纺织学报 ›› 2021, Vol. 42 ›› Issue (03): 27-35.doi: 10.13475/j.fzxb.20200902709

• 特约专栏:针织物全流程平幅印染技术 • 上一篇    下一篇

金属配合物催化棉织物低温漂白研究进展

武守营1,2, 张琳萍1,2, 徐红1,2, 钟毅1,2, 毛志平1,2,3()   

  1. 1.东华大学 生态纺织教育部重点实验室, 上海 201620
    2.东华大学 化学化工与生物工程学院, 上海 201620
    3.国家先进印染技术创新中心, 山东 泰安 271000
  • 收稿日期:2020-09-11 修回日期:2020-12-18 出版日期:2021-03-15 发布日期:2021-03-17
  • 通讯作者: 毛志平
  • 作者简介:武守营(1992—),女,博士生。主要研究方向为金属配合物的制备及其催化性能研究。
  • 基金资助:
    国家重点研发计划项目(2017YFB0309700)

Research progress of low-temperature bleaching of cotton fabrics catalyzed by metal complexes

WU Shouying1,2, ZHANG Linping1,2, XU Hong1,2, ZHONG Yi1,2, MAO Zhiping1,2,3()   

  1. 1. Key Laboratory of Science and Technology of Eco-Textile, Ministry of Education, Donghua University, Shanghai 201620, China
    2. College of Chemistry, Chemical Engineering and Biotechnology, Donghua University, Shanghai 201620, China
    3. National Manufacturing Innovation Center of Advanced Dyeing and Finishing Technology, Tai'an, Shandong 271000, China
  • Received:2020-09-11 Revised:2020-12-18 Online:2021-03-15 Published:2021-03-17
  • Contact: MAO Zhiping

摘要:

为深入了解金属配合物催化剂在棉织物低温漂白前处理中的应用,开发性能更加优异的金属配合物催化剂,对国内外相关研究进展进行了综述。主要介绍了以环多胺、席夫碱、吡啶、卟啉、酞菁及大环酰胺等几种典型配体与过渡金属形成的配合物催化剂在棉织物低温漂白中的应用。对金属配合物/双氧水低温漂白体系与传统棉织物氧漂体系进行了比较分析。结果表明,金属配合物是一种高效的催化剂,在双氧水低温漂白体系中的使用可有效解决传统棉织物氧漂工艺存在的能耗大、织物损伤严重等问题。最后指出了金属配合物催化剂在现阶段研究过程中存在的不足,并对未来的研究和发展进行了展望。

关键词: 金属配合物, 催化剂, 棉织物, 低温漂白, 前处理

Abstract:

In order to study the application of metal complex catalysts in low-temperature bleaching of cotton fabrics, and to develop metal complexes with better performance, the relevant researches at home and abroad were reviewed. The metal complexes based on several types of ligands such as cyclic polyamines, Schiff bases, pyridines, porphyrins and phthalocyanines used in low-temperature bleaching were introduced and examined. The bleaching performance of the metal complex/hydrogen peroxide bleaching system and the traditional cotton fabric oxygen bleaching system were compared and analyzed. The results show that the metal complexes are a type of efficient catalysts, which effectively solve the problems of high energy consumption and serious fabric damage in the traditional bleaching process. Finally, the deficiencies of the current metal complex catalysts are pointed out, and the future research and development of the metal complex catalysts are prospected.

Key words: metal complex, catalyst, cotton fabric, low-temperature bleaching, pre-processing

中图分类号: 

  • TS192.5

图1

1, 4, 7-三甲基-1, 4, 7-三氮杂环壬烷锰络合物结构示意图"

图2

5, 5, 7, 12, 12, 14-六甲基-1, 4, 8, 11-四氮杂环十四烷结构示意图"

图3

CuL1结构示意图"

图4

三联吡啶配体结构示意图"

图5

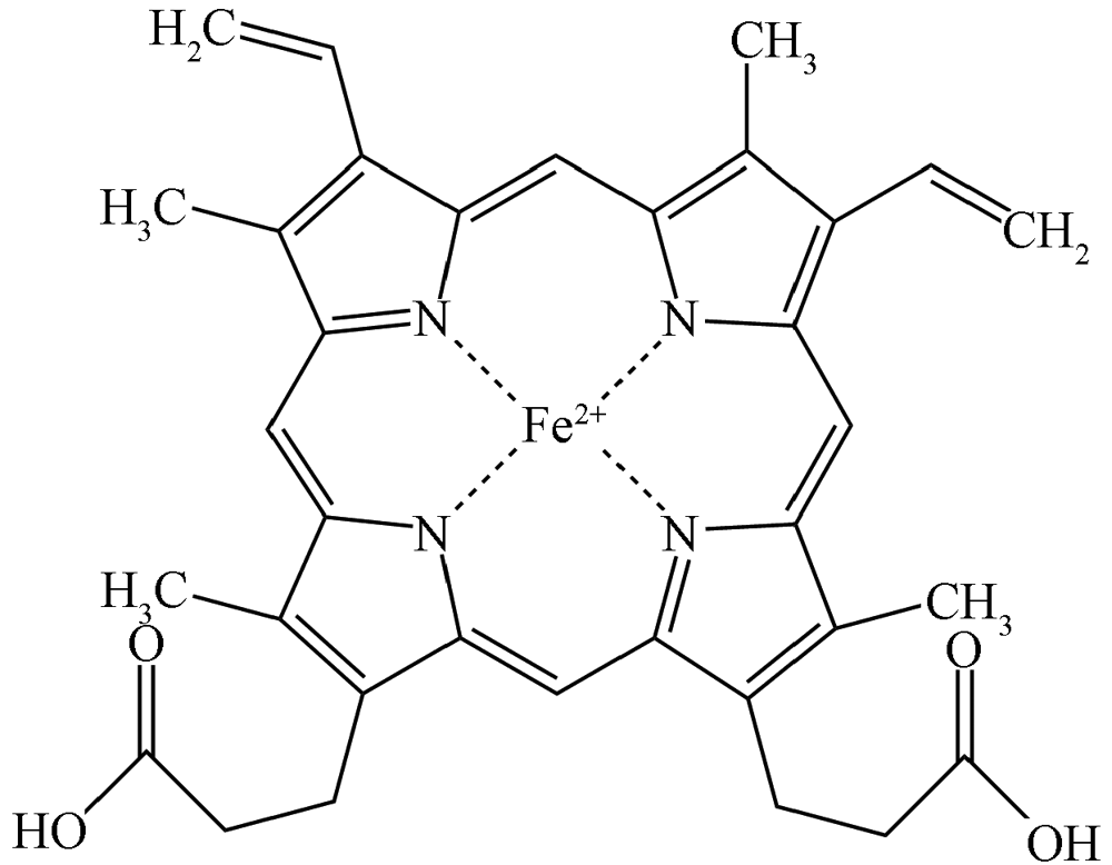
卟啉配合物结构示意图"

图6

酞菁配合物结构示意图"

图7

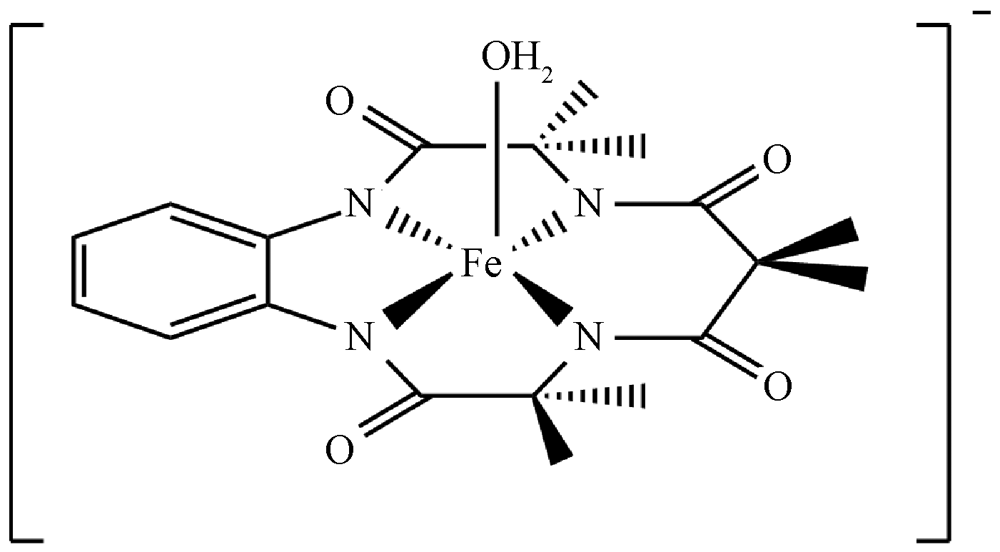
Fe-TAML结构示意图"

[1] SHAFIE A E, FOUDA M M G, HASHEM M. One-step process for bio-scouring and peracetic acid bleaching of cotton fabric[J]. Carbohydrate Polymers, 2009,78(2):302-308.
doi: 10.1016/j.carbpol.2009.04.002
[2] CHEN W H, WANG L, WANG D, et al. Recognizing a limitation of the TBLC-activated peroxide system on low-temperature cotton bleaching[J]. Carbohydrate Polymers, 2016,140:1-5.
doi: 10.1016/j.carbpol.2015.12.013 pmid: 26876820
[3] ZERONIAN S H, INGLESBY M K. Bleaching of cellulose by hydrogen peroxide[J]. Cellulose, 1995,2(4):265-272.
[4] HOFMANN J, JUST G, PRITZKOW W, et al. Bleaching activators and the mechanism of bleaching activation[J]. Journal Fur Praktische Chemie-Chemiker-Zeitung, 1992,334(4):293-297.
[5] 杨栋樑, 王焕祥. 活化双氧水漂白体系新技术的近况:一[J]. 印染, 2007(2):44-48.
YANG Dongliang, WANG Huanxiang. Current situation of activated system of hydrogen peroxide bleaching:I[J]. China Dyeing & Finishing, 2007(2):44-48.
[6] XU C H, LONG X X, DU J M, et al. A critical reinvestigation of the TAED-activated peroxide system for low-temperature bleaching of cotton[J]. Carbohydrate Polymers, 2013,92(1):249-253.
doi: 10.1016/j.carbpol.2012.08.088 pmid: 23218291
[7] LONG X X, XU C H, DU J M, et al. The TAED/H2O2/NaHCO3 system as an approach to low-temperature and near-neutral pH bleaching of cotton[J]. Carbohydrate Polymers, 2013,95(1):107-113.
doi: 10.1016/j.carbpol.2013.02.061 pmid: 23618246
[8] 董玲. 氧漂活化剂的制备及应用[J]. 纺织学报, 2012,33(8):71-75.
DONG Ling. Preparation and application of peroxide bleaching activator[J]. Journal of Textile Research, 2012,33(8):71-75.
[9] 王振华, 邵建中, 徐春松, 等. H2O2/NOBS活化体系在棉织物冷轧堆漂白中的应用[J]. 纺织学报, 2008,29(7):64-68.
WANG Zhenhua, SHAO Jianzhong, XU Chunsong, et al. Application of H2O2/NOBS activating system in cold pad-batch bleaching of cotton fabrics[J]. Journal of Textile Research, 2008,29(7):64-68.
[10] 徐春松, 邵建中, 刘今强. 棉纱线的H2O2/NOBS低温活化漂白工艺[J]. 印染, 2009,35(19):5-8.
XU Chunsong, SHAO Jianzhong, LIU Jinqiang. Low temperature bleaching of cotton yarns with H2O2 /NOBS activation system[J]. China Dyeing & Finishing, 2009,35(19):5-8.
[11] XU C H, HINKS D, SUN C, et al. Establishment of an activated peroxide system for low-temperature cotton bleaching using N-[4-(triethylammoniomethyl)benzoyl] butyrolactam chloride[J]. Carbohydrate Polymers, 2015,119:71-77.
doi: 10.1016/j.carbpol.2014.11.054 pmid: 25563946
[12] WEI D, SUN C, WANG M Z, et al. Synjournal of N-[4-(dimethylalkylammoniomethyl)benzoyl]caprolactam chlorides as cationic bleach activators for low-temperature bleaching of cotton fabric under near-neutral pH conditions[J]. Coloration Technology, 2014,130(6):432-436.
[13] YU J, SHAO D Y, SUN C, et al. Pilot-plant investigation on low-temperature bleaching of cotton fabric with TBCC-activated peroxide system[J]. Cellulose, 2017,24(6):2647-2655.
[14] PENG M H, WU S Y, DU J M, et al. Establishing a rapid pad-steam process for bleaching of cotton fabric with an activated peroxide system[J]. ACS Sustainable Chemistry & Engineering, 2018,6(7):8599-8603.
[15] HAGE R, LIENKE A. Bleach and oxidation catalysis by manganese-1,4,7-triazacylononane complexes and hydrogen peroxide[J]. Journal of Molecular Catalysis A: Chemical, 2006,251(1/2):150-158.
[16] YIN C, HUANG Y T, ZHANG L P, et al. Low-temperature bleaching of cotton fabric using a copper-based catalyst for hydrogen peroxide[J]. Coloration Technology, 2015,131(1):66-71.
[17] 吴臣仁, 吕汪洋, 陈文兴. 铜配合物在棉针织物低温中性漂白中的应用[J]. 纺织学报, 2019,40(1):91-96.
WU Chenren, LÜ Wangyang, CHEN Wenxing. Application of copper complex in low-temperature neutral bleaching of cotton knitted fabrics[J]. Journal of Textile Research, 2019,40(1):91-96.
[18] 李俊玲, 李淑莉, 崔桂新. 仿酶金属配合物在棉织物H2O2低温催化漂白中的研究进展[J]. 染整技术, 2015,37(2):1-6.
LI Junling, LI Shuli, CUI Guixin. Research progress of the low-temperature hydrogen peroxide bleaching catalyzed by biomimetic metal complexes in cotton fabric[J]. Textile Dyeing and Finishing Journal, 2015,37(2):1-6.
[19] WIEPRECHT T, HEINZ U, XIA J T, et al. Terpyridine-manganese complexes: a new class of bleach catalysts for detergent applications[J]. Journal of Surfactants and Detergents, 2004,7(1):59-66.
[20] 王壮, 王雪燕, 李钰颖, 等. 双氧水低温漂白促进剂研究进展[J]. 染整技术, 2020,42(4):9-16.
WANG Zhuang, WANG Xueyan, LI Yuying, et al. Overview of hydrogen peroxide low temperature bleaching accelerator[J]. Textile Dyeing and Finishing Journal, 2020,42(4):9-16.
[21] WIEGHARDT K, BOSSEK U, NUBER B, et al. Synjournal, crystal structures, reactivity, and magnetochemistry of a series of binuclear complexes of manganese(II), -(III), and -(IV) of biological relevance: the crystal structure of [L'(MnIV(μ-O)3MnIVL'](PF6)2·H2O containing an unprecedented short Mn…Mn distance of 2.296 Å[J]. Journal of the American Chemical Society, 1988,110(22):7398-7411.
[22] HAGE R, IBURG J E, KERSCHNER J, et al. Efficient manganese catalysts for low-temperature bleaching[J]. Nature, 1994,369(6482):637-639.
[23] HAGE R, LIENKE A. Applications of transition-metal catalysts to textile and wood-pulp bleaching[J]. Angewandte Chemie International Edition, 2005,45(2):206-222.
doi: 10.1002/anie.200500525 pmid: 16342123
[24] VERRALL M. Unilever consigns manganese catalyst to the back-burner[J]. Nature, 1995,373(6511):181.
doi: 10.1038/373181c0 pmid: 7816118
[25] PARK H W, LEE S Y, AHN J B, et al. Synjournal of novel bleaching catalyst containing macrocyclic manganese complexes and potential applications in laundry detergent[J]. Journal of Surfactants and Detergents, 2006,9(4):385-389.
[26] TOPALOVIC T, NIERSTRASZ V A, BAUTISTA L, et al. Analysis of the effects of catalytic bleaching on cotton[J]. Cellulose, 2007,14(4):385-400.
[27] TOPALOVIC T, NIERSTRASZ V A, WARMOESKERKEN M M C G. Model system for mechanistic study of catalytic bleaching of cotton[J]. Fibers and Polymers, 2010,11(1):72-78.
[28] 李改莉, 张琳萍, 宋敏, 等. 环多胺型仿酶金属配合物的制备与应用[J]. 东华大学学报(自然科学版), 2012,38(2):208-212.
LI Gaili, ZHANG Linping, SONG Min, et al. Synjournal of macrocylic polyamines mimetic enzyme catalyst and its application[J]. Journal of Donghua University (Natural Science), 2012,38(2):208-212.
[29] 秦新波, 尹冲, 宋敏, 等. 双核锰配合物在低温漂白中的活化作用[J]. 印染, 2011,37(21):1-5.
QIN Xinbo, YIN Chong, SONG Min, et al. Activation of binuclear manganese complex in low temperature bleaching[J]. China Dyeing & Finishing, 2011,37(21):1-5.
[30] 单宋玉, 秦新波, 张琳萍, 等. 棉针织物的锰配合物低温催化漂白[J]. 印染, 2012,38(5):1-4.
SHAN Songyu, QIN Xinbo, ZHANG Linping, et al. Catalytic bleaching of cotton knits with manganese complex at low temperatur[J]. China Dyeing & Finishing, 2012,38(5):1-4.
[31] 秦新波, 宋敏, 尹冲, 等. 金属配合物的合成及其在低温漂白中的应用[J]. 纺织学报, 2012,33(11):72-76.
QIN Xinbo, SONG Min, YIN Chong, et al. Synjournal of metal complex and its application in low temperature bleaching[J]. Journal of Textile Research, 2012,33(11):72-76.
[32] QIN X B, SONG M, MA H, et al. Low-temperature bleaching of cotton fabric with a binuclear manganese complex of 1,4,7-trimethyl-1,4,7-triazacyclononane as catalyst for hydrogen peroxide[J]. Coloration Technology, 2012,128(5):410-415.
[33] 鲁玉洁, 尹冲, 秦新波, 等. TBCC/MnTACN复配体系在双氧水低温漂白中的协同作用研究[J]. 纺织学报, 2012,33(9):82-87.
LU Yujie, YIN Chong, QIN Xinbo, et al. Synergistic effect of TBCC/MnTACN system in low temperature bleaching with hydrogen peroxide[J]. Journal of Textile Research, 2012,33(9):82-87.
[34] GUPTA K C, SUTAR A K. Catalytic activities of Schiff base transition metal complexes[J]. Coordination Chemistry Reviews, 2008,252(12-14):1420-1450.
[35] COZZI P G. Metal-salen Schiff base complexes in catalysis: practical aspects[J]. Chemical Society Reviews, 2004,33(7):410-421.
doi: 10.1039/b307853c pmid: 15354222
[36] ZOUBI W A, KO Y G. Organometallic complexes of Schiff bases: recent progress in oxidation catalysis[J]. Journal of Organometallic Chemistry, 2016,822:173-188.
doi: 10.1016/j.jorganchem.2016.08.023
[37] CHEN Y, LIU Y J, ZHANG X M, et al. Stereo-regulated methyl methacrylate (MMA) polymerization catalyzed by asymmetric salen-type Schiff-base Cu(II) complexes[J]. Inorganic Chemistry Communications, 2015,53:1-3.
doi: 10.1016/j.inoche.2015.01.011
[38] MIRKHANI V, MOGHADAM M, TANGESTANINEJAD S, et al. Polystyrene-bound imidazole as a heterogeneous axial ligand for Mn(salophen)Cl and its use as biomimetic alkene epoxidation and alkane hydroxylation catalyst with sodium periodate[J]. Applied Catalysis A: General, 2006,311:43-50.
doi: 10.1016/j.apcata.2006.05.043
[39] 李静妍, 宋敏, 张琳萍, 等. 希夫碱金属配合物在棉织物低温漂白中的应用[J]. 东华大学学报(自然科学版), 2012,38(1):55-59.
LI Jingyan, SONG Min, ZHANG Linping, et al. Application of Schiff base metal complex for cotton fabric bleaching process at lower temperture[J]. Journal of Donghua University (Natural Science), 2012,38(1):55-59.
[40] 张海希, 李慧, 周向东. 双氧水低温漂白催化剂的合成及应用[J]. 印染, 2015,41(21):5-9.
ZHANG Haixi, LI Hui, ZHOU Xiangdong. Synjournal and application of a catalyst for low-temperature hydrogen peroxide bleaching[J]. China Dyeing & Finishing, 2015,41(21):5-9.
[41] 张帆, 张儒, 周文常, 等. 金属铜配合物催化双氧水用于棉针织物的低温漂白[J]. 纺织学报, 2019,40(8):101-108.
ZHANG Fan, ZHANG Ru, ZHOU Wenchang, et al. Low-temperature bleaching of cotton knitted fabrics using hydrogen peroxide in presence of copper complex catalysts[J]. Journal of Textile Research, 2019,40(8):101-108.
doi: 10.1177/004051757004000202
[42] 张超, 张凯, 谢孔良. 席夫碱金属配合物的合成及低温漂白性能研究[J]. 针织工业, 2014(7):81-84.
ZHANG Chao, ZHANG Kai, XIE Kongliang. Synjournal of Schiff base metal complexes and study of bleaching property at low temperature[J]. Knitting Industries, 2014(7):81-84.
[43] WINTER A, SCHUBERT U S. Metal-terpyridine complexes in catalytic application:a spotlight on the last decade[J]. Chem Cat Chem, 2020,12(11):2890-2941.
[44] WEI C Y, HE Y, SHI X D, et al. Terpyridine-metal complexes: applications in catalysis and supramolecular chemistry[J]. Coordination Chemistry Reviews, 2019,385:1-19.
pmid: 30962650
[45] WIEPRECHT T, XIA J T, HEINZ U, et al. Novel terpyridine-manganese(II) complexes and their potential to activate hydrogen peroxide[J]. Journal of Molecular Catalysis A: Chemical, 2003,203(1/2):113-128.
doi: 10.1016/S1381-1169(03)00406-0
[46] 尹冲, 黄瑜婷, 鲁玉洁, 等. 铜配合物在低温催化漂白棉针织物中的应用[J]. 印染, 2014,40(6):6-10.
YIN Chong, HUANG Yuting, LU Yujie, et al. Application of copper complex to catalytic bleaching of cotton knits at low temperature[J]. China Dyeing & Finishing, 2014,40(6):6-10.
[47] 范娇丽, 张琳萍, 钟毅, 等. 棉针织物的铁配合物低温催化漂白[J]. 印染, 2019,45(21):1-6.
FAN Jiaoli, ZHANG Linping, ZHONG Yi, et al. Low temperature catalytic bleaching of cotton knitted fabric with iron complexes[J]. China Dyeing & Finishing, 2019,45(21):1-6.
[48] HIROTO S, MIYAKE Y, SHINOKUBO H. Synjournal and functionalization of porphyrins through organometallic methodologies[J]. Chemical Reviews, 2017,117(4):2910-3043.
doi: 10.1021/acs.chemrev.6b00427 pmid: 27709907
[49] TANAKA T, OSUKA A. Conjugated porphyrin arrays: synjournal, properties and applications for functional materials[J]. Chemical Society Reviews, 2015,44(4):943-969.
doi: 10.1039/c3cs60443h pmid: 24480993
[50] 黄益, 李思琪, 阮斐斐, 等. 卟啉铁/双氧水体系在棉织物低温催化漂白中的应用[J]. 纺织学报, 2018,39(6):75-80.
HUANG Yi, LI Siqi, RUAN Feifei, et al. Application of porphyrin iron/H2O2 system in low temperature bleaching of cotton fabrics[J]. Journal of Textile Research, 2018,39(6):75-80.
[51] 李思琪, 黄益, 王莉莉, 等. μ-氧代双核卟啉铁的制备及其在棉织物低温漂白中的应用[J]. 现代纺织技术, 2018,26(6):70-75.
LI Siqi, HUANG Yi, WANG Lili, et al. Preparation of μ-Oxo-bis[tetra-phenyl porphyrinatoiron] and its application in cotton fabric bleaching at low tempera-ture[J]. Advanced Textile Technology, 2018,26(6):70-75.
[52] SOROKIN A B. Phthalocyanine metal complexes in catalysis[J]. Chemical Reviews, 2013,113(10):8152-8191.
doi: 10.1021/cr4000072 pmid: 23782107
[53] 任参, 宋敏, 张琳萍, 等. 金属酞菁配合物在催化双氧水漂白棉型织物中的应用[J]. 纺织学报, 2012,33(1):81-86.
REN Can, SONG Min, ZHANG Linping, et al. Application of metal phthalocyanine complex to hydrogen peroxide bleaching of cotton fabrics[J]. Journal of Textile Research, 2012,33(1):81-86.
[54] SEN P, SIMSEK D K, YILDIZ S Z. Functional zinc(II) phthalocyanines bearing Schiff base complexes as oxidation catalysts for bleaching systems[J]. Applied Organometallic Chemistry, 2015,29(8):509-516.
[55] SEN P, YILDIRIM E, YILDIZ S Z. New alkaline media-soluble functional zinc(II) phthalocyanines bearing poly (hydroxylmethyl)iminomethane Schiff base complexes in catalytic bleaching[J]. Synthetic Metals, 2016,215:41-49.
[56] ELLIS W C, TRAN C T, ROY R, et al. Designing green oxidation catalysts for purifying environmental waters[J]. Journal of the American Chemical Society, 2010,132(28):9774-9781.
doi: 10.1021/ja102524v pmid: 20565079
[57] CHAHBANE N, POPESCU D L, MITCHELL D A, et al. FeIII-TAML-catalyzed green oxidative degradation of the azo dye Orange II by H2O2and organic peroxides: products, toxicity, kinetics, and mechanisms[J]. Green Chemistry, 2007,9(1):49-57.
doi: 10.1039/B604990G
[58] GUPTA S S, STADLER M, NOSER C A, et al. Rapid total destruction of chlorophenols by activated hydrogen peroxide[J]. Science, 2002,296(5566):326-328.
doi: 10.1126/science.1069297 pmid: 11951040
[59] KUNDU S, CHANDA A, KHETAN S K, et al. TAML activator/peroxide-catalyzed facile oxidative degradation of the persistent explosives trinitrotoluene and trinitrobenzene in micellar solutions[J]. Environmental Science & Technology, 2013,47(10):5319-5326.
doi: 10.1021/es4000627 pmid: 23586823
[60] CHANDA A, KHETAN S K, BANERJEE D, et al. Total degradation of fenitrothion and other organophosphorus pesticides by catalytic oxidation employing Fe-TAML peroxide activators[J]. Journal of the American Chemical Society, 2006,128(37):12058-12059.
doi: 10.1021/ja064017e pmid: 16967942
[61] COLLINS T J. TAML oxidant activators: a new approach to the activation of hydrogen peroxide for environmentally significant problems[J]. Accounts of Chemical Research, 2002,35(9):782-790.
doi: 10.1021/ar010079s pmid: 12234208
[62] GHOSH M, SINGH K K, PANDA C, et al. Formation of a room temperature stable Fe(V)(O) complex: reactivity toward unactivated C-H bonds[J]. Journal of the American Chemical Society, 2014,136(27):9524-9527.
doi: 10.1021/ja412537m pmid: 24387595
[63] YIN C, ZHANG L P, ZHONG Y, et al. Washing-off of unfixed reactive dyes on cotton fabrics using Fe-TAML/H2O2 catalyzed oxidation system[J]. Journal of Donghua University(English Edition), 2015,32(5):859-863.
[64] YU D Y, WU M H, LIN J X. Establishment of an effective activated peroxide system for low-temperature cotton bleaching using synthesized tetramido macrocyclic iron complex[J]. Fibers and Polymers, 2017,18(9):1741-1748.
[65] WANG X Y, GAO J. Absorption spectra of gelatin copper complexes and copper (II) sulfate and their impact on cotton peroxide bleaching[J]. Journal of Natural Fibers, 2017,16(3):307-318.
[66] WANG X Y, TANG J L. An evaluation of the effectiveness of applying a gelatin-copper complex in the low-temperature bleaching of cotton with hydrogen peroxide[J]. Coloration Technology, 2017,133(4):300-304.
[67] 高俊, 王雪燕. 棉针织物的金属肽配合物双氧水低温漂白[J]. 印染, 2016,42(12):1-4.
GAO Jun, WANG Xueyan. Low temperature oxygen bleaching of cotton knitted fabric with metal peptide complexes[J]. China Dyeing & Finishing, 2016,42(12):1-4.
[68] 唐俊玲, 王雪燕. 棉织物双氧水/金属蛋白配合物的低温漂白[J]. 印染, 2015,41(14):15-18.
TANG Junling, WANG Xueyan. Low temperature bleaching of cotton fabric with hydrogen peroxide and metal protein complex[J]. China Dyeing & Finishing, 2015,41(14):15-18.
[69] 吴臣仁, 吕汪洋. 铜配合物用于棉针织物低温酶氧一浴漂白[J]. 现代纺织技术, 2020,28(1):76-81.
WU Chenren, LÜ Wangyang. Application of copper complex in low temperature bleaching of cotton knitted fabric with enzyme and peroxide in one bath[J]. Advanced Textile Technology, 2020,28(1):76-81.
[70] WANG Y Y, XIA H C, SUN K, et al. Insights into the generation of high-valent copper-oxo species in ligand-modulated catalytic system for oxidizing organic pollutants[J]. Chemical Engineering Journal, 2016,304:1000-1008.
[1] 关震宇, 周文乐, 张玉梅, 王华平. 基于钛镁催化剂合成瓶用聚酯的动力学研究[J]. 纺织学报, 2021, 42(03): 64-70.
[2] 马亚男, 沈军炎, 骆晓蕾, 张聪, 尚小磊, 刘琳, KRUCINSKA Izabella, 姚菊明. 高效无卤阻燃棉织物的制备及其结构与性能[J]. 纺织学报, 2021, 42(03): 122-129.
[3] 刘丽宾, 吕汪洋, 陈文兴. 棉针织物漂白中铜配合物催化降解木质素及其模型化合物[J]. 纺织学报, 2021, 42(03): 1-8.
[4] 张滕家璐, 吴伟, 钟毅, 毛志平, 徐红. 平幅前处理对棉针织物染色性能的影响[J]. 纺织学报, 2021, 42(03): 9-13.
[5] 郝尚, 谢源, 翁佳丽, 张维, 姚继明. 溶解刻蚀辅助构建棉织物超疏水表面[J]. 纺织学报, 2021, 42(02): 168-173.
[6] 蔡露, 康佳良, 吕存, 何雪梅. 自交联氟化聚丙烯酸酯乳液的制备及其应用性能[J]. 纺织学报, 2021, 42(02): 161-167.
[7] 侯文双, 闵洁, 纪峰, 张建祥, 苏梦, 何瑞娴. 织物紧度和抗皱整理工艺对纯棉机织物折皱回复性的影响[J]. 纺织学报, 2021, 42(01): 118-124.
[8] 曾凡鑫, 秦宗益, 沈玥莹, 陈园余, 胡铄. 自熄性棉织物的喷涂辅助层层自组装法制备及其阻燃性能[J]. 纺织学报, 2021, 42(01): 103-111.
[9] 张艳艳, 詹璐瑶, 王培, 耿俊昭, 付飞亚, 刘向东. 用无机纳米粒子制备耐久性抗菌棉织物的研究进展[J]. 纺织学报, 2020, 41(11): 174-180.
[10] 王博, 凡力华, 原韵, 殷允杰, 王潮霞. 可拉伸聚吡咯/棉针织物的制备及其储电性能[J]. 纺织学报, 2020, 41(10): 101-106.
[11] 张娟, 郑环达, 乔燕, 高世会, 郑来久. 亚麻粗纱的超临界CO2煮漂工艺[J]. 纺织学报, 2020, 41(07): 93-101.
[12] 刘国金, 石峰, 陈新祥, 张国庆, 周岚. 聚氨酯/相变蜡蓄热调温功能整理剂的制备及其在棉织物上的应用[J]. 纺织学报, 2020, 41(07): 129-134.
[13] 成世杰, 王晨洋, 张宏伟, 左丹英. 硼氮掺杂碳点对棉织物防紫外线性能的影响[J]. 纺织学报, 2020, 41(06): 93-98.
[14] 周青青, 陈嘉毅, 祁珍明, 陈为健, 邵建中. 阻燃抗菌棉织物的制备及其性能表征[J]. 纺织学报, 2020, 41(05): 112-120.
[15] 谭淋, 施亦东, 周文雅. 棉织物的硅溶胶疏水整理[J]. 纺织学报, 2020, 41(04): 106-111.
Viewed
Full text


Abstract

Cited

  Shared   
  Discussed   
No Suggested Reading articles found!