纺织学报 ›› 2021, Vol. 42 ›› Issue (03): 1-8.doi: 10.13475/j.fzxb.20200903308

• 特约专栏:针织物全流程平幅印染技术 •    下一篇

棉针织物漂白中铜配合物催化降解木质素及其模型化合物

刘丽宾, 吕汪洋(), 陈文兴   

  1. 浙江理工大学 纺织纤维材料与加工技术国家地方联合工程实验室, 浙江 杭州 310018
  • 收稿日期:2020-09-15 修回日期:2020-12-21 出版日期:2021-03-15 发布日期:2021-03-17
  • 通讯作者: 吕汪洋
  • 作者简介:刘丽宾(1995—),男,硕士生。主要研究方向为纺织品绿色加工。
  • 基金资助:
    国家重点研发计划项目(2017YFB0309700)

Catalytic degradation of lignin and lignin model compound by copper complexes in bleaching cotton knitted fabrics

LIU Libin, LÜ Wangyang(), CHEN Wenxing   

  1. National Engineering Laboratory for Textile Fiber Materials & Processing Technology, Zhejiang Sci-Tech University, Hangzhou, Zhejiang 310018, China
  • Received:2020-09-15 Revised:2020-12-21 Online:2021-03-15 Published:2021-03-17
  • Contact: Lü Wangyang

摘要:

为提高棉针织物的漂白效率,深入研究其漂白机制,利用二价铜离子、亚氨基二乙酸和4-二甲氨基吡啶制备得到铜配合物催化剂,并构建了催化漂白体系,研究短时间内不同温度下催化漂白棉针织物白度值的变化。采用气相色谱-质谱联用仪检测分析铜配合物降解木质素及其模型化合物的中间产物和最终产物,推测其漂白机制。结果表明:在90 ℃条件下催化反应5 min,棉针织物的白度值约为78%,毛效值达到17.9 cm,强力保留率达到98%左右;木质素及其模型化合物均可被降解成芳香烃小分子,并进一步矿化为水和二氧化碳。漂白体系漂白过程中条件的改善可有效提高棉针织物加工的生产效率,漂白机制的研究可为改进漂白体系提供借鉴。

关键词: 漂白, 前处理, 催化漂白体系, 铜配合物, 木质素降解, 白度, 棉针织物

Abstract:

In order to improve the bleaching efficiency of cotton knitted fabrics and to further understand the bleaching mechanisms, divalent copper ions, iminodiacetic acid and 4-dimethylaminopyridine were utilized to prepare a copper complex catalyst. A bleaching system was constructed to study the change of whiteness of catalyst bleached cotton knitted fabric under different temperatures in a short time. Gas chromatography-mass spectrometry was used to analyze the degradation of lignin and lignin model compound in the intermediate and final products, and to study the bleaching mechanism. The results show that after reacting for 5 minutes at 90 ℃, the whiteness value of the cotton knitted fabric reaches about 78%, the capillary effect can goes to 17.9 cm, and the strength retention rate of the fabric is about 98%. Both lignin and its model compound can be degraded into aromatic hydrocarbon molecules and further mineralized into water and carbon dioxide. The improvement of conditions used in the bleaching process using the bleaching system can effectively improve the bleaching efficiency of cotton knitted fabrics and the research findings on the bleaching mechanism provide reference for improving the bleaching system.

Key words: bleaching, pre-treatment, catalytic bleaching system, copper complex, lignin degradation, whiteness, cotton knitted fabric

中图分类号: 

  • TS192.5

图1

不同温度下漂白5 min时白度值的变化"

图2

90 ℃条件下添加催化剂前后白度值的变化"

表1

催化漂白工艺与高温碱氧工艺漂白效果对比"

漂白工艺 CIE白度/% 毛效(30 min)/cm 顶破强力/N
5 min 50 min 5 min 50 min
未处理 0 0 0 0 690.53±15.40
催化漂白工艺 78.77 88.10 17.90 19.80 680.70±7.30
高温碱氧工艺 63.93 75.34 2.80 16.80 436.20±8.70

图3

pH值对降解木质素的影响"

图4

双氧水浓度对降解木质素的影响"

图5

催化剂浓度对降解木质素的影响"

图6

木质素溶液颜色变化"

表2

木质素不同降解时间主要中间产物变化"

产物名称 产物结构 峰面积
0 min 30 min 60 min
4-羟基苯甲醛 0 1.66×106 0
4-羟基-3-甲氧基苯甲醛 0.14×107 1.37×107 0
1-(4-羟基-3-甲氧基苯基)乙-1-酮 0 5.06×105 0
4-羟基-3-甲氧基苯甲酸 0 1.66×106 0
4-羟基-3,5-二甲氧基苯甲醛 1.15×106 3.91×106 0
1-(4-羟基-3,5-二甲氧基苯基)乙-1-酮 1.45×106 2.75×106 0

表3

木质素溶液降解前后碳元素分析"

试样 质量浓度/(mg·L-1)
总无机碳 总有机碳 总碳
水溶液 0.98 5.32 6.30
木质素溶液降解0 min 16.13 37.70 53.83
木质素溶液降解60 min 14.54 19.44 33.98

图7

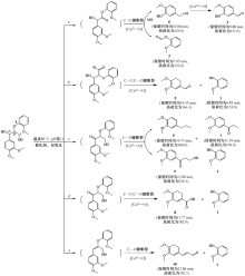
木质素模型化合物的降解流程推测"

[1] 徐顺成. 针织物染整工艺技术的现状及发展趋势[C] //浙江省印染行业协会.2013东升数码杯节能减排与印染新技术交流会资料集.杭州:浙江省科学技术协会, 2013: 82-86.
XU Shuncheng. The status quo and development trend of knitted fabric dyeing and finishing technology[C] // Zhejiang Printing and Dyeing Industry Association. 2013 Dongsheng Digital Cup Energy Saving, Emission Reduction and Printing and Dyeing New Technology Exchange Conference Information Collection. Hangzhou:Zhejiang Association for Science and Technology, 2013: 82-86.
[2] 赵文杰, 张晓云, 钟毅, 等. 棉针织物的冷轧堆前处理与染色[J]. 纺织学报, 2016,37(6):76-82.
ZHAO Wenjie, ZHANG Xiaoyun, ZHONG Yi, et al. Cold pad-batch pretreatment and dyeing of cotton knits[J]. Journal of Textile Research, 2016,37(6):76-82.
[3] 张帆, 张儒, 周文常, 等. 金属铜配合物催化双氧水用于棉针织物的低温漂白[J]. 纺织学报, 2019,40(8):101-108.
ZHANG Fan, ZHANG Ru, ZHOU Wenchang, et al. Low-temperature bleaching of cotton knitted fabrics using hydrogenperoxide in presence of copper complex catalysts[J]. Journal of Textile Research, 2019,40(8):101-108.
doi: 10.1177/004051757004000202
[4] 范娇丽, 张琳萍, 钟毅, 等. 棉针织物的铁配合物低温催化漂白[J]. 印染, 2019,45(21):1-6.
FAN Jiaoli, ZHANG Linping, ZHONG Yi, et al. Low temperature catalytic bleaching of cotton knitted fabric with iron complexes[J]. China Dyeing & Finishing, 2019,45(21):1-6.
[5] RUBEN V, DEMEDTS B, MORREEL K, et al. Lignin biosynjournal and structure[J]. Plant Physiology, 2010,153(3):895-905.
doi: 10.1104/pp.110.155119 pmid: 20472751
[6] JOHN Ralph, CATHERINE Lapierre, WOUT Boerjan. Lignin structure and its engineering[J]. Current Opinion in Biotechnology, 2019,56:240-249.
doi: 10.1016/j.copbio.2019.02.019 pmid: 30921563
[7] ALIREZA R, ARNE U, JOSHUA J, et al. Formic-acid-induced depolymerization of oxidized lignin to aromatics[J]. Nature, 2014,515:249-252.
doi: 10.1038/nature13867 pmid: 25363781
[8] HEIKKI K, PETRO L, VÄINÖ S, et al. An efficient method to investigate metal-ligand combinations for oxygen bleaching[J]. Applied Catalysis A:General, 2004,268:199-206.
[9] WANG Y, XIA H C, SUN K, et al. Insights into the generation of high-valent copper-oxo species in ligand-modulated catalytic system for oxidizing organic pollutants[J]. Chemical Engineering Journal, 2016,304:1000-1008.
[10] 吴臣仁, 吕汪洋. 铜配合物催化双氧水氧化木质素磺酸钠的研究[J]. 现代纺织技术, 2020,28(2):45-51.
WU Chenren, LÜ Wangyang. Study on oxidation of sodium lignosulfonate with hydrogen peroxide catalyzed by copper complex[J]. Advanced Textile Technology, 2020,28(2):45-51.
[11] 吴臣仁, 吕汪洋. 铜配合物用于棉针织物低温酶氧一浴漂白[J]. 现代纺织技术, 2020,28(1):76-81.
WU Chenren, LÜ Wangyang. Application of copper complex in low temperature bleaching of cotton knitted fabric with enzyme and peroxide in one bath[J]. Advanced Textile Technology, 2020,28(1):76-81.
[12] 吴臣仁, 吕汪洋, 陈文兴. 铜配合物在棉针织物低温中性漂白中的应用[J]. 纺织学报, 2019,40(1):91-96.
WU Chenren, LÜ Wangyang, CHEN Wenxing. Application of copper complex in low-temperature neutral bleaching of cotton knitted fabrics[J]. Journal of Textile Research, 2019,40(1):91-96.
[13] 张文, 张贵, 张伟. pH值对人造棉漂白织物颜色的影响[J]. 轻纺工业与技术, 2016,45(4):28-30,71.
ZHANG Wen, ZHANG Gui, ZHANG Wei. The influence of pH on the color of rayon bleached fabric[J]. Light and Textile Industry and Technology, 2016,45(4):28-30,71.
[14] BARTA K, WARNER G, BEACH E S, et al. Depolymerization of organosolv lignin to aromatic compounds over Cu-doped porous metal oxides[J]. Green Chemistry, 2014,16:191-195.
doi: 10.1039/C3GC41184B
[15] FABBRINI M, GALLI C, GENTILI P. Comparing the catalytic efficiency of some mediators of laccase[J]. Journal of Molecular Catalysis B: Enzymatic, 2002,16(5/6):231-240.
[16] CHAKAR F S, RAGAUSKAS A J. Review of current and future softwood kraft lignin process chemistry[J]. Industrial Crops & Products, 2004,20(2):131-141.
[17] ROBINSON M J, WRIGHT L J, SUCKLING I D. Fe(TSPc)-catalysed benzylic oxidation and subsequent dealkylation of a non-phenolic lignin model[J]. Journal of Wood Chemistry & Technology, 2000,20(4):357-373.
[18] RAHIMI A, AZARPIRA A, KIM H, et al. Chemoselective metal-free aerobic alcohol oxidation in lignin[J]. Journal of the American Chemical Society, 2013,135:6415-6418.
doi: 10.1021/ja401793n pmid: 23570328
[19] SUN Z BÁLINT F SANTI A D, et al. Bright side of lignin depolymerization: toward new platform chemicals[J]. Chemical Reviews, 2018,118(2):614-678.
doi: 10.1021/acs.chemrev.7b00588 pmid: 29337543
[1] 丁子寒, 邱华. 纳米二氧化硅改性水性聚氨酯防水透湿涂层织物的制备及其性能[J]. 纺织学报, 2021, 42(03): 130-135.
[2] 武守营, 张琳萍, 徐红, 钟毅, 毛志平. 金属配合物催化棉织物低温漂白研究进展[J]. 纺织学报, 2021, 42(03): 27-35.
[3] 张滕家璐, 吴伟, 钟毅, 毛志平, 徐红. 平幅前处理对棉针织物染色性能的影响[J]. 纺织学报, 2021, 42(03): 9-13.
[4] 向忠, 王宇航, 吴金波, 钱淼, 胡旭东. 过氧化氢检测方法研究进展[J]. 纺织学报, 2020, 41(10): 197-204.
[5] 张娟, 郑环达, 乔燕, 高世会, 郑来久. 亚麻粗纱的超临界CO2煮漂工艺[J]. 纺织学报, 2020, 41(07): 93-101.
[6] 尉腾祥, 李敏, 彭虹云, 付少海. 纬平针棉针织物平幅丝光条件与其线圈结构的关系[J]. 纺织学报, 2020, 41(04): 98-105.
[7] 尉腾祥, 李敏, 彭虹云, 付少海. 纬平棉针织物双向拉伸线圈形态分析[J]. 纺织学报, 2019, 40(11): 64-68.
[8] 何青青, 徐红, 毛志平, 张琳萍, 钟毅, 吕景春. 高导电性聚吡咯涂层织物的制备[J]. 纺织学报, 2019, 40(10): 113-119.
[9] 张悦, 胡丹玲, 任金娜, 李青. 棉织物低温近中性一浴一步法练漂[J]. 纺织学报, 2019, 40(09): 83-90.
[10] 高晶, 王璐. 前处理工艺对毛/涤织物疏水改性效果的影响[J]. 纺织学报, 2019, 40(09): 91-96.
[11] 张帆, 张儒, 周文常, 周辉, 汪南方. 金属铜配合物催化双氧水用于棉针织物的低温漂白[J]. 纺织学报, 2019, 40(08): 101-108.
[12] 陶开鑫, 俞成丙, 侯颀骜, 吴聪杰, 刘引烽. 基于最小二乘支持向量机的棉针织物活性染料湿蒸染色预测模型[J]. 纺织学报, 2019, 40(07): 169-173.
[13] 唐文君, 彭明华, 向中林, 邵冬燕, 倪佳东, 许长海. 应用阳离子漂白活化剂的棉织物快速轧蒸漂白工艺[J]. 纺织学报, 2019, 40(02): 125-129.
[14] 吴臣仁, 吕汪洋, 陈文兴. 铜配合物在棉针织物低温中性漂白中的应用[J]. 纺织学报, 2019, 40(01): 91-96.
[15] 黄益 李思琪 阮斐斐 李博 邵建中. 卟啉铁/双氧水体系在棉织物低温催化漂白中的应用[J]. 纺织学报, 2018, 39(06): 75-80.
Viewed
Full text


Abstract

Cited

  Shared   
  Discussed   
No Suggested Reading articles found!