished fabric in the combustion process was obviously reduced,and the peak heat release rate (pHRR) and the total heat release (THR) decreased by 59.4% and 15.1%, respectively. After 25 standard washings, the LOI value of the fabric dropped from 29.1% to 24.8%.

Key words: viscose fabric, 1,2,3,4-butanetetracarboxylic acid, hyperbranched phosphoramide, flame retardant, flame retardant finishing, functional textiles

中图分类号: 

  • TS195.5

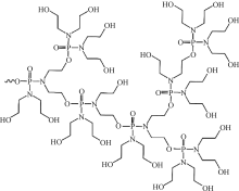
图1

超支化磷酰胺(HPAE)的结构式"

图2

对照织物和整理织物的SEM照片"

图3

对照织物和整理织物的EDX谱图"

图4

对照织物和整理织物的红外谱图"

图5

垂直燃烧测试后的照片"

表1

对照织物和整理织物的质量增加率、LOI值和垂直燃烧测试结果"

HPAE质量
浓度/(g·L-1)
质量增加
率/%
LOI
值/%
续燃时
间/s
阴燃时
间/s
损毁长
度/cm
0 21.0 14.6 66.1
100 7.2 22.5 6.6 3.1 30.0
200 17.1 25.1 7.8 0 30.0
300 22.5 28.9 0 0 9.6
400 24.2 29.4 0 0 8.3
500 24.9 29.6 0 0 8.4

图6

整理织物残炭的SEM照片"

图7

整理织物残炭的EDX谱图"

图8

对照织物和整理织物残炭的红外谱图"

图9

对照织物和整理织物在氮气中的TG和DTG曲线"

表2

对照织物和整理织物在氮气中的热重分析数据"

样品 T5%/℃ Tmax/℃ 残炭量/%
Tmax 800 ℃时
对照织物 262 340 45.0 18.8
整理织物 238 279 73.8 42.9

图10

对照织物和整理织物经锥形量热法测试后的照片"

图11

对照织物和整理织物的热释放速率及总热释放量曲线"

表3

织物的燃烧行为数据"

样品 最大热释放速率/
(kW·m-2)
总热释放量/
(MJ·m-2)
平均有效燃烧热/
(MJ·kg-1)
总烟释放量/
(m2·m-2)
二氧化碳与一氧化碳的
质量比
残炭量/%
对照织物 299 5.3 11.9 12.6 11.5
整理织物 121 4.5 8.3 25.4 7.7 13.4

表4

整理织物的耐水洗测试数据"

水洗次数 质量增加率/% LOI值/%
0 23.2 29.1
5 20.0 26.2
10 18.5 25.8
15 17.7 25.6
20 17.2 25.3
25 16.2 24.8

表5

织物的拉伸断裂强力、折皱回复角及白度测试结果"

样品 拉伸断裂强力/N 折皱回复角/(°) 白度/%
经向 纬向
对照织物 388.8±7.1 266.9±9.1 199.7±2.9 77.6±0.3
整理织物 185.0±13.1 79.8±2.9 222.0±5.0 52.4±0.7
[1] 全凤玉, 纪全, 夏延致, 等. 阻燃粘胶纤维的研究及其进展[J]. 纺织学报, 2004, 25(1):121-123.
QUAN Fengyu, JI Quan, XIA Yanzhi, et al. Research and advancement of flame-retardant fiber of regenerated cellulose[J]. Journal of Textile Research, 2004, 25(1):121-123.
[2] 张美荣, 冉国庆, 姚勇波, 等. 硅氮系阻燃粘胶纤维的结构与性能研究[J]. 合成纤维, 2019, 48(6):18-23.
ZHANG Meirong, RAN Guoqing, YAO Yongbo, et al. Study on structure and properties of silicon-nitride flame retardante viscose fiber[J]. Synthetic Fiber in China, 2019, 48(6):18-23.
[3] LIANG S H, WANG F X, LIANG J S, et al. Synergistic effect between flame retardant viscose and nitrogen-containing intrinsic flame-retardant fibers[J]. Cellulose, 2020, 27(10):6083-6092.
doi: 10.1007/s10570-020-03203-9
[4] MA D, LI J. Synjournal of a bio-based triazine derivative and its effects on flame retardancy of polypropylene composites[J]. Journal of Applied Polymer Science, 2020, 137(1):245-253.
[5] 邹旭, 王倩倩, 朱平. 磷-氮阻燃剂的合成及整理棉织物性能[J]. 精细化工, 2020, 37(4):815-820,833.
ZOU Xu, WANG Qianqian, ZHU Ping. Synjournal of phosphorus-nitrogen flame retardant and the properties of treated cotton fabrics by it[J]. Fine Chemicals, 2020, 37(4):815-820,833.
[6] YANG C Q, WU W D. Combination of a hydroxy-functional organophosphorus oligomer and a multifunctional carboxylic acid as a flame retardant finishing system for cotton: part I. the chemical reactions[J]. Fire and Materials, 2003, 27(5):223-237.
doi: 10.1002/(ISSN)1099-1018
[7] WANG Q F, SHI W F. Synjournal and thermal decomposition of a novel hyperbranched polyphosphate ester used for flame retardant systems[J]. Polymer Degradation and Stability, 2006, 91(6):1289-1294.
doi: 10.1016/j.polymdegradstab.2005.09.001
[8] 张亚光, 李文霞, 姜鹏, 等. 棉用耐久型无醛阻燃剂的制备及应用[J]. 纺织学报, 2013, 34(3):76-81.
ZHANG Yaguang, LI Wenxia, JIANG Peng, et al. Preparation and application of durable non-formaldehyde flame retardants for cotton[J]. Journal of Textile Research, 2013, 34(3):76-81.
[9] CHEN X, JIAO C, LI S, et al. Flame retardant epoxy resins from bisphenol-A epoxy cured with hyperbranched polyphosphate ester[J]. Journal of Polymer Research, 2011, 18(6):2229-2237.
doi: 10.1007/s10965-011-9636-0
[10] LI Z, WEI P, YANG Y, et al. Synjournal of a hyperbranched poly(phosphamide ester) oligomer and its high-effective flame retardancy and accelerated nucleation effect in polylactide composites[J]. Polymer Degradation and Stability, 2014, 110:104-112.
doi: 10.1016/j.polymdegradstab.2014.08.024
[11] GUAN J, YANG C Q, CHEN G. Formaldehyde-free flame retardant finishing of silk using a hydroxyl-functional organophosphorus oligomer[J]. Polymer Degradation and Stability, 2009, 94(3):450-455.
doi: 10.1016/j.polymdegradstab.2008.10.024
[12] TIAN P X, LIU M S, WAN C Y, et al. Synjournal of a formaldehyde-free flame retardant for cotton fabric[J]. Cellulose, 2019, 26(18):9889-9899.
doi: 10.1007/s10570-019-02751-z
[13] ZHAO B, LIU Y T, ZHANG C Y, et al. A novel phosphoramidate and its application on cotton fabrics: synjournal, flammability and thermal degradation[J]. Journal of Analytical and Applied Pyrolysis, 2017, 125:109-116.
doi: 10.1016/j.jaap.2017.04.011
[14] LIU W, CHEN L, WANG Y Z. A novel phosphorus-containing flame retardant for the formaldehyde-free treatment of cotton fabrics[J]. Polymer Degradation and Stability, 2012, 97(12):2487-2491.
doi: 10.1016/j.polymdegradstab.2012.07.016
[15] 夏郁葱. 国产阻燃粘胶纤维技术现状和发展趋势[J]. 纺织学报, 2012, 33(6):129-135.
XIA Yucong. Technology status and development trend of national flame-retardant viscose fibers[J]. Journal of Textile Research, 2012, 33(6):129-135.
[16] LIU Z, XU M, WANG Q, et al. A novel durable flame retardant cotton fabric produced by surface chemical grafting of phosphorus- and nitrogen-containing compounds[J]. Cellulose, 2017, 24(9):4069-4081.
doi: 10.1007/s10570-017-1391-x
[17] 冯倩倩, 朱方龙, 信群, 等. 膨胀型阻燃棉织物的热降解动力学[J]. 纺织学报, 2016, 37(12):81-86.
FENG Qianqian, ZHU Fanglong, XIN Qun. Thermal degradation behaviors and kinetics of intumescent flame-retardant cotton fabric[J]. Journal of Textile Research, 2016, 37(12):81-86.
[18] FENG Y, ZHOU Y, LI D, et al. A plant-based reactive ammonium phytate for use as a flame-retardant for cotton fabric[J]. Carbohydrate Polymers, 2017, 175:636-644.
doi: 10.1016/j.carbpol.2017.06.129
[19] KE G, XIAO Z, JIN X, et al. Wrinkle recovery angle enhancement and tensile strength loss of 1,2,3,4-butanetetracarboxylic acid finished lyocell fabrics[J]. Textile Research Journal, 2020, 90(17/18):2097-2108.
doi: 10.1177/0040517520912035
[20] SRICHARUSSIN W, RYO-AREE W, INTASEN W, et al. Effect of boric acid and BTCA on tensile strength loss of finished cotton fabrics[J]. Textile Research Journal, 2004, 74(6):475-480.
doi: 10.1177/004051750407400602
[1] 张姣姣, 李雨洋, 刘云, 董朝红, 朱平. 棉/粘胶混纺织物的阻燃抗菌整理[J]. 纺织学报, 2021, 42(07): 31-38.
[2] 刘可, 陈爽, 肖茹. 磷杂菲基共聚协效阻燃聚酰胺6纤维的制备及其性能[J]. 纺织学报, 2021, 42(07): 11-18.
[3] 林生根, 刘晓辉, 苏晓伟, 何聚, 任元林. 新型植酸基阻燃剂改性Lyocell纤维与织物的制备及其性能[J]. 纺织学报, 2021, 42(07): 25-30.
[4] 文玉峰, 马晓谱, 盛方园, 朱志国. 微胶囊化膨胀型阻燃剂的制备及其在聚乳酸中的应用[J]. 纺织学报, 2021, 42(06): 71-77.
[5] 骆晓蕾, 李紫嫣, 马亚男, 刘琳, KRUCINSKAIzabella, 姚菊明. 纺织品生态阻燃技术研究进展[J]. 纺织学报, 2021, 42(05): 193-202.
[6] 李永贺, 瞿凌曦, 徐壁, 蔡再生, 葛凤燕. 生物基聚对苯二甲酸丙二醇酯织物的阻燃与三防一步法泡沫整理[J]. 纺织学报, 2021, 42(04): 8-15.
[7] 王华清, 闫红强. 生物基三组分自组装涂层构筑及其对苎麻织物的阻燃改性[J]. 纺织学报, 2021, 42(04): 132-138.
[8] 张陈恬, 赵连英, 顾学锋. 中空咖啡碳聚酯纤维/棉混纺纬平针织物的服用性能[J]. 纺织学报, 2021, 42(03): 102-109.
[9] 周颖雨, 王锐, 靳高岭, 王文庆. 光诱导表面改性技术在织物阻燃中的应用研究进展[J]. 纺织学报, 2021, 42(03): 181-189.
[10] 丁子寒, 邱华. 纳米二氧化硅改性水性聚氨酯防水透湿涂层织物的制备及其性能[J]. 纺织学报, 2021, 42(03): 130-135.
[11] 马亚男, 沈军炎, 骆晓蕾, 张聪, 尚小磊, 刘琳, KRUCINSKA Izabella, 姚菊明. 高效无卤阻燃棉织物的制备及其结构与性能[J]. 纺织学报, 2021, 42(03): 122-129.
[12] 孟灵灵, 魏取福, 严忠杰, 仲珍珍, 王小慧, 沈佳宇, 陈洪炜. 磁控溅射Ag/ZnO纳米薄膜涤纶织物的制备及其性能[J]. 纺织学报, 2021, 42(03): 143-148.
[13] 娄娅娅, 王静, 董燕超, 王春梅. 粘胶基沸石咪唑骨架材料的制备及其对染料的脱色[J]. 纺织学报, 2021, 42(02): 142-147.
[14] 肖梦苑, 周新科, 张佳悦, 任元林. 木质素生物质阻燃剂及其应用研究进展[J]. 纺织学报, 2020, 41(12): 182-188.
[15] 杨雅茹, 沈小军, 唐柏林, 牛梅. 超高分子量聚乙烯纤维的无卤阻燃整理[J]. 纺织学报, 2020, 41(11): 109-115.
Viewed
Full text


Abstract

Cited

  Shared   
  Discussed   
No Suggested Reading articles found!