纺织学报 ›› 2021, Vol. 42 ›› Issue (07): 25-30.doi: 10.13475/j.fzxb.20200905206

• 特约专栏:纺织材料阻燃新技术 • 上一篇    下一篇

新型植酸基阻燃剂改性Lyocell纤维与织物的制备及其性能

林生根1, 刘晓辉1(), 苏晓伟1, 何聚1, 任元林2   

  1. 1.天津工业大学 材料科学与工程学院, 天津 300387
    2.天津工业大学 纺织科学与工程学院, 天津 300387
  • 收稿日期:2020-09-19 修回日期:2021-03-17 出版日期:2021-07-15 发布日期:2021-07-22
  • 通讯作者: 刘晓辉
  • 作者简介:林生根(1995—),男,硕士生。主要研究方向为阻燃纤维素纤维的制备。
  • 基金资助:
    国家重点研发计划项目(2017YFB0309000)

Preparation and properties of Lyocell fibers and fabrics modified with new phytic acid based flame retardant

LIN Shenggen1, LIU Xiaohui1(), SU Xiaowei1, HE Ju1, REN Yuanlin2   

  1. 1. School of Materials Science and Technology, Tiangong University, Tianjin 300387, China
    2. School of Textile Science and Technology, Tiangong University, Tianjin 300387, China
  • Received:2020-09-19 Revised:2021-03-17 Published:2021-07-15 Online:2021-07-22
  • Contact: LIU Xiaohui

摘要:

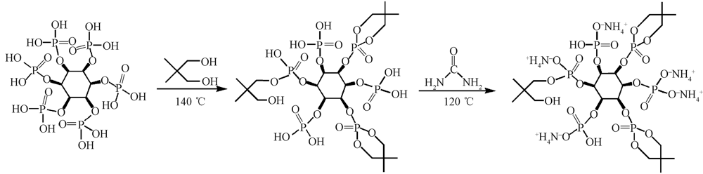
为提高Lyocell纤维与织物的阻燃性能,利用天然富磷化合物植酸与新戊二醇和尿素反应制备了一种膨胀型阻燃剂,应用于Lyocell纤维与织物的后整理。借助傅里叶变换红外光谱仪、热重分析仪、扫描电子显微镜,分析了阻燃Lyocell纤维的结构、热稳定性及表面形貌。采用垂直燃烧、锥形量热及极限氧指数实验,研究了处理后Lyocell织物的阻燃性能。结果表明:经阻燃处理后的Lyocell纤维,其初始分解温度降低了177.1 ℃,800 ℃时的残炭量提高了21%;总热释放量、热释放速率峰值及平均热释放速率分别降低了76.9%、84.0%、70.6%;极限氧指数从17.0% 提高到47.6%,经25次洗涤后极限氧指数下降到28.8%,但仍具有良好的阻燃性能。

关键词: 阻燃纤维, 植酸, Lyocell纤维, 膨胀型阻燃剂, 分解温度, 阻燃性能

Abstract:

In order to improve the flame retardancy of Lyocell fibers and fabrics, an intumescent flame retardant was prepared by reaction of phytic acid, a natural phosphorus-rich compound, with neopentyl glycol and urea, which was applied to the finishing of Lyocell fibers and fabrics. Using Fourier transform infrared spectrometer, thermogravimetric analyzer and scanning electron microscopy, the structure, thermal stability and surface morphology of the flame retardant Lyocell fibers were studied. The flame retardant properties of the treated Lyocell fabrics were studied through vertical combustion, cone calorimetric and limiting oxygen index tests. The results show that the initial decomposition temperature of Lyocell fibers after flame retardant treatment is decreased by 177.1 ℃, and the carbon residue increases by 21% at 800 ℃. The total heat release, peak heat release rate and average heat release rate are decreased by 76.9%, 84.0%, and 70.6%, respectively. The limit oxygen index (LOI) was increased from 17.0% to 47.6%. After 25 times of washing, the LOI dropped to 28.8%, but still has decent flame retardant performance.

Key words: flame retardant fiber, phytic acid, Lyocell fiber, intumescent flame retardant, decomposition temperature, flame retardant performance

中图分类号: 

  • TQ317

图1

环保阻燃剂的制备流程"

图2

阻燃剂的红外光谱"

图3

纤维的红外光谱"

图4

纤维在氮气气氛下的TG和DTG曲线"

表1

氮气气氛下处理前后纤维的分解温度及残炭量"

样品 T5%/℃ T50%/℃ Tmax/℃ 800 ℃时残炭量/%
未处理 309.5 354.9 377.3 16.4
处理后 132.4 376.5 281.2 37.5

图5

纤维及纤维燃烧后样品的扫描电镜照片"

图6

织物垂直燃烧照片处理"

表2

不同织物的垂直燃烧结果"

样品 LOI
值/%
质量增加
率/%
余焰
时长/s
燃烧速率/
(mm·s-1)
炭长/
mm
未处理 17.0 0 5 42.0 0
处理后 47.6 21 0 0.9 32
处理+水洗25次 28.8 5 0 1.3 69

图7

织物热释放速率及总热释放量曲线"

表3

未处理和处理后Lyocell织物的热释放数据"

样品 点火
时间/s
总热释放量/
(MJ·m-2)
热释放速率峰
值/(kW·m-2)
平均热释放速
率/(kW·m-2)
残炭
量/%
未处理 18.0 16.9 135.7 44.6 4.7
处理后 3.9 21.7 13.1 31.5

图8

阻燃Lyocell纤维燃烧后残炭的拉曼光谱图"

[1] HALL M E, HORROCKS A R, SEDDON H. Flammability of Lyocell[J]. Polymer Degradation and Stability, 1999, 64(3):505-510.
doi: 10.1016/S0141-3910(98)00202-X
[2] REN Y L, LIU Y S, WANG Y, et al. Preparation of durable and flame retardant lyocell fabrics by using a biomass-based modifier derived from vitamin C[J]. Cellulose, 2020, 27(11):6677-6689.
doi: 10.1007/s10570-020-03218-2
[3] 任元林, 张悦, 曾倩, 等. 织物阻燃涂层新工艺的研究进展[J]. 纺织学报, 2017, 38(9):168-173.
REN Yuanlin, ZHANG Yue, ZENG Qian, et al. Research progress on new technology of fabric flame retardant coating[J]. Journal of Textile Research, 2017, 38(9):168-173.
[4] WAN C Y, LIU M S, TIAN P X, et al. Renewable vitamin B5 reactive N-P flame retardant endows cotton with excellent fire resistance and durability[J]. Cellulose, 2020, 27(3):1745-1761.
doi: 10.1007/s10570-019-02886-z
[5] JIA Y L, HU Y W, ZHENG D D, et al. Synjournal and evaluation of an efficient, durable, and environmentally friendly flame retardant for cotton[J]. Cellulose, 2017, 24(2):1159-1170.
doi: 10.1007/s10570-016-1163-z
[6] ZHANG F X, GAO W W, JIA Y L, et al. A concise water-solvent synjournal of highly effective, durable, and eco-friendly flame-retardant coating on cotton fabrics[J]. Carbohydrate Polymers, 2018, 199:256-265.
doi: 10.1016/j.carbpol.2018.05.085
[7] ALONGL J, CARLETTO R A, DI-BLASIO A, et al. DNA: a novel, green, natural flame retardant and suppressant for cotton[J]. Journal of Materials Chemistry A, 2013, 1(15):4779-4785.
doi: 10.1039/c3ta00107e
[8] KONG F B, HE Q L, PENG W, et al. Eco-friendly flame retardant poly(lactic acid) composites based on banana peel powders and phytic acid: flame retardancy and thermal property[J]. Journal of Polymer Research, 2020, 27(8):1-12.
doi: 10.1007/s10965-019-1979-y
[9] ZHANG T, YAN H Q, SHEN L, et al. Chitosan/phytic acid polyelectrolyte complex: a green and renewable intumescent flame retardant system for ethylene-vinyl acetate copolymer[J]. Industrial & Engineering Chemistry Research, 2014, 53(49):19199-19207.
doi: 10.1021/ie503421f
[10] CHENG X W, GUAN J P, TANG R C, et al. Phytic acid as a bio-based phosphorus flame retardant for poly(lactic acid) nonwoven fabric[J]. Journal of Cleaner Production, 2016, 124:114-119.
doi: 10.1016/j.jclepro.2016.02.113
[11] CHENG X W, GUAN J P, KIEKENS P, et al. Preparation and evaluation of an eco-friendly, reactive, and phytic acid-based flame retardant for wool[J]. Reactive & Functional Polymers, 2019, 134:58-66.
[12] CHENG X W, GUAN J P, YANG X H, et al. Phytic acid/silica organic-inorganic hybrid sol system: a novel and durable flame retardant approach for wool fabric[J]. Journal of Materials Research and Technology, 2019, 9(1):700-708.
doi: 10.1016/j.jmrt.2019.11.011
[13] ZIKE O, PLOHL D, OPWIS K, et al. A flame-retardant phytic-acid-based LbL-coating for cotton using polyvinylamine[J]. Polymers, 2020, 12:1-15.
doi: 10.3390/polym12010001
[14] ZHU W J, YANG M Y, HUANG H, et al. A phytic acid-based chelating coordination embedding structure of phosphorus-boron-nitride synergistic flame retardant to enhance durability and flame retardancy of cotton[J]. Cellulose, 2020, 27(8):4817-4829.
doi: 10.1007/s10570-020-03063-3
[15] LIU X H, ZHANG Q Y, CHENG B W, et al. Durable flame retardant cellulosic fibers modified with novel, facile and efficient phytic acid-based finishing agent[J]. Cellulose, 2018, 25(1):799-811.
doi: 10.1007/s10570-017-1550-0
[16] SAHITO I A, SUN K C, ARBAB A A, et al. Integrating high electrical conductivity and photocatalytic activity in cotton fabric by cationizing for enriched coating of negatively charged graphene oxide[J]. Carbohydrate Polymers, 2015, 130:299-306.
doi: 10.1016/j.carbpol.2015.05.010
[17] BAI B C, KIM E A, JEON Y P, et al. Improved flame-retardant properties of Lyocell fiber achieved by phosphorus compound[J]. Materials Letters, 2014, 135:226-228.
doi: 10.1016/j.matlet.2014.07.131
[18] WU T K. Carbon-13 and proton nuclear magnetic resonance studies of cellulose nitrates[J]. Nature, 1980, 13(1):552-555.
[1] 刘可, 陈爽, 肖茹. 磷杂菲基共聚协效阻燃聚酰胺6纤维的制备及其性能[J]. 纺织学报, 2021, 42(07): 11-18.
[2] 顾伟文, 王文庆, 魏丽菲, 孙晨颖, 郝聃, 魏建斐, 王锐. 碳点对阻燃聚对苯二甲酸乙二醇酯性能的影响[J]. 纺织学报, 2021, 42(07): 1-10.
[3] 黄伟, 程春祖, 张嘉煜, 张晨曦, 程敏, 徐纪刚, 刘云崇. 高原纤化Lyocell纤维的制备及其性能[J]. 纺织学报, 2021, 42(06): 41-45.
[4] 文玉峰, 马晓谱, 盛方园, 朱志国. 微胶囊化膨胀型阻燃剂的制备及其在聚乳酸中的应用[J]. 纺织学报, 2021, 42(06): 71-77.
[5] 王华清, 闫红强. 生物基三组分自组装涂层构筑及其对苎麻织物的阻燃改性[J]. 纺织学报, 2021, 42(04): 132-138.
[6] 曾凡鑫, 秦宗益, 沈玥莹, 陈园余, 胡铄. 自熄性棉织物的喷涂辅助层层自组装法制备及其阻燃性能[J]. 纺织学报, 2021, 42(01): 103-111.
[7] 马君志, 葛红, 王冬, 付少海. 溶胶-凝胶法改性阻燃粘胶纤维的制备及其性能[J]. 纺织学报, 2021, 42(01): 10-15.
[8] 应丽丽, 李长龙, 王宗乾, 王邓峰, 吴开明, 谢伟, 程欢. 植酸作用下锆离子修饰羽绒及其保温性能[J]. 纺织学报, 2020, 41(10): 94-100.
[9] 元伟, 姚勇波, 张玉梅, 王华平. 制备Lyocell纤维用纤维素浆粕的碱性酶处理工艺[J]. 纺织学报, 2020, 41(07): 1-8.
[10] 许黛芳. 磷酸改性芳纶对聚氨酯硬质泡沫阻燃抑烟性能的影响[J]. 纺织学报, 2020, 41(05): 30-37.
[11] 周青青, 陈嘉毅, 祁珍明, 陈为健, 邵建中. 阻燃抗菌棉织物的制备及其性能表征[J]. 纺织学报, 2020, 41(05): 112-120.
[12] 马君志, 王冬, 付少海. 氧化石墨烯协同二硫代焦磷酸酯阻燃粘胶纤维的制备及其性能[J]. 纺织学报, 2020, 41(03): 15-19.
[13] 党丹旸, 崔灵燕, 王亮, 刘雍. 纤维素纳米纤维/纳米蒙脱土复合气凝胶制备及其结构与性能[J]. 纺织学报, 2020, 41(02): 1-6.
[14] 徐爱玲, 王春梅. 植酸的铵化及其对Lyocell织物的阻燃整理[J]. 纺织学报, 2020, 41(02): 83-88.
[15] 程筒, 姚勇波, 陈忠丽, 靳宏, 吴开建, 王乐军, 刘怡宁, 张玉梅. 基于N-甲基吗啉-N-氧化物溶剂制备聚芳砜酰胺/纤维素阻燃纤维[J]. 纺织学报, 2019, 40(07): 1-76.
Viewed
Full text


Abstract

Cited

  Shared   
  Discussed   
No Suggested Reading articles found!