纺织学报 ›› 2021, Vol. 42 ›› Issue (10): 115-119.doi: 10.13475/j.fzxb.20201005706

• 染整与化学品 • 上一篇    下一篇

疏水性导电聚吡咯整理棉织物的制备及其性能

陈莹(), 方浩霞   

  1. 北京服装学院 材料设计与工程学院, 北京 100029
  • 收稿日期:2020-10-24 修回日期:2021-07-15 出版日期:2021-10-15 发布日期:2021-10-29
  • 作者简介:陈莹(1984—),女,副教授,博士。主要研究方向为功能纺织品开发。E-mail: 20150009@bift.edu.cn
  • 基金资助:
    北京服装学院青年骨干教师成长支持计划项目(BIFTQG201812);北京服装学院科学研究项目(2020A-09)

Preparation and properties of hydrophobic conductive polypyrrole coating fabrics

CHEN Ying(), FANG Haoxia   

  1. School of Materials Design and Engineering, Beijing Institute of Fashion Technology, Beijing 100029, China
  • Received:2020-10-24 Revised:2021-07-15 Published:2021-10-15 Online:2021-10-29

摘要:

为提高纺织品的多功能性如导电和疏水性等,在棉织物表面合成了疏水导电高分子材料聚吡咯。通过加入低表面能的掺杂剂来调控聚吡咯的疏水性与导电性,并对聚吡咯整理棉织物的表观形貌、电导率、接触角及K/S值等进行表征。结果表明,以木质素磺酸钠(LGS)为模板,掺杂 0.025 mol/L全氟辛基磺酸钾(KPFOS)制得的聚吡咯整理棉织物疏水性能最佳,且达到超疏水状态;以蒽醌-2-磺酸钠盐(AQS)为软模板、掺杂十二烷基苯磺酸(DBSA) 的聚吡咯复合棉织物电导率最大。以AQS为软模板且以0.01 mol/L DBSA掺杂的聚吡咯整理棉织物综合性能较好: 接触角为131.2°,电导率为61.4 S/cm。因此通过模板的微观形貌控制以及烷基链或全氟烷基链的掺杂,可得到同时具备良好导电和疏水性能的聚吡咯整理棉织物,但其掺杂剂的调控机制仍需进一步研究。

关键词: 导电性, 疏水性, 聚吡咯, 棉织物, 掺杂剂

Abstract:

The hydrophobic conductive polypyrrole(PPy) was synthesized on the surface of contton fabrics to achieve functions, such as conductivity and hydrophobicity, which were regulated by changing the types of dopants with different low surface energy. Morphology, contact angle, conductivity and K/S value were characterized accordingly. Experimental results show that the PPy coated cotton fabrics using sodium lignosulphonate (LGS) as template with 0.025 mol/L perfluorinated octyl sulfonic acid potassium (KPFOS) have the best hydrophobicity, and reaching the superhydrophobic state. PPy treated cotton fabrics using anthraquinone-2-sulfonic acid sodium salt (AQS) as the soft template with 0.01 mol/L dodecyl benzene sulfonic acid (DBSA) doped polypyrrole composites demonstrate best conductivity. The better comprehensive behaviors is achieved for the fabric using AQS and 0.01 mol/L DBSA dopant with the contact angle of 131.2°and conductivity of 61.4 S/cm. Through micromorphology control of the template and doping of the alkyl chain or perfluorinated alkyl chain, PPy coated cotton fabrics with good electrical conductivity and hydrophobic properties can be prepared, but their regulation mechanisms of doping still require further study.

Key words: conductivity, hydrophobicity, polypyrrole, cotton fabric, dopant

中图分类号: 

  • TS101.4

图1

掺杂剂浓度对电导率的影响"

图2

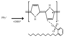
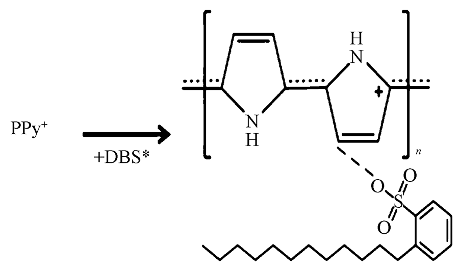
DBSA掺杂PPy分子链示意图"

图3

掺杂剂种类和用量对接触角的影响"

图4

沾水实验后的织物表面照片"

图5

聚吡咯整理棉织物的SEM照片(×1 000)"

图6

聚吡咯整理棉织物的耐摩擦牢度"

图7

掺杂剂对聚吡咯整理棉织物K/S值的影响"

[1] 冯磊, 徐壁, 蔡再生. 导电双疏涤纶织物制备与性能研究[J]. 表面技术, 2015(5):91-95.
FENG Lei, XU Bi, CAI Zaisheng. Preparation and properties of conductive, superhydrophobic and oleophobic polyester fabrics[J]. Surface Technology, 2015(5):91-95.
[2] 崔锦峰, 安进, 裴春娟, 等. 超疏水导电聚吡咯材料的研究进展[J]. 现代化工, 2013, 33(9):36-39.
CUI Jinfeng, AN Jin, PEI Chunjuan, et al. Research progress in superhydrophobic conductive polypyrrole materials[J]. Modern Chemical Industry, 2013, 33(9):36-39.
[3] 陈莹, 周爽, 韦恬静, 等. 聚吡咯复合织物的软模板法制备及其性能[J]. 纺织学报, 2019, 40(12):93-97.
CHEN Ying, ZHOU Shuang, WEI Tianjing, et al. Preparation and properties of polypyrrole composite fabric by soft template process[J]. Journal of Textile Research, 2019, 40(12):93-97.
doi: 10.1177/004051757004000201
[4] 翟锦, 江雷. 仿生超疏水纳米界面材料[C]// 第七届功能性纺织品及纳米技术应用研讨会论文集. 北京:北京纺织工程学会, 2007: 46.
ZHAI Jin, JIANG Lei. Biomimetic superhydrophobic materials for nano-interface[C]//7th Application of Functional Textiles and Nano-technology Seminar. Beijing: Beijing Textile Engineering Society, 2007: 46.
[5] 赵崇军, 李星玮, 张华. 导电高分子材料浸润性的研究进展[J]. 高分子通报, 2007, 6(11):41-47.
ZHAO Congjun, LI Xingwei, ZHANG Hua. Develop ment of conducting polymers materials with different wettability properties[J]. Chinese Polymer Bulletin, 2007, 6(11):41-47.
[6] YUE B, WANG C, DING X, et a1. Electrochemically synthesized stretchable polypyrrole/fabric electrodes for supercapacitor[J]. Electrochimica Acta, 2013, 113(1):17-22.
doi: 10.1016/j.electacta.2013.09.024
[7] 何青青, 徐红, 毛志平, 等. 高导电性聚吡咯涂层织物的制备[J]. 纺织学报, 2019, 40(10):113-119.
HE Qingqing, XU Hong, MAO Zhiping, et al. Prepara tion of high-electrical conductivity polypyrrole-coated fabrics[J]. Journal of Textile Research, 2019, 40(10):113-119.
[8] 智晓敏. 基于聚吡咯的超级电容器电极研究[D]. 太原:山西大学, 2019: 5-8.
ZHI Xiaomin. Study on electrode for supercapacitor based on polypyrrole[D]. Taiyuan:Shanxi University, 2019: 5-8.
[9] CHANG J H. Tunable wettability of microstructured polypyrrole films[D]. Cambridge:Massachusetts Institute of Technology, 2010:10-22.
[10] MECERREYES D, ALVARO V, CANTERO I, et al. Low surface energy conducting polypyrrole dopted with a fluorinated counterion[J]. Advanced Materials, 2002, 14(10):749-752.
doi: 10.1002/1521-4095(20020517)14:10<749::AID-ADMA749>3.0.CO;2-U
[11] LIU M J, NIE F Q, JIANG L, et al. In situ electro chemical switching of wetting state of oil droplet on conducting polymer films[J]. Langmuir the Acs Journal of Surfaces & Colloids, 2010, 26(6) : 3993-3997.
[12] CHANG J H, HUNTER I W. Characterization and control of the wettability of conducting polymer thin films[M]. Massachusetts: Cambridge Press, 2011: 1228, 2009: 1228.
[13] 潘文燕. 导电聚吡咯的制备及其电化学性能研究[D]. 长沙:湖南大学, 2015, 25-33.
PAN Wenyan. Study on preparation and elec trochemical properties of conductive polypyrrole[D]. Changsha:Hunan University, 2015, 25-33.
[14] 周健, 李宾, 袁晓, 等. 聚吡咯导电涂层的制备及其性能研究[J]. 功能材料, 2020, 7(51):7051-7055.
ZHOU Jian, LI Bin, YUAN Xiao, et al. Study on prepara tion and properties of conductive polypyrrole coating[J]. Functional Material, 2020, 7(51):7051-7055.
[1] 陈莹 方浩霞. 疏水性导电聚吡咯/棉织物的制备与性能[J]. , 2021, 42(10): 0-0.
[2] 刘淑萍, 李亮, 刘让同, 胡泽栋, 耿长军. 棉织物的3-氨丙基三乙氧基硅烷阻燃整理[J]. 纺织学报, 2021, 42(10): 107-114.
[3] 程佩, 傅佳佳, 王蕾, 张建祥, 张凯, 高卫东. 预处理对棉织物免烫整理效果的影响[J]. 纺织学报, 2021, 42(09): 126-130.
[4] 张帆, 张国波, 赵宇新, 张儒, 阳海, 王世豪, 汪南方. 催化氧化皂洗在涤纶/棉织物一浴染色中的应用[J]. 纺织学报, 2021, 42(09): 97-103.
[5] 李维斌, 张程, 刘军. 超疏水棉织物制备及其在油水过滤分离中应用[J]. 纺织学报, 2021, 42(08): 109-114.
[6] 郭恒, 黄宏博, 姚金波, 姜会钰, 夏治刚, 王运利. 家庭洗涤对免烫棉织物性能的影响[J]. 纺织学报, 2021, 42(07): 129-136.
[7] 陈小文, 吴伟, 钟毅, 徐红, 毛志平. 棉织物的活性染料低含水率焙蒸固色工艺[J]. 纺织学报, 2021, 42(07): 115-122.
[8] 王晓菲, 万爱兰, 沈新燕. 基于聚多巴胺修饰的聚吡咯导电织物制备与应变传感性能[J]. 纺织学报, 2021, 42(06): 114-119.
[9] 李一飞, 郑敏, 常朱宁子, 李丽艳, 曹元鸣, 翟旺宜. 二维过渡金属碳化物(Ti3C2Tx)对棉针织物的功能整理及其性能分析[J]. 纺织学报, 2021, 42(06): 120-127.
[10] 张华, 张杰, 高燕. 液氨处理对锦纶/棉混纺织物性能的影响[J]. 纺织学报, 2021, 42(06): 128-132.
[11] 刘晓倩, 陈玉, 周惠敏, 闫源, 夏鑫. 等离子体接枝丙烯酸改性聚丙烯腈导电纳米纤维纱线的制备[J]. 纺织学报, 2021, 42(05): 109-114.
[12] 赵永芳, 钱建华, 孙丽颖, 彭慧敏, 梅敏. 银纳米线改性棉织物的制备及其性能[J]. 纺织学报, 2021, 42(05): 115-121.
[13] 马亚男, 沈军炎, 骆晓蕾, 张聪, 尚小磊, 刘琳, KRUCINSKA Izabella, 姚菊明. 高效无卤阻燃棉织物的制备及其结构与性能[J]. 纺织学报, 2021, 42(03): 122-129.
[14] 武守营, 张琳萍, 徐红, 钟毅, 毛志平. 金属配合物催化棉织物低温漂白研究进展[J]. 纺织学报, 2021, 42(03): 27-35.
[15] 郝尚, 谢源, 翁佳丽, 张维, 姚继明. 溶解刻蚀辅助构建棉织物超疏水表面[J]. 纺织学报, 2021, 42(02): 168-173.
Viewed
Full text


Abstract

Cited

  Shared   
  Discussed   
No Suggested Reading articles found!